与传统热催化CO2转化相比,在环境条件下进行的电催化CO2还原(eCO2RR)因其分布式制造、由清洁电能驱动、利用水中质子源等优点而备受关注。其中,Cu催化剂因能促进C–C偶联而表现出优异的前景,产生比C1产物(CO、CH4和甲酸盐)更有价值的C2+烃类和含氧化合物。尽管已取得一些进展,但Cu基催化剂的能效和产物选择性仍然很低,尤其是靶向一种特定的C2+产物而不是混合物时更为如此。
在本文中,作者设计出一种集成单原子Ni和纳米Cu催化组分的杂化催化剂,成功增强eCO2RR过程中的C–C偶联和乙烯(C2H4)产率。锚定于高表面积有序介孔碳上的单原子Ni能够在宽电位范围内实现CO2至CO的高速率和高选择性转化,随后CO富集于Cu纳米线(NWs)实现C–C偶联制备C2H4。在碱性流动池中于−0.5 V电位下,该催化剂表现出高达66%的乙烯法拉第效率(FE),且电流密度超过100 mA cm–2。

通讯单位:弗吉尼亚大学、爱荷华州立大学、哥伦比亚大学
DOI: 10.1021/jacs.2c09773

亮点解析
催化剂制备与表征
如图1所示,将两种功能组分单原子Ni和纳米Cu进行杂化,从而促进eCO2RR过程中的C2H4选择性制备。首先,分别合成出单原子Ni-NAC和Cu NWs。将制备出的Cu NWs (溶于己烷)、Ni-NAC和Vulcan碳以一定比例混合,并在己烷中超声处理2小时。通过加入40 mL己烷并离心三次纯化产物,随后在N2气体中干燥。将具有主导{100}晶面的Cu NWs与单原子Ni-NAC合理组装,可在中等电位(−0.5 V vs. RHE)下表现出高达66%的C2H4法拉第效率。

图1. Cu/Ni-NAC杂化催化剂的组分设计用于级联催化。
从HAADF-STEM图像中可以看出,单原子Ni-NAC表现出有序介孔结构(图2a),同时可以观察到单原子Ni的形成(图2b)。在成功合成Cu NWs和Ni-NAC后,将其在己烷中混合并超声处理以形成杂化催化剂。如图2c中的SEM结果所示,在组装前,高纯度的Cu NWs彼此相交。在组装后(图2d),Cu NWs均匀地嵌入Ni-NAC和Vulcan碳的基体中,表明Cu NWs和Ni-NAC之间紧密接触。此外,在杂化催化剂形成后,Cu NWs的形貌没有发生改变。

图2. Cu/Ni-NAC杂化催化剂的微观形貌表征。
如图3a-b所示,得益于均匀且互连的3.0 nm孔,单原子Ni-NAC样品的表面积可达到718 m2 g–1。为进一步研究杂化材料中的原子配位结构,对Cu/Ni-NAC进行原位ex situ EXAFS测试。杂化催化剂的R-空间图与Cu箔标准一致,其中在2.2 Å处观察到Cu–Cu散射路径,为fcc Cu结构的典型特征(图3c)。与Cu的EXAFS不同,Ni的R-空间图中主峰位于1.45 Å,与N和/或C原子的配位有关(图3d)。

