
第一作者:王轩

研究背景
开发高效环保的氧还原反应电催化剂对于实际的能源转化技术具有重要的意义。然而,本征的催化反应线性自由能关系对于实现高效的氧还原的催化剂施加了额外的热力学限制。当前商业化的氧还原Pt基催化剂存在着储量稀少、价格昂贵与较差的稳定性,因而限制了其大规模的实际应用。作为商业化Pt基催化剂的替代品,过渡金属基催化剂因其储量丰富与可调控的催化活性而备受关注。然而过渡金属基催化剂与商业化Pt基催化剂相比,却又显现出一定的缺陷,例如活性不足、长程催化稳定性差,对苛性电解液的耐性不足等。因此,仍然需要对过渡金属基催化剂进行额外的调控,来充分发挥其氧还原的潜在催化活性。电子调控策略不失为一种十分有效的材料本征活性的调控策略,并且受到了广泛的研究和关注。先前大量的研究报道是基于过渡族金属本身的高周期d轨道或者阴离子型p轨道与3d进行耦合,从而提升过渡金属的本征催化活性。近年来,随着稀土在能源领域不断受到重视,其价层独特且丰富的4f能级诱导的旋轨耦合引起了人们对于利用4f桥接的电子结构调控策略的广泛研究兴趣。但是,从价层结构来说,4f能级又难以直接利用,这是因为4f能级受到5d与6s的屏蔽作用,通常在化学反应中呈现惰性特征,这也导致稀土与氧成键的共价性成分较低。由此,如何更理性地挖掘稀土的潜在能力,使其作为“催化活性调控剂”,并且理解其独特的催化作用机制,仍然存在不小的未知。

文章简介
近日,南京师范大学唐亚文、付更涛教授团队与李亚飞、王彧教授团队合作,报道了一种梯度型3d-2p-4f电子调控策略,选择Eu2O3-Co模型催化剂,通过局域化的Co-O-Eu活性基本单元的建立,成功实现了模型催化剂的高效氧还原催化反应与锌空电池的应用。电催化反应测试结果表明模型催化剂具有在0.1 M KOH电解液中达到0.887 V 的半波电位,匹敌商业化Pt/C催化剂并且显著优于一众文献报道的Co基氧还原催化剂活性。同时在锌空电池中展现出较好的峰值功率密度、倍率性能,以及长程循环稳定性。密度泛函理论计算表明构建的局域化的Co 3d-O 2p-Eu 4f活性基本单元,可以同时实现Co-3d-eg占据态的优化与Eu 4f-O 2p共价性成分的优化,进而打破限制氧化原反应过程中的ΔG(*OOH)-ΔG(*OH)线性关系束缚,使其更接近理想化的2.46 eV。相关成果以标题为“Engineering 3d-2p-4f Gradient Orbital Coupling to Enhance Electrocatalytic Oxygen Reduction”发表在Wiley出版社旗下材料顶级期刊《Advanced Materials》上。

研究亮点
(1)区别于以往的电子调控策略与催化机制研究,首次选用Eu2O3-Co作为模型氧还原反应催化剂,引入了局域化的Co-O-Eu基本单元,通过电子相互作用引起Co 3d-O 2p-Eu 4f 梯度型的轨道耦合,可以同时活化3d-eg占据态与Eu 4f-O 2p的共价性成分。
(2)得益于有效的局域化的Co-O-Eu基本单元内的梯度型轨道耦合,所制备的Eu2O3-Co模型催化剂在碱性0.1 M KOH中显示出0.887 V的半波电位,与商业化Pt/C催化剂的半波电位相近,以及显著优于一系列文献报道的Co基催化剂的氧还原活性。同时,在锌空电池中展现出优于Pt/C催化剂的峰值功率密度,倍率性能,电池容量,以及长程充放电循环稳定性。
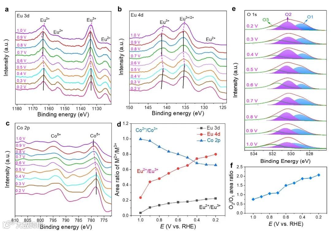
(3)准原位XPS表征证实了在整个氧还原反应的电位区间内存在显著的Co-O-Eu局部的电子转移,随着电位的负方向推进,Eu2O3-Co模型催化剂表面不断产生Eu2+,即不断产生Eu3+-Eu2+还原对,同时Co则是不断向着高氧化态方向变化,证实了Co-O-Eu基本单元的强烈电子相互作用,充当催化反应的主要活性位点。
(4)密度泛函理论计算表明,模型催化剂Eu2O3-Co优异的催化活性来源是基于Co 3d-O 2p-Eu 4f的梯度型轨道耦合的建立,一方面优化了Co-3d的eg占据态,使得dx2-y2的电子几乎失去,说明了Co充当电子给予体,而Eu-O键的共价性得到进一步提升,因而打破了氧还原反应过程中的*OOH与*OH的线性自由能关系束缚。

