DOI:https://doi.org/10.1016/j.apcatb.2022.122236

全文速览
乙酰丙酸(LA)水相加氢制γ戊内酯(GVL)被认为是生物质转化为可再生化学品的关键反应之一。本研究通过原子层沉积(ALD)将Pt沉积在预先包覆TiO2纳米膜的α-Al2O3上,合成Pt-TiO2/α-Al2O3催化剂。与直接将Pt负载在α-Al2O3上的Pt/α-Al2O3催化剂相比,该催化剂LA加氢活性和TOF都显著提升,并具有优异的稳定性。通过排除Pt粒径、晶面结构、载体形态、孔结构等因素的影响,利用多种表征方法揭示了Pt-TiO2相互作用对控制反应路径和效率作用。Pt-TiO2相互作用为LA和中间体的吸附提供了新的界面Pt位点,提供了Ti-OH活性位点,促进LA脱水环化成α-当归内酯中间体。这导致反应路径由先加氢再内酯化转变为先脱水环化再加氢。

背景介绍
用于生物质衍生物水相加氢可得燃料和精细化学品,常使用负载型金属催化剂。例如,乙酰丙酸(LA)水相氢化成γ-戊内酯(GVL)被认为是将木质纤维素为基础的生物质转化为可再生燃料和化学品的关键反应之一。虽然Pt基催化剂加氢效率高,但在水相LA加氢过程中,其催化活性低于Ru基催化剂,稳定性也较低。此外,Pt基催化剂在水相LA加氢过程中面临着与Ru基催化剂相同的挑战,如高温下酸性溶剂的腐蚀、传质限制、竞争吸附和催化剂的结构转变等。然而,多数研究表明Pt催化LA加氢反应的活性对水溶剂不敏感,水的作用常常被忽视。因此,在LA水相加氢过程中开发一种高效的Pt基催化剂仍然是非常可取的。最近的研究结果表明,金属-载体相互作用(MSI)改变了金属纳米颗粒的几何形貌、电子性质或分布,影响了负载金属催化剂的催化活性。为提升金属催化剂在水中的活性和稳定性,调控金属-载体相互作用,并揭示其在调控水相加氢反应性能的机制十分关键。

本文亮点
利用原子层沉积技术在α-Al2O3上沉积TiO2薄膜,然后沉积Pt纳米颗粒,通过与未修饰α-Al2O3上负载Pt催化剂进行比较,揭示Pt-TiO2相互作用在乙酰丙酸水相加氢中的作用,探究实现高效乙酰丙酸水相加氢的机制和催化剂设计策略。
1) 通过排除Pt结构以及催化剂形貌等因素的影响揭示了Pt-TiO2相互作用的关键性
2) Pt-TiO2相互作用为乙酰丙酸脱水环化提供了界面Pt位点和Ti-OH位点
3) Pt-TiO2相互作用导致乙酰丙酸加氢反应路径的转变

图文解析
我们利用原子层沉积技术在α-Al2O3载体表面沉积40循环TiO2(>3 nm),制得TiO2纳米膜全包覆α-Al2O3的载体。然后分别在α-Al2O3和TiO2全包覆的α-Al2O3上沉积20循环的Pt,获得Pt/α-Al2O3和Pt-TiO2/α-Al2O3催化剂。透射电镜结果表明,Pt/α-Al2O3和Pt-TiO2/α-Al2O3催化剂中Pt颗粒尺寸,Pt晶面结构一致,均为2.4 nm,Pt(111)为主要晶面(图1)。

XPS和XAFS结果表明,两种催化剂中Pt的价态没有发生变化,均主要以金属Pt形式存在(图2)。

测试Pt-TiO2/α-Al2O3和Pt/α-Al2O3两种催化剂LA加氢性能(图3)。与Pt/α-Al2O3催化剂相比,Pt-TiO2/α-Al2O3催化剂性能大为提高,TOF值从2487 h-1提高到4943 h-1。将本文的催化剂与已经报道的Pt催化剂进行对比,活性也达到较高值,且与报道最好的Ru催化剂的结果相当。将 Pt-TiO2/α-Al2O3催化剂装入固定床中进行稳定性实验。在150 ºC时,催化剂可稳定运行500 h而无明显失活。进一步将温度升至190 ºC,LA转化率接近100%,选择性维持在98%左右,继续稳定运行500 h无明显失活。由此可见Pt-TiO2/α-Al2O3催化剂稳定性良好。

