DOI: https://doi.org/10.1016/j.apcatb.2022.122270

图文摘要

成果简介
近日,华中师范大学徐晖教授、孙红卫副教授和上海交通大学张礼知教授研究团队在Applied Catalysis B: Environmental上发表了题为“Facile fabrication of rGO/PPy/nZVI catalytic microreactor for the ultrafast removal of p-nitrophenol from water”的研究论文(DOI: https://doi.org/10.1016/j.apcatb.2022.122270),该研究采用简便的两步电化学沉积策略,成功在不锈钢管内壁沉积了新型还原氧化石墨烯/聚吡咯-纳米零价铁(rGO/PPy/nZVI)复合催化剂涂层,首次构建了连续流动nZVI催化微反应器,并应用于污染物对硝基苯酚(PNP)的超高效催化降解。50 s内PNP的去除率高达99%,去除效率明显优于传统批处理反应器。rGO/PPy/nZVI微反应器突破纳米零价铁(nZVI)粉末在传统水处理反应器中传质效率差且后分离困难的限制,具有简单、高效、可再生、易放大等显著优势。通过实验和密度泛函理论(DFT)计算揭示了rGO/PPy/nZVI纳米复合材料的协同作用机理,提出了PNP降解的可能途径。该工作开创性地提出了一种高效nZVI微反应器设计方式,为零价铁水处理技术提供了新的机遇。

全文速览
纳米零价铁(nZVI)是优异的类Fenton反应催化剂,能够高效去除水中有机污染物,已被应用于地下水污染修复和工业水处理等领域。但常规nZVI水处理反应器多采用流化批处理方式,存在nZVI易聚集、难分散、催化剂-溶液界面传质不充分、易产生污泥、回收困难等问题。穿透式催化反应器是将nZVI颗粒填充于固定床或微孔滤膜上,但是反应过程中易发生填充床堵塞和膜污染等问题。通过在开管反应器内壁固定一层高度分散的催化剂nZVI,构建流经型催化反应器有望解决填充床堵塞和膜污染的问题。但是nZVI固载可能会限制nZVI和反应溶液间的传质过程。因此,设计高效的流经型nZVI反应器仍极具挑战性,目前尚无文献报道。
微反应器是一种新型的连续流动管式反应器,其常规通道直径在10-1000 μm范围内。微反应器具有高效的传质传热效率,无需催化剂后分离步骤、操作简单,在催化反应、纳米材料合成等方面逐渐展露出巨大的潜力。借鉴微反应器理念设计nZVI水处理反应装置,有望解决现有nZVI水处理反应器的弊端。另外,由于微通道内氧气扩散受限,因而或可有效地抑制nZVI的快速氧化失活。且微通道的限域效应更有利于活性物种与目标污染物的充分接触,避免了短寿命活性自由基的猝灭,有望实现高性能的类Fenton反应。
本研究首次采取动态原位沉积法制备了一种新型rGO/PPy/nZVI复合微反应器。其中rGO具有二维结构、大比表面积、良好导电性;PPy是优良的导电高聚物。在电沉积步骤中,吡咯单体聚合为PPy的同时会还原GO生成rGO,在不锈钢细管内壁原位形成rGO/PPy复合基底,该基底具有强机械附着力、高比表面积、高导电性能,是理想的nZVI分散负载基质。所获得的rGO/PPy/nZVI催化膜厚度均匀(7.7 μm),呈现出非常规的树枝状纳米结构。其催化类Fenton反应可在50 s内快速去除99%以上的对硝基苯酚(PNP)。经过5次使用和简单再生后,该连续流微反应器仍具有高活性,PNP去除率分别高达76.98%和96.7%。与纯nZVI微反应器相比,rGO/PPy/nZVI微反应器的流出液中金属浸出率更低。将此微反应器组装成阵列,有望用于实际水处理。rGO/PPy/nZVI微反应器的超高类Fenton活性主要归因于:(1)微通道内高度分散的nZVI有利于活性位点的暴露;(2)连续流动的反应模式有利于目标污染物的高效吸附和降解产物的快速脱附,保证了活性位点的及时更新;(3)微反应器固有的高效对流和传质特性保证了限域空间内原位生成的活性物种与邻近区域靶向污染物的充分接触,抑制了短寿命自由基的自淬灭;(4)微通道内nZVI的氧化被有效地抑制;(5)nZVI、rGO和PPy之间形成的稳定电子转移复合物加速了H2O2分解和·OH的生成;(6) rGO/PPy复合基底向nZVI 的供电子作用有利于限速步Fe(III)/Fe(II)的氧化还原循环。
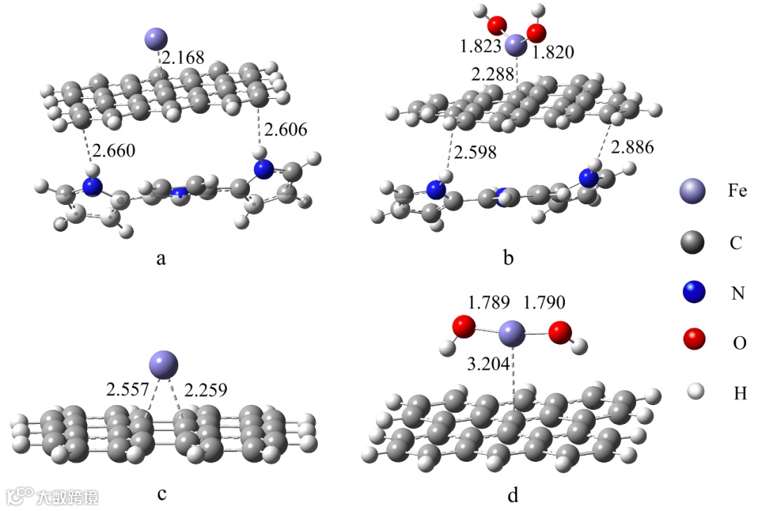
DFT计算深度揭示了rGO/PPy/nZVI的催化机理。结果表明,PPy促进了Fe在rGO上的吸附,铁-碳键键长从rGO上的2.257和2.259 Å缩短到rGO/PPy上的2.168 Å,并伴随着吉布斯自由能(ΔG)的降低。自然键轨道(NBO)分析显示从PPy的N-H成键轨道到rGO的反键轨道π* (C-C)的弱电子转移。这表明PPy有利于nZVI、rGO和PPy之间形成更稳定的电子转移复合物,从而促进H2O2分解为·OH。H2O2在吸附Fe原子上发生快速分解形成两个吸附态羟基,且rGO/PPy/nZVI-H2O2系统中的Fe-OH键长(1.820和1.823Å)显著大于rGO/nZVI-H2O2系统中的键长 (1.789和1.790 Å),因而更有利于游离·OH的生成和Fe活性中心的恢复。此外,NBO分析还观察到从PPy的C-C成键轨道和rGO的反键轨道π* (C-C)到Fe(III)的未占据轨道的强电子转移,从而促进Fe(III)/Fe(II)循环。

