“ 再也不用折腾谷歌翻译啦!
本文转载自公众号“英文茶馆”(ID:myenglishteatime)
本文已获转载授权
说起英语和数学,大概每个人都有难忘的回忆。可是学了十几、二十年的英语和数学,你会用英语来表达数学吗?烂熟于心的数学符号和表达式用英语会说吗?想不想挑战一下自己?
先来一个最简单的:1+2=3 用英语怎么说?

One plus two equals three. 哎呦不错哦, 请继续!
½ (x + y)英语怎么说?

@#¥%。。。
这个呢?

。。。
这个呢?

今天这篇文章,将从小学到博士后的数学符号和表达式的英文读法一网打尽,全都总结好了!惊不惊喜?意不意外?!

这篇精品文章里,囊括了从小学数学到高等数学,涉及到的主要符号和表达式的英文读法,查阅了很多资料,确保英文100%准确,请放心食用。

数学是所有理工学科的基础,是认识科学世界基本工具,数学的重要性不言而喻。所以,这篇文章是老少咸宜的、吐血总结的干货。可以帮助:
中小学生:了解英语不仅是“How are you!Fine thank you and you?”,而是真正用于学习数学、学习知识的工具。
大学生:在外教课堂、国际会议、外企,面对常见的数学符号,简单得不能再简单的数学问题时,不再茶壶里煮饺子倒不出来。
留学党:缩短刚到国外听懂老师课堂讲课的过渡期。
学生家长可以为你家宝宝留着哦~
基本数学符号
1. 加减乘除
"+"当作运算符加号时读作plus,比如:
1+2 ➡️ one plus two
当"+"放在数字前表示正数时,读作positive,比如:
+4 ➡️ positive four
同样,“-”也有minus和negative两种读法,分别是减号和负数。
"×" 两种读法都可以,国外的教授会常常读成times,可能因为比较简单吧,比如:
9x6 ➡️ nine times six
“÷”只有一种读法divided by,就是被…分成几份
15÷3 ➡️ fifteen is divided by three
注意:
其中plus和minus是不用第三人称单数形式的,因为plus和minus根本就不是动词,而是介词。
但是乘和除,的的确确是动词,出现第三人称单数的形式。您记住了吗?

2. 比较运算符
比较运算符用来比较两个表达式的大小关系,比如:1+4>3 ➡️ one plus four is greater than three
为什么用is?
这里one plus four 是介词plus 连接两个名词,但是one plus four 作为一个整体当作主语,因此不用are,而是is
4+5=9 ➡️ four plus five equals nine 或 four plus five is equal to nine
其他的类推,只要你认识数学符号,应该不难用英语说出来。

3. 括号
括号是最常见的数学符号了。
中文里同类词习惯有相同的部分,比如:卡车、消防车、救护车都有“车”字。小括号,中括号,大括号都是括号。(多么科学啊!)
而英语里卡车、消防车、救护车分别是truck, fire engine, ambulance一点都不像。
英语里小括号,中括号,大括号这三个词也是没有一点相似,分别是:parenthesis,bracket,brace.(太不科学了!)
左括号叫做left或open,右括号叫做right或closed. 下次碰到了就大胆地说出来吧!

4. 级数表示
哇~到中学数学了~这张表里的“a”是变量,而不是冠词“一个”的意思哦。
|a|是a的绝对值或绝对值a, 英文读作absolute value of a, 非常好理解。
a'是什么?a撇就是与a相关又不想重复的时候会用一下,英语里读成a prime, 同样有两撇a double prime, 三撇a triple prime…
但是注意了,如果a'表示时间分秒里的分,或者其他有具体意义的时候,就要按照具体意义读了。
是a的n次方,是n个a相乘的结果,读作a superscript n或者a to the n
这两个初中代数就出现了,读作a bar和a star. Bar 就是杆的意思。a上面有个杆。中文怎么读?a杠,a星。
square是数学里的平方,cube是立方,root是根号,这几个词用于表示开方
是最常出现的了,读作a sub n,一定要记住了!!在数学上大量出现。根号a和三次方a读作square root of a和cube root of a

5. 微分和偏微分
升级到了高等数学,经过高考的学生才会碰到这两个。
这是什么鬼?这是一个变量对x微分或偏微分的运算符,符号后面还要加上某一个变量。首先,小伙伴知道中文怎么念吗?嘿嘿,d比d x?英文读作d by d x,严谨地读作the derivative with respect to x, with respect to 是关于的意思,就是关于x的微分。
偏 比偏x?英文读作the partial derivative with respect to x或者简单地读作partial over partial x,partial是部分的意思。
顺便显摆一下,微分是单变量时候叫法,如果是多变量就是偏微分喽!看咱这数学是不是杠杠滴!

6. 其他数学符号
进阶篇
有点数学基础了吧,来点实用的!进阶篇!

