
第一作者:李喜宝
通讯作者:李喜宝,何朝政,朱永法
作者单位:南昌航空大学,辽宁科技大学,清华大学
文章DOI:10.1016/j.apcatb.2022.121502
关键词:光电催化,析氢,高低结,双缺陷,极化

全文速览
双缺陷(氧空位OV和铜空位VCu)正负电荷的高度离域诱发OV-BiOBr/Cu2-xS高低异质结的界面极化增强。在OV-BiOBr和Cu2-xS复合后,高度离域的正负电荷促使极化偶极子的产生,形成了极化诱导内建电场(PEF);同时由于构成异质结的两种材料的不同费米能级使异质结界面上出现了本征内建电场(IEF)。光照后,由于PEF和IEF的强电势差协同作用,实现了高效的双通道载流子空间分离和迁移,加之光电催化的外置偏压和原位析出的Bi金属作用,诱导电子进一步向电极基底和光阴极移动,从而实现了高效的光电催化分解水产氢。

背景介绍
能源和环境已成为悬在人类头顶上的达摩克利斯之剑,而光电化学(PEC)分解水作为一种对环境友好且可以通过捕获太阳能产生清洁能源(氢气)的技术,可以助力“双碳”战略目标实现而备受人们关注。在光电化学水分解过程中,载流子分离和传输处于关键的地位,通常对于光电阳极的n型半导体而言,空穴作为少数载流子必须在有效空间电荷区传输,以获得高的PEC性能。而此前报道的杂原子掺杂、氧空位调控等方法虽然可以有效缓解半导体电荷的体相复合,但很多只会促进电子转移,而电荷的表面复合和载流子的随机非定向传输问题还有待进一步解决。对于传统I型异质结,由于光生电子和空穴都迁移到了同一个半导体上,降低了光催化活性,限制了其应用,但是它适合构建含有窄带隙半导体的复合材料。而窄带隙半导体具有许多突出的优点:例如电子跃迁到导带所需的能量较小,具有高理论光电流密度,高载流子迁移率,并具有更宽的光响应范围。氧空位(OV)作为一种常见的阴离子缺陷,其可改善材料的光吸收、分子吸附和活化,并可作为电子俘获中心从而降低电子-空穴的复合率;Cu2-xS作为含有Cu空位(VCu)的半导体材料,具有非常优异的空穴传输能力。双缺陷能诱导自发极化,在暗态下能产生活性自由基,形成诱导的极化内建电场(PEF)。在光照后,由于本征内建电场和极化电场的强电势差协同作用,驱动电子-空穴(e-h)对有效分离,电子定向传输,空穴定向转移。为此,本文构建了具有双缺陷的新型I型OV-BiOBr/Cu2-xS高低异质结,经过理论计算和实验表征证明了双缺陷高低结比单缺陷和不含缺陷的高低结具有更局域化的电荷密度分布、更大的偶极矩、更高的光电化学性能与效率。

本文亮点
1. 采用两步溶剂热原位生长法构建了具有双缺陷(OV和VCu)及强化学键合的OV-BiOBr/Cu2-xS高低异质结。

图文解析
图1 (a) OV-BiOBr/Cu2-xS合成示意图,(b)样品的XRD图谱,(c) OV-BiOBr、OV-BiOBr/Cu2-xS局部放大XRD图;OV-BiOBr/Cu2-xS的(d) Bi 4f、(e) O 1s、(f) Br 3d、(g) Cu 2p、(h) S 2s的XPS光谱图,(i) BiOBr以及不同配比的OV-BiOBr/Cu2-xS的EPR谱图
图2 (a) OV-BiOBr/Cu2-xS的TEM图,(b-e) HRTEM图,(f-k)元素mapping图
图3 (a)样品的瞬态光电流,(b) EIS图,(c)电荷分离效率图,(d) ABPE图,(e)样品的析氢量和循环稳定性,(f)析氢速率比较
图4 (a)样品的LSV曲线,(b) OV-BiOBr/Cu2-xS在光照和暗态下的LSV曲线,(c) OV-BiOBr/Cu2-xS在添加和不添加Na2SO3时的LSV曲线,(d) OV-BiOBr/Cu2-xS在1M KOH中的瞬时光电流响应,以及与Na2SO3作为空穴清除剂的瞬时光电流的比较
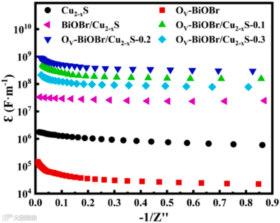
图5 样品介电常数与阻抗虚数部分的关系
图6 在暗态和可见光下的ESR光谱:纯物质OV-BiOBr和Cu2-xS的(a) DMPO-·O2-,(b) DMPO-·OH;OV-BiOBr/Cu2-xS复合物的(c) DMPO-·O2-,(d) DMPO-·OH
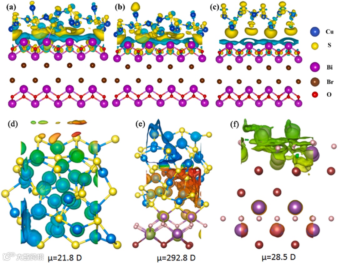
图7 (a) OV-BiOBr/Cu2-xS、(b) BiOBr/Cu2-xS、(c) BiOBr/Cu2S的差分电荷密度;(d) Cu2-xS、(e) OV-BiOBr/Cu2-xS、(f) OV-BiOBr的静电势和偶极矩图