利用CO- DRIFT来区分Pt表面不同活性位点并揭示其在分子吸附和反应中的作用(图4a)。Pt-TiO2/α-Al2O3上CO线性吸附可拟合为三个峰,分别位于2087 cm-1、2063 cm-1和2044 cm-1,分别归属为Pt表面α、β和γ位点。而Pt/α-Al2O3上仅观察到β和γ位点。由于Pt/α-Al2O3和Pt-TiO2/α-Al2O3中Pt纳米粒子具有相同的粒径和晶格结构,我们可以推断α位点源于Pt-TiO2相互作用。为了探索上述位点对LA吸附的作用,我们在原位LA表面吸附后再进行CO-DRIFTS(图4b, 4c)。可以看到,当Pt/α-Al2O3表面饱和吸附LA后,β位的CO吸附峰减小,而γ位的CO吸附峰保留。这表明,LA占据了部分β位点,而γ位点不能吸附LA。Pt-TiO2/α-Al2O3催化剂上吸附LA后,除β位点被占据峰强度降低外,α位点的CO吸收峰完全消失。因此,Pt-TiO2相互作用产生的Pt物种能促进 LA在催化剂表面的富集。此外XPS C1s结果检测到反应后Pt-TiO2/α-Al2O3上产生COOH物种,进一步证实LA在该催化剂表面的富集(图4d)。
我们在LA饱和吸附后进行CO-DRIFTS反应,并在150℃常压下在H2中进一步反应,以揭示LA在不同位点上的反应活性。对于Pt/α-Al2O3,由于LA和中间体的吸附,β位点峰面积降低,而γ位的数量没有变化。Pt-TiO2/α-Al2O3的β位点全部消失,γ位点数量略有降低。因此,Pt的α位点上吸附LA用于进一步加氢产生的中间体进一步吸附在Pt纳米颗粒的β位点,而γ位点对LA和加氢中间体吸附较弱。不同表面Pt位点的电子密度按α<β<γ 的顺序递增,界面上的Pt缺电子α位有利于LA的强吸附,而β位Pt是中间体吸附位点。

利用同位素实验研究了LA加氢反应机理。由于D2对LA加氢生成GVL几乎没有同位素效应(kH2/kD2≈1,图5a),因此氢气的活化不是LA水相加氢的限速步骤。用GC-MS对产物进行分析(图5d)。当D2为反应物时,GVL中未观察到D原子。也就是说,产物GVL中的H主要来自H2O溶剂。然后,将H2O替换为D2O,测试Pt/α-Al2O3和Pt-TiO2/α-Al2O3 LA加氢反应性能。有趣的是,当以D2O为溶剂,两种催化剂的催化活性都增强,观察到显著的H2O/D2O逆动力学同位素效应,其中Pt/α-Al2O3的KIE值为0.78(图5b),Pt-TiO2/α-Al2O3的KIE值为0.52(图5c)。因此,水间接参与了反应,在Pt-TiO2相互作用形成后,水的作用更为显著。

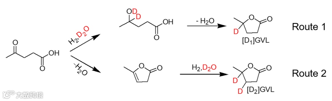
分析Pt/α-Al2O3(图5e)和Pt-TiO2/α-Al2O3(图5f)在D2O溶剂中的产物可进一步了解反应路径。产物GVL上没有D原子时,其m/z为100。[1D]-GVL(GVL上有一个D原子)m/z为101,是Pt/α-Al2O3为催化剂时的主要产物,[2D]-GVL(GVL上有两个D原子)m/z为102,是Pt-TiO2/α-Al2O3催化剂上的主要产物。这表明,Pt-TiO2相互作用形成后,水相LA加氢反应路线发生了改变。一般LA的加氢有两条路线(图6)。在路径1中,重水的D原子参与了LA的C=O键的加氢,进一步脱水环化生成[1D]-GVL。在路径2中,LA在酸性位点环化生成中间产物α-当归内酯,然后再加氢生成[2D]-GVL。由于Pt-TiO2/α-Al2O3上[2D]-GVL是主要产物,Pt-TiO2相互作用的存在使得LA加氢反应路线由路线1转变为路线2。