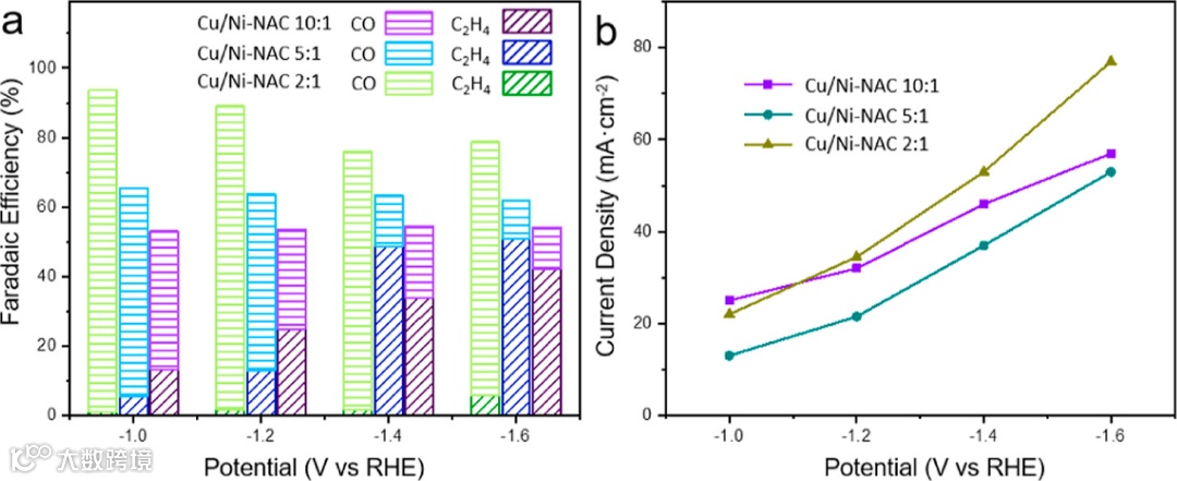
如图4a所示,在三种杂化催化剂中,Cu/Ni-NAC 2:1样品表现出最高的CO法拉第效率,表明高比例的单原子Ni组分会导致CO过量产生。同时,增加杂化催化剂中的Cu NWs相对含量则显著提高C2H4 FE。图4b为杂化催化剂的电流密度,其中Cu/Ni-NAC 2:1催化剂在−1.2至−1.6 V电位范围内具有最高的电流密度(超过80 mA cm–2)。

图4. H型电解槽与中性电解液条件下的电催化CO2RR性能。
如图5a所示,在负扫期间Cu/Ni-NAC杂化催化剂于2050和1950 cm–1处显示出两个强CO吸附峰,表明Ni-NAC组分产生的*CO会在Cu NWs表面转移并富集,并进行随后的C–C偶联。相反,使用Cu NWs作为催化剂时,则没有观察到与桥结合CO相关的峰,且仅在−0.8 V后才出现微弱的顶部结合CO峰(图5b),表明eCO2RR过程中*CO在Cu NWs上的覆盖率很低。

图5. 原位SEIRAS和原位Ni K-edge XANES表征。
如图6所示,为催化剂的Ni K-edge X射线吸收近边结构(XANES)光谱。对于新制备和电解后的催化剂而言,杂化催化剂的ex situ Ni K-edge XANES光谱与Ni箔不同,但与Ni-NAC相同。此外,在eCO2RR的原位测试中,Ni K-edge光谱保持不变(图5c),表明该杂化催化剂中单原子Ni结构的高稳定性。

图6. Cu/Ni-NAC在不同条件下的Ni k-edge XANES光谱。
如图7a所示,在1 M KOH中,Cu/Ni-NAC 10:1开始即可产生超过15%的C2H4,并且C2H4 FE随着过电位增加而不断增加。当电解液的碱性更高时(10 M KOH),C2H4的产率变得更高,产生C2H4的过电位更低。在−0.3 V时开始产生37% C2H4,−0.5 V时达到峰值为66% C2H4。此外,还评估了eCO2RR过程在10 M KOH中杂化催化剂的稳定性(图7c)。在流动池中于−0.5 V下恒电位电解10 h后,C2H4 FE从66%略微下降到53%,且电流密度始终保持在100 mA cm–2以上。

图7. 流动池中碱性电解液条件下的电催化CO2RR性能。

文献来源
Zhouyang Yin, Jiaqi Yu, Zhenhua Xie, Shen-Wei Yu, Liyue Zhang, Tangi Akauola, Jingguang G. Chen, Wenyu Huang, Long Qi, Sen Zhang. Hybrid Catalyst Coupling Single-Atom Ni and Nanoscale Cu for Efficient CO2 Electroreduction to Ethylene. J. Am. Chem. Soc. 2022. DOI: 10.1021/jacs.2c09773.
文献链接:https://doi.org/10.1021/jacs.2c09773
本文仅供科研分享,不做盈利使用,如有侵权,请联系后台小编删除
欢迎关注我们,订阅更多最新消息
“邃瞳科学云”推出专业的自然科学直播服务啦!不仅直播团队专业,直播画面出色,而且传播渠道多,宣传效果佳。
“邃瞳科学云"平台正在收集、整理各类学术会议信息,欢迎学会、期刊、会议组织方择优在邃瞳平台上进行线上直播,希望藉此帮助广大科研人员跨越时空的限制,实现自由、畅通地交流互动。欢迎老师同学们提供会议信息(会有礼品赠送),学会、期刊、会议组织方商谈合作,均请联系翟女士:18612651915(微信同)。
投稿、荐稿、爆料:Editor@scisight.cn