1. 代数(1)
以上几个是代数表达式,是符号之间的运算。表达式不是等式,所以其英文翻译也不是一个句子,类似一个名词短语。
比如ab-c读作a b minus c,介词minus连接两个名词变量,结果还是一堆名词变量。ab直接读 a b 就行。
因为语言的本质是传递信息,懂数学的人已经明白了,没有二义性。
如要更清晰地表达ab,是 a times b,times是谓语动词 time的第三人称单数。
a-(b-c)和a(b+c)里有一对括号,不用把括号读出来。a-(b-c)数学上的意思是a减去b与c的差,英文也是这个逻辑,读作a minus the difference b minus c,没有of,其中the difference是差的意思。
a(b+c)读作a times the sum b plus c,应该很好理解了。
a-(-b-c)读作a minus the quantity minus b minus c,使用quantity是英语语言习惯,避免plus和minus连在一起说。

2. 代数(2)
这几个单独拿来说事,是因为太重要了!
在国外课堂上,老师一边写公式一边嘴里叨咕着,公式里分数是很多,一般都念做over!因为快!比如8/9直接念eight over nine
复杂点的第二个
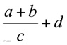
中文读c分之a加b加d,中文读法有歧义,分不清加d是在分子上还是分数后面。
英文读作the quantity a plus b over c, that fraction plus d, 没有歧义!perfect!
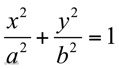
是拿来绕嘴的,读作the fraction x squared over a squared plus the fraction y
squared over b squared equals 1,其中fraction是分数的意思。
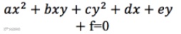
这个是拿来是给你找信心的,很简单吧:a x squared plus b x y plus c y squared plus d x plus e y plus fequals zero完全读对的童鞋奖励自己一根棒棒糖。

3. 几个特殊的
这几个特殊的每一个都很珍贵!拿走不谢。
第一个
简单读成a to the x,例子非常多,比如
读作three to four,也可以读的更完整点,three raised to the four power
是以b为底的a的对数,log to the base b of a,其中the base就是为底了,介词严谨地表达了准确的数学定义。
,
是以10为底的3乘4的积的对数,读作log to the base 10 of the product 3 times 4
以此类推,
中注意the fraction和the ratio是一样的,分数就是比的意思嘛。

是x的自然对数,读作the natural log of x。
自然对数底是多少?哼哼,百度啊,e=2.71828
注意:
中的“点点点”就读做dot dot dot
p(x)数学上是表示一个以x为自变量的函数p,读作p of x。为什么不读成p x, 汉语就是这么读的.应该是避免和px搞混吧。
另外注意,
里也有个of
4. 带of的函数
单独总结一下带of 的函数,数学上是以x为自变量的函数p,其他的都不复杂。

5. 专业课里常出的数学符号
这些在工程学科的专业课里很容易见到,理论力学里用
表示正应力,读作sigma sub x,注意 sub 表示下标。
当有大写字母时,读作Capital q sub one。
有括号,读作Capital e of x,结合上面的p(x)印象应该很深吧。
这个比较怪,下标带括号,汉语一般读成j 下标括号p,英文读作j sub p in parentheses,parentheses是括号的意思。
6. 高等数学里面的几个符号
这几个表达式是求和、求积和求极限。
汉语读西格玛1到大n,英文读作summation from one to capital n
英文里把希腊字母的意思说出来了,求和(summation), 这里多了正无穷,读作summation from i equals one to infinity of x sub i
是infinity就是正无穷。数学上是多个量求积的符号,英文积是product,是名词。
结构和求和一样,product from one to n
同理,
读成product from i equals one to infinity of y sub i
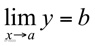
的意思是当x趋近a时y的极限等于b,limit as x approaches a of y equals b,limit是极限,名词,approaches 是趋紧的第三人称单数。
的数学意思是当x从左边趋紧a时关于x的函数f的极限,英文读作limit as x approaches a minus of fof x,从左边就是从minus方向
数学意思是函数fx的不定积分,英文读作integral of f of x d x,其中integral是积分的意思。

7. 线性代数中的英文读法
线性代数是大学生必学的科目,里面全是矩阵和向量,英文分别是matrix和vector,不明觉厉!
表里第一个是个矩阵,有四个元素,第一行是2 和 7, 第二行是3和10,用英文读时也和中文表达类似。
Two by two matrix (意思是2x2 矩阵),first row two seven, second row tree ten
注意此处没有is 等动词。
第二个是行向量,读作row vector
第三个是列向量,读作column vector

8. 其他常用的表达式
读时汉语从不强调大写delta,英文要读capital delta y

其他的都在前面出现过,列在此处再此强调一下。
后记
目前国内绝大部分的英语学习,仍然停留在日常交流和一些常识性知识的英语。
说的直白一些,口语练的再棒,英语水平也仅相当于英语国家受教育程度低的人的英语水平。
很多人native speakers没有读过书,照样可以交流。但是在他们的语言里找不到自然科学、文学、艺术等英语的痕迹。
我们虽然受过高等教育,但是专业的、学术的英语学习仍然匮乏。我们的课本是中文的、老师用中文授课、我们的知识体系也是中文的。
所以在阅读原版教材、写英文论文、参加国际学术交流等很多时候,会遇到英语瓶颈。真正能够应用英语来进行知识的学习,工作等,起码需要明白数学中的英语,希望这篇文章能给您带来帮助。
更多精彩文章关注仪器+资讯平台:yqj.mumuxili.com
买耗材仪器,找木木西里:www.mumuxili.com
特别声明:本文发布仅仅是出于传播信息的需要,并不代表本公共号观点;如其他媒体、网站或个人从本公众号转载使用,请向原作者申请,并自负版权等法律责任。






