

第一作者:Xiaoyi Xu,Shuoqing Zhang
通讯作者:黄宁,范修林,陈红征
通讯单位:浙江大学
论文DOI:https://doi.org/10.1021/jacs.2c10509
开发具有高稳定性的导电共价有机框架(COF),对于光电和储能应用是非常有利的。在此,作者开发了一种新型的基于 Janus 二酮的 COF。它通过烯烃单元连接,实现了sp2 碳共轭。其电导率和载流子迁移率分别可以达到 10–3S cm–1 和 7.8 cm2 V–1 s–1。此外,这些 COF 在各种恶劣条件下都非常稳定。有序的二维晶体结构、优异的孔隙率、高导电性和丰富的氧化还原活性羰基单元使这些 COFs 可用作锂离子电池中的高性能负极材料。值得注意的是,TFPPy-ICTO-COF 在 0.1 C 放电倍率下的容量高达 338 mAh g-1,刷新了 COF 基锂离子电池的容量记录。即使在 1000 次循环后,其容量保持率也高达 100%,这证明了这些基于 Janus 二酮的 COFs 材料具有卓越的稳定性。这项工作不仅扩展了烯烃连接的COFs的多样性,而且在COF储能方面也取得了新的突破。

背景介绍
框架化学已成为一种引人注目的策略,它可以合理设计共价有机框架 (COF),在近原子水平的精度上构建数百个晶格网络。COFs 在二维 (2D) 或三维 (3D) 空间上通过强共价键与各种芳香结构单元相连。研究人员已经设计和合成了大量功能性 COFs,用于气体吸附、能量存储、光电转换、催化、传感以及污水处理等领域。为了在这些领域实现高性能,保持强大的 COF 骨架的稳定性、可持续性和可恢复性至关重要。众所周知,连接强度与 COF 的稳定性直接相关。在过去的几十年中,许多共价键被用于合成 COF,例如环硼氧烷、螺硼酸盐、亚胺、二恶英、氰尿酸盐和吩嗪。其中,烯烃连接的COFs因其出色的稳定性、完全共轭的结构和优异的光电性能而受到特别关注。这些 COFs 主要是在碱作为催化剂存在下,通过醛与酸性含氢分子之间的 Knoevenagel 缩合反应合成的。然而,活性氢化合物的种类仅限于苯乙腈、三嗪、三氰基亚甲基和三甲基吡喃的几种衍生物。因此,研究人员有必要拓宽这些化合物的类别,进一步丰富烯烃连接的功能性COFs的种类。
由于能源需求的快速增长,开发可持续且廉价的储能技术已成为当务之急。锂离子电池(LIBs)在电动汽车、消费电子设备、可穿戴电子设备等诸多领域具有广阔的应用前景。限制锂离子电池容量增长的一个主要障碍在于电极材料的性能不佳。与常用的无机电极相比,有机材料具有高结构柔性、多电子反应、易于制造、成本低等优点。多种含有羰基单元的小分子和聚合物已被用作高性能电极材料。最近,采用COFs作为电极材料的研究已经取得了许多进展,并解决了稳定性和氧化还原活性基团利用率低等问题。尽管使用这些基于 COF 的电极材料(例如2D CCP-HATN,COF-TRO, 和 HATN-AQ-COF)实现了 54 至 319 mAh g-1 的电池容量,但是,在容量、倍率性能和循环稳定性方面,COFs仍有很大的改进空间。另一方面,研究人员从未尝试过超稳定和导电烯烃连接的 COFs。因此,利用烯烃连接且富含羰基的 COFs 作为 LIB 中的高性能电极值得进一步研究。

图文解析

图 1. 基于 Janus 二酮的 COF 的设计和合成。(a) 在典型溶剂热条件下, TFPPy-ICTO-COF 和 TFPPer-ICTO-COF 的合成示意图。(b) TFPPy-ICTO-COF 和 (c) TFPPer-ICTO-COF(C,灰色;O,红色;H,白色)完全重叠堆积的顶视图。

图 2. COF 晶体结构分析。(a) TFPPy-ICTO-COF 和 (b) TFPPer-ICTO-COF 的 PXRD 图。(c) TFPPy-ICTO-COF 和 (d) TFPPer-ICTO-COF 的 AA 堆叠模型示意图。(e) TFPPy-ICTO-COF 和 (f) TFPPer-ICTO-COF 的 HR-TEM 图。

