

通讯作者:邵明飞教授
通讯单位:北京化工大学
DOI: 10.1038/s41467-022-35664-w
电催化硝酸盐还原合成氨是传统Haber-Bosch工艺的一种极具前景的替代策略,但由于缓慢的多电子/质子转移步骤,使得电化学硝酸盐还原过程通常表现出较低的法拉第效率和氨产率。在本文中,作者采用限域合成策略,成功设计出一种组装于自支撑碳纳米片阵列上的空心磷化钴纳米球电催化剂,其在硝酸盐还原过程中表现出高达8.47 mmol h−1 cm−2的氨产率,远优于此前文献的报道值。原位测试和理论研究表明,磷化钴上活性氢生成与氮中间体及时消耗之间的动态平衡,是催化剂具有高法拉第效率和优异氨产率的关键。这种基于活性氢平衡的独特机制为通过电化学技术大规模合成氨提供了新机遇,并可进一步应用于二氧化碳捕获领域。
[整段删除] ( 膜电极组件的应用被认为一种有前途的方法,可用于提高传统碱性水电解系统能源效率。然而,以前的研究主要集中在提高膜电导率和电催化剂活性上。本研究报告了一种通过从头设计来获得的一体式膜电极组件。多孔膜的引入可以很容易地实现有序催化剂层的定向共生,从而形成用于碱性水电解的一体式 MEA。这种一体式 MEA 的特点包括:具有大表面积的有序催化剂层、低迂曲度多孔结构、集成催化剂层/膜界面和有序的 OH-转移通道。基于这种设计,作者在 30wt% KOH 中1.57 V 条件下,获得了 1000 mA cm−2 的高电流密度,实现了 94% 的能量转换效率。这项工作突出了一体式膜电极组件在设计下一代高性能碱性水电解领域的广阔前景。)

背景介绍

图文解析

图1. CoP-CNS样品的(a) SEM,(b) TEM,(c)相应的EDX元素映射图。CoP-CNS, Co-CNS和CNS样品的(d) XRD衍射和(e)傅里叶变换k3-加权Co K-edge EXAFS谱。(f) CoP-CNS样品的高分辨Co 2p3/2 XPS谱。

图2. CoP-CNS催化剂在0.07至−1.03 V vs. RHE电位范围内的(a) NH3部分电流密度,(b) NH3 FEs及对应的产率。(c) Cu泡沫负载CoP-CNS在0.07至−1.03 V vs. RHE电位范围内的NH3 FEs及对应的产率。(d) CoP-CNS的电催化NITRR合成NH3性能与此前电催化剂合成氨性能报道值的对比。(e)在−0.33 V vs. RHE电位下,CoP-CNS催化剂在连续3 h和41周期稳定性测试中的NH3 FEs与产率。(f)在含有和不含1 M NO3–的1 M OH–中,CoP-CNS催化剂的NH3 FEs与对应的产率。(g)采用15NO3–和14NO3–作为氮源时,NITRR过程后电解液的1H NMR谱。

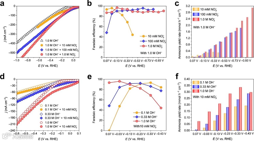
图3. (a) CoP-CNS催化剂在1.0 M OH–中于不同cNO3–条件下的LSV曲线。在0.07至–1.03 V vs. RHE范围内的特定电位下,CoP-CNS催化剂在1.0 M OH–中于不同cNO3–条件下的(b) NH3 FEs和(c)对应的NH3产率。(d) CoP-CNS催化剂在含有和不含10 mM NO3–的不同cOH–中的LSV曲线。(e)在0.07至–0.43 V vs. RHE范围内的特定电位下,CoP-CNS催化剂在10 mM NO3–中于不同cOH–条件下的(e) NH3 FEs和(f)对应的NH3产率。

图4. (a) CoP-CNS催化剂在不含NO3–的不同cOH–中的CV曲线。(b)采用DMPO作为自由基捕获剂时,CoP-CNS在不同cNO3–条件下催化NITRR溶液的ESR谱。(c)在含有和不含0.5 M t-BuOH猝灭剂条件下,CoP-CNS在0.07至−1.03 V vs. RHE电位范围内的NH3产率。(d) CoP-CNS, Co-CNS和CNS,(e) CoP-CNS在不同cNO3–中,(f) CoP-CNS在含有10 mM NO3–的cOH–或cOD–中H/D的KIE。原位FTIR光谱:(g)在含有1.0 M NO3–的1.0 M OH–中,CoP-CNS于–0.43 V vs. RHE电位时;(h)在含有1.0 M NO3–的1.0 M OH–中,Co-CNS于–0.43 V vs. RHE电位时;(i)在含有10 mM NO3–的1.0 M OH–中,CoP-CNS于–0.43 V vs. RHE电位时。

图5. 在CoP (211)和Co (111)表面上,(a) NITRR和(b) HER过程产生各种中间体的最低能量路径及相应的吸附构型与吉布斯自由能。(c) CoP的NITRR机理,其中Co为浅蓝色,P为粉色,H为白色,O为红色,N为深蓝色。

图6. (a)电化学NITRR过程辅助烟气中去除CO2示意图。(b)不同电解液中的CO2的捕获容量。(c) NITRR电解液中的CO2的捕获容量。

总结与展望
【文献来源】
Kui Fan, Wenfu Xie, Jinze Li, Yining Sun, Pengcheng Xu, Yang Tang, Zhenhua Li, Mingfei Shao. Active hydrogen boosts electrochemical nitrate reduction to ammonia. Nat. Commun. 2022. DOI: 10.1038/s41467-022-35664-w.
文献链接:https://doi.org/10.1038/s41467-022-35664-w
声明
“邃瞳科学云”直播服务
扫描二维码下载
邃瞳科学云APP