图文导读
Fig. S1. The schematic diagrams of (a) preparation of rGO/PPy/nZVI catalytic microreactor by dynamic electrodeposition method ((b)1ststep deposition of rGO/PPy, (c) 2nd step deposition of nZVI on rGO/PPy and (d) PNP degradation in continuous flow catalytic microreactor.

Fig. 1. TEM images of (a) nZVI, (b, c) rGO/PPy/nZVI. HR-TEM images of (d) rGO/PPy/nZVI, (e) the rGO/PPy/nZVI nanostructures. (f-j) The elemental mappings of the rGO/PPy/nZVI nanocomposite. Fabricating conditions: SS tube length 20 cm, id. 1 mm); electrodeposition time of rGO/PPy and nZVI: 60 s and 120 s; electrodeposition voltage: 7.5 V.

Fig. 5. (a) Long-term stability of rGO/PPy/nZVI and nZVI microreactor (per cycle conditions: flow rate: 0.2 mL min-1, reaction time: 5 min, [PNP]: 10 mg L-1), (b) Fe3+/Fe2+ratio based on XPS analysis on rGO/PPy/nZVI catalyst, (c) relative concentration of functional groups on C 1 s spectra of rGO/PPy/nZVI microreactor based on XPS analysis.

Fig. 7. DFT optimized geometries of (a) rGO/PPy/nZVI and (c) rGO/nZVI, as well as those of H2O2 adsorption on (b) rGO/PPy/nZVI and (d) rGO/nZVI.

Fig. S12. Removal rate of PNP in fresh and regenerated microreactors.

Fig. S13. Schematic diagram of rGO/PPy/nZVI microreactor array for wastewater treatment.

作者介绍
徐晖,华中师范大学化学学院教授,博士生导师,湖北省杰青,主要从事环境分析及催化研究。博士毕业于南京大学化工学院分析化学专业,随后加入华中师范大学化学学院。
孙红卫,华中师范大学化学学院副教授,硕士生导师。博士毕业于中国科学院大学广州地球化学研究所环境科学专业,曾任中国科学院武汉植物园任助理研究员、华中师范大学化学学院师资博士后、韩国浦项科技大学环境科学与工程系博士后。主要从事铁环境化学、高级氧化技术、水中新污染物控制技术等方向的研究。
张礼知教授:国家杰出青年科学基金获得者(2014),科技部中青年科技创新领军人才计划(2015),教育部长江学者特聘教授(2016),中组部万人计划科技创新领军人才(2017),湖北省高层次人才工程第一层次入选者(2012),湖北省高端人才引领培养计划第二层次入选者(2012),教育部新世纪优秀人才支持计划入选者(2007),洪堡学者(2006-2007,德国马普胶体与界面所)。已获授权专利 30 余项。在 Chem、Nature Communications、Journal of the American Chemical Society、Angewandte Chemie International Edition、Advanced Materials、Environmental Science & Technology 等学术期刊发表论文 290多篇,其中27篇入选 ESI 高被引论文。截至2021年5月论文已被引用29200多次,其中他引28300多次,H因子96。2008年获得湖北省自然科学二等奖(第一完成人),2011年获湖北省青年科技奖,并入选湖北省自主创新“双百计划”,2012年入选湖北省高端人才引领培养计划和湖北省高层次人才工程,2014年起连续入选 Elsevier发布“化学领域中国高被引学者榜单”,2015年获教育部高等学校科学研究优秀成果奖(科学技术)自然科学二等奖(第一完成人),2018年起连续入选 Clarivate(Web of Science)交叉领域全球高被引科学家榜单,2019 年获湖北省自然科学一等奖(第一完成人)。
本文仅供科研分享,不做盈利使用,如有侵权,请联系后台小编删除
欢迎关注我们,订阅更多最新消息
“邃瞳科学云”推出专业的自然科学直播服务啦!不仅直播团队专业,直播画面出色,而且传播渠道多,宣传效果佳。
“邃瞳科学云"平台正在收集、整理各类学术会议信息,欢迎学会、期刊、会议组织方择优在邃瞳平台上进行线上直播,希望藉此帮助广大科研人员跨越时空的限制,实现自由、畅通地交流互动。欢迎老师同学们提供会议信息(会有礼品赠送),学会、期刊、会议组织方商谈合作,均请联系翟女士:18612651915(微信同)。
投稿、荐稿、爆料:Editor@scisight.cn