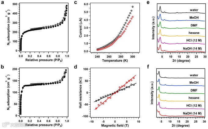
图 3.(a) TFPPy-ICTO-COF 和 (b) TFPPer-ICTO-COF 的氮吸附等温线。(c) 在 240 至 300 K 的温度范围和 1.0 V 的施加电压下,由四点探针测量的温度相关电流图(黑色圆圈,TFPPy-ICTO-COF;红色圆圈,TFPPer-ICTO-COF )。(d) 在 298 K 时,TFPPy-ICTO-COF(黑色圆圈)和 TFPPer-ICTO-COF(红色圆圈)的场相关霍尔电阻图。在不同条件下浸泡后,(e) TFPPy-ICTO-COF 和 (f) TFPPer-ICTO-COF 的 PXRD 图(黑色曲线,水;蓝色曲线,甲醇;绿色曲线,DMF;橙色曲线,己烷;紫色曲线,HCl 水溶液;红色曲线,NaOH 水溶液)。

图 4. 基于 COF 负极的锂离子电池性能。(a) TFPPy-ICTO-COF 在 0.5 mV s-1 时的循环伏安曲线。(b) 在电流密度为 0.1、0.2、0.5、1.0 和 2.0 A g–1 时,TFPPy-ICTO-COF 和 TFPPer-ICTO-COF 负极的倍率性能(红点,TFPPy-ICTO-COF;黑点,TFPPer -ICTO-COF)。(c) TFPPy-ICTO-COF 负极在 1 A g-1 电流密度下的长期循环稳定性。(d) TFPPy-ICTO-COF 负极在不同循环次数下的电化学阻抗谱(黑色曲线,第 3 次循环;绿色曲线,第 100 次循环;橙色曲线,第 200 次循环;蓝色曲线,第 400 次循环;红色曲线,第 600 次循环;青色曲线,第 800 次循环;紫色曲线,第 1000 次循环)。(e) TFPPy-ICTO-COF(红色曲线)、TFPPer-ICTO-COF(蓝色曲线)、HATN-AQ-COF(黄色曲线)、PIBN-G(紫色曲线)和 PT-COF50(绿色曲线)的性能雷达图 。

图 5. 基于 COF 负极的理论计算模拟。(a) TFPPy-ICTO-COF 和 (b) TFPPer-ICTO-COF 的静电势图。(c) TFPPy-ICTO-COF 和 (d) TFPPer-ICTO-COF 的 TDOS 计算结果。(e) TFPPy-ICTO-COF 在锂化/脱锂过程中的可逆电化学氧化还原机制。

总结与展望
总的来说,作者开发了一系列基于 Janus 二酮的新型 COFs。它们由烯烃连接,并通过 Knoevenagel 缩合反应合成。所获得的COFs在各种条件下表现出高结晶度、高孔隙率和出色稳定性。值得注意的是,这些 COF 完全共轭且羰基含量极其丰富。由于其完全共轭、强稳定性和高密度氧化还原活性中心等优势,这些基于 Janus 二酮的 COFs 可以用作 LIB 中的高效负极材料。在 0.1 C 的放电倍率下,其中一种 COF实现了 338 mAh g-1 的高比容量,这是基于 COF 的 LIB 中的最高记录。1000次循环后可逆容量仍能保持100%,这表明该锂离子电池具有优异的稳定性。因此,这项工作不仅丰富了烯烃连接的 COF家族,而且为 COF 在高性能电化学储能中的功能利用铺平了道路。
本文仅供科研分享,不做盈利使用,如有侵权,请联系后台小编删除
欢迎关注我们,订阅更多最新消息
“邃瞳科学云”推出专业的自然科学直播服务啦!不仅直播团队专业,直播画面出色,而且传播渠道多,宣传效果佳。
“邃瞳科学云"平台正在收集、整理各类学术会议信息,欢迎学会、期刊、会议组织方择优在邃瞳平台上进行线上直播,希望藉此帮助广大科研人员跨越时空的限制,实现自由、畅通地交流互动。欢迎老师同学们提供会议信息(会有礼品赠送),学会、期刊、会议组织方商谈合作,均请联系翟女士:18612651915(微信同)。
投稿、荐稿、爆料:Editor@scisight.cn