图文导读
通过对模型催化剂使用电化学准原位XPS光谱分析氧还原反应过程。随着电位的负移推进,模型催化剂表面不断产生Eu3+-Eu2+还原对,同时Co的氧化态不断提升,说明Co物种扮演着电子给予体的角色,而Eu扮演着电子接受体的角色。随着Eu2+的产生,模型催化剂表面将建立起电荷的梯度不对称分布,这种极化的表面电荷分布有助于吸附和锚定含氧中间体,可以促进*O2-不断转化为*OH。同时也从侧面佐证了Co与Eu在Co-O-Eu局部的强烈的电子相互作用。
所制备的模型催化剂Eu2O3-Co,受益于局域化的Co-O-Eu的电子相互作用,使得Co呈现较高的氧化态,Bader电荷显示Co的氧化态高于单独Eu2O3中的Eu的氧化态,说明Co的引入充当电子给予体,使得dx2-y2的电子几乎失去,优化了Co-3d的eg占据态,而Eu由于得到了一部分电子,Bader电荷有所降低,其Eu-O的共价性成分也得到了优化,有利于促进Co-O-Eu基本单元对于含氧中间体的吸附与活化,从而打破ΔG(*OOH)与ΔG(*OH)的线性自由能关系束缚,使之更接近于理想催化剂的2.46 eV,从而解释了活性提高的来源。

总 结
作者提出了一种新型的基于3d-2p-4f具有梯度型的轨道耦合电子调控机制,选用模型催化剂Eu2O3-Co作为研究对象。实验和理论研究相互验证,证实了模型催化剂中的局域化的Co 3d-O 2p-Eu 4f的电子相互作用可以同时优化Co 3d的eg占据态与Eu-O键的共价性特征,有利于增强对含氧中间体的吸附,进而打破线性自由能关系,提升氧还原反应的催化活性。电化学测试表明模型催化剂具有与商业化Pt/C催化剂相匹敌的催化活性,同时在锌空电池中也呈现出优于Pt/C的峰值功率密度,倍率性能,电池容量,以及长程循环稳定性。本工作不仅提供了一个基于稀土基4f电子调控的高效 ORR 的催化案例深入解读,同时也有望为实现电子结构开辟一种新的有效途径,即通过梯度轨道耦合调制激活 RE-4f 状态进行电催化反应。

论文信息
Xuan Wang, Jingwen Wang, Pu Wang, Liangcheng Li, Xinyue Zhang, Dongmei Sun, Yafei Li, Yawen Tang, Yu Wang,* Gengtao Fu*. Engineering 3d-2p-4f Gradient Orbital Coupling to Enhance Electrocatalytic Oxygen Reduction.
论文链接:https://onlinelibrary.wiley.com/doi/10.1002/adma.202206540
本文仅供科研分享,不做盈利使用,如有侵权,请联系后台小编删除
欢迎关注我们,订阅更多最新消息
“邃瞳科学云”推出专业的自然科学直播服务啦!不仅直播团队专业,直播画面出色,而且传播渠道多,宣传效果佳。
“邃瞳科学云"平台正在收集、整理各类学术会议信息,欢迎学会、期刊、会议组织方择优在邃瞳平台上进行线上直播,希望藉此帮助广大科研人员跨越时空的限制,实现自由、畅通地交流互动。欢迎老师同学们提供会议信息(会有礼品赠送),学会、期刊、会议组织方商谈合作,均请联系翟女士:18612651915(微信同)。
投稿、荐稿、爆料:Editor@scisight.cn