总结与展望
这项工作报道了采用两步溶剂热法成功地制备了具有双缺陷的I型高低异质结OV-BiOBr/Cu2-xS复合材料。在可见光和外加偏压的作用下实现了高效的产氢性能,其析氢速率可达到509.37 μmol·cm-2·h-1,分别是BiOBr、OV-BiOBr和BiOBr/Cu2-xS的12.45、6.94和3.44倍。首次发现OV-BiOBr/Cu2-xS双缺陷体系在暗态下存在明显的奇异活性自由基现象。理论和实验结果表明,OV和VCu的正负电荷的高度离域诱发了异质结的界面极化增强,极大地促进了电荷的空间分离和转移。光电化学析氢性能的提升和电荷分离效率的提高归因于双缺陷OV-BiOBr/Cu2-xS高低结增强的极化电场和内建电场的协同效应。这项工作将为探索双缺陷工程介导的具有极化效应的载流子定向传输异质结高性能光电催化电极材料提供新的思路。

主要作者介绍
李喜宝,博士,硕士生导师,清华大学访问学者,南昌航空大学副教授,江西省优秀硕士论文导师,主要从事半导体纳米材料的设计及光电催化基础理论与应用研究。主持承担了国家自然科学基金、江西省杰出青年基金等项目。以第一作者/通讯作者发表SCI论文60余篇,包括Nano Energy、ACS Catalysis、Applied Catalysis B: Environmental、Chemical Engineering Journal、Journal of Hazardous Materials、Nano Research、Journal of Materials Science & Technology等,其中ESI高被引论文10篇(热点论文5篇),封面论文5篇,授权国家发明专利8项(转让3项)。担任Advanced Functional Materials、Applied Catalysis B: Environmental等著名期刊审稿人及Frontiers In Chemistry等期刊评审编辑,知名SCI收录期刊Chinese Chemical Letter、Rare Metals、物理化学学报的编委和青年编委,International Journal of Photoenergy期刊客座主编。荣获江西省自然科学奖一等奖(第二完成人),中国循环经济协会科学技术奖,Applied Catalysis B: Environmental、Journal of Cleaner Production、Journal of Alloys and Compounds杰出审稿人奖,物理化学学报青年编委突出贡献奖等。
朱永法,清华大学化学系教授、博导,国家电子能谱中心常务副主任。分别从南京大学、北京大学和清华大学获得学士、硕士和博士学位以及在日本爱媛大学从事博士后研究工作。1988年7月到现在,一直在清华大学化学系工作,从事能源光催化、环境光催化及光催化健康的研究。

文献来源
Xibao Li, Qiang Liu, Fang Deng, Juntong Huang, Lu Han, Chaozheng He, Zhi Chen, Yidan Luo, Yongfa Zhu, Double-defect-induced polarization enhanced OV-BiOBr/Cu2−xS high-low junction for boosted photoelectrochemical hydrogen evolution, Applied Catalysis B: Environmental, 314 (2022) 121502.
https://doi.org/10.1016/j.apcatb.2022.121502
声明
本文仅供科研分享,不做盈利使用,如有侵权,请联系后台小编删除
“邃瞳科学云”直播服务
“邃瞳科学云"平台正在收集、整理各类学术会议信息,欢迎学会、期刊、会议组织方择优在邃瞳平台上进行线上直播,希望藉此帮助广大科研人员跨越时空的限制,实现自由、畅通地交流互动。欢迎老师同学们提供会议信息(会有礼品赠送),学会、期刊、会议组织方商谈合作,均请联系翟女士:18612651915(微信同)。
投稿、荐稿、爆料:Editor@scisight.cn
扫描二维码下载
邃瞳科学云APP