原位FTIR测量可进一步揭示表面反应机理。图7a为150℃条件下 Ar气氛下Pt/α-Al2O3、Pt-TiO2/α-Al2O3和TiO2/α-Al2O3吸附LA的原位FTIR谱图。LA的羰基特征峰位于1716 cm-1。1783 cm-1处的峰则是内酯的C=O键伸缩振动峰。注入LA水溶液到催化剂表面,α-Al2O3和Pt/α-Al2O3上只检测到LA的特征峰;与之不同,TiO2/α-Al2O3和Pt-TiO2/α-Al2O3上则检测到经LA环化产物中间体α-当归内酯在1783 cm-1处新的C=O伸缩振动峰。该结果与同位素实验结果一致,表明Pt-TiO2相互作用的形成改变了反应路径。我们还进行了水和LA吸附的对照实验,以揭示水在反应路径转换中的作用。当在TiO2/α-Al2O3上引入纯LA时,只观察到LA的峰;进一步注入水后可在1783 cm-1处发现生成了新的内酯吸收峰,且发现了TiO2(Ti-OH)上的孤立羟基在3516 cm-1处的振动峰。由此可见,水的存在导致催化剂表面产生新的Ti-OH物种,为LA直接环化提供酸性位点。此外,由于Pt-TiO2/α-Al2O3表面Ti-OH和内酯峰强度更高,Pt-TiO2相互作用增强了对水的吸附和Ti-OH的形成。

为了进一步证实内酯是中间体,我们进行了原位红外反应。当在α-Al2O3和TiO2/α-Al2O3吸附LA的样品表面引入10%H2/Ar时,红外光谱没有变化,说明两个样品是没有LA加氢活性的。相反,Pt-TiO2/α-Al2O3和Pt/α-Al2O3的红外光谱显示,当通入10%H2/Ar后,C=O振动峰强度逐步降低,这是因为发生了LA加氢反应(图7b)。与Pt/α-Al2O3相比,Pt-TiO2/α-Al2O3 的LA吸收峰降低更显著,表明其加氢效率更高。对于Pt/α-Al2O3, 通入H2后只消耗LA。而Pt-TiO2/α-Al2O3除消耗LA外,还消耗α-当归内酯和Ti-OH物种。因此,α-当归内酯是LA水相加氢的主要中间体,是Pt-TiO2相互作用的结果。Ti-OH物种在反应过程中是不断动态消耗和生成的。

总结与展望
综上所述,本工作通过直接排除Pt粒径、晶面结构、载体形态、孔结构和电子状态的影响,揭示了Pt-TiO2相互作用诱导LA水相加氢反应路径变化提升反应效率的新机制。研究表明,在水和氢的作用下,Pt-TiO2相互作用导致更多Ti-OH活性位点的生成,促进了LA的吸附和直接脱水环化成α-当归内酯中间体,中间体之后传递到Pt平面β位点并与活性氢反应生成产物γ-戊内酯。反应路径由常见的直接加氢再环化转变为直接环化再加氢过程。这一工作为水相加氢高效催化剂的设计和揭示金属催化剂水相中的表界面多位点协同机制提供了新思路。

参考文献
[1] Huber, G. W.; Cortright, R. D.; Dumesic, J. A., Renewable Alkanes by Aqueous-Phase Reforming of Biomass-Derived Oxygenates. Angew. Chem. Int. Ed. 116 (2004) 1575-1577. https://doi.org/10.1002/ange.200353050
[2] Zhang, B.; Chen, Y.; Li, J.; Pippel, E.; Yang, H.; Gao, Z.; Qin, Y., High Efficiency Cu-ZnO Hydrogenation Catalyst: The Tailoring of Cu-ZnO Interface Sites by Molecular Layer Deposition. ACS Catal. 5 (2015) 5567-5573. https://doi.org/10.1021/acscatal.5b01266
[3] van Deelen, T. W.; Hernández Mejía, C.; de Jong, K. P., Control of metal-support interactions in heterogeneous catalysts to enhance activity and selectivity. Nat. Catal.2 (2019) 955-970. https://doi.org/10.1038/s41929-019-0364-x
[4] Wu, H.; Zhang, B.; Liang, H.; Zhai, L.; Wang, G.; Qin, Y., Distance Effect of Ni-Pt Dual Sites for Active Hydrogen Transfer in Tandem Reaction. The Innovation 1 (2020) 100029. https://doi.org/10.1016/j.xinn.2020.100029

作者介绍
孟繁春,中国科学院山西煤炭化学研究所博士研究生,研究方向为多相催化。
张斌,中科院山西煤化所副研究员,中科院青年创新促进会化材分会会长,山西省化工协会理事。博士毕业于中科院山西煤化所。研究方向为原子层沉积技术、结构精准催化剂设计和精细化工。成果在Angew. Chem. Int. Ed.、The Innovation、ACS Catal.、J. Catal.等SCI期刊上发表论文50余篇,授权专利8件。入选中科院青年创新促进会优秀会员;获山西省自然科学一等奖。担任The Innovation青年编委。
覃勇,中科院山西煤炭化学研究所研究员、博士生导师,煤转化国家重点实验室副主任。1996年于重庆大学获得学士学位,2001年于青岛科技大学获得硕士学位,2005年于中国海洋大学获得博士学位,之后先后在德国锡根大学和马普学会微结构物理研究所博士后研究,2011年回国到山西煤炭化学研究所工作。入选中科院人才计划(终期结题优秀)、科技部“中青年科技创新领军人才”、国家百千万人才工程有突出贡献中青年专家、山西省学术技术带头人等,获批享受国务院政府特殊津贴。研究领域为多相催化、纳米催化、原子层沉积方法及应用等,近期主要从事纳米表界面催化化学研究。主持国家杰出青年科学基金、国家重点研发计划课题及子课题、国家基金重点和面上项目、壳牌公司项目等。已在Acc. Chem. Res.、Angew. Chem. Int. Ed.、Nature Commun、Adv. Mater.、The Innovation、Nano Lett.、ACS Catal.等期刊发表论文150余篇,他引6700余次;授权专利15件。获山西省自然科学一等奖、国防科学技术二等奖等。担任《催化学报》、《The Innovation》、《eScience》、《燃料化学学报》等期刊编委。

课题组介绍
原子层沉积技术课题组(903组)隶属于煤转化国家重点实验室,组长覃勇研究员,现有研究员2名,副研究员3名,临时聘用人员4名。在读博士生7名,在读硕士生7名。自 2011年10月建组以来,课题组瞄准纳米科学与技术发展前沿,以原子层沉积技术为主要手段,设计开发新型功能纳米材料,研究其在能源、催化、环境等领域的应用。
课题组网址:http://group903.sxicc.cas.cn/
本文仅供科研分享,不做盈利使用,如有侵权,请联系后台小编删除
欢迎关注我们,订阅更多最新消息
“邃瞳科学云”推出专业的自然科学直播服务啦!不仅直播团队专业,直播画面出色,而且传播渠道多,宣传效果佳。
“邃瞳科学云"平台正在收集、整理各类学术会议信息,欢迎学会、期刊、会议组织方择优在邃瞳平台上进行线上直播,希望藉此帮助广大科研人员跨越时空的限制,实现自由、畅通地交流互动。欢迎老师同学们提供会议信息(会有礼品赠送),学会、期刊、会议组织方商谈合作,均请联系翟女士:18612651915(微信同)。
投稿、荐稿、爆料:Editor@scisight.cn