

第一作者:Hemanth Somarajan Pillai
通讯作者:辛洪良、武刚、李毅
通讯单位:弗吉尼亚理工学院暨州立大学、纽约州立大学布法罗分校、江苏大学
DOI: 10.1038/s41467-023-36322-5
电化学氨氧化制N2作为面向能源与环境应用的高效策略,是实现可持续氮循环的关键技术。目前,Pt金属催化剂及其与Ir形成的双金属催化剂表现出良好的活性,但仍遭受高过电位的阻碍。在本文中,作者通过基于从头算数据训练的图形神经网络来设计筛选三元Pt合金纳米结构,同时预测出位点反应性、表面稳定性和催化剂合成性能。在机器学习预测筛选出的几个无Ir候选材料中,成功地合成出Pt3Ru-M (M: Fe, Co或Ni)合金催化剂,其表现出比Pt, Pt3Ir和Pt3Ru更优异的氨氧化催化性能。更重要的是,采用位点基序的机器学习过程所表现出的特征归因分析,可阐明金属表面化学键合的基础理解,以及提供在结合位点d带中心度量之外的高性能催化系统设计策略。
氨(NH3)是地球氮循环过程中必不可少的分子,已广泛应用于现代工业领域,包括医药、食品、农业至家用化学品的制造。此外,NH3在能源生产和存储技术中的应用也极具前景,因其易于液化和高体积能量密度等优势,可应对可再生能源的不稳定性问题。在该方面,设计面向直接氨燃料电池(DAFCs)阳极的高效氨氧化反应(AOR)催化剂,是实现从化石原料向可持续能源经济过渡的关键。铂(Pt)被认为是在碱性介质中NH3氧化为N2的最佳金属催化剂,尽管其存在着较高的过电位(0.5 V)。铱(Ir)表现出比Pt更低的起始电位,这归因于Ir与氮中间体之间更强的相互作用,但这也导致Ir在高电位下容易中毒。在Pt单晶电极上的实验研究表明,该反应对结构非常敏感,其中{100}-型位点为主要的活性中心。将Pt与Ir合金化可以有效降低缓慢脱氢步骤的起始电位,并允许氮中间体在合理温度下发生二聚过程。为提高大规模应用的工艺效率和经济可行性,科研人员已开发出几种富含高丰度元素的多金属Pt合金。然而,由于缺乏对电化学反应的详细动力学理解以及材料筛选的设计空间巨大,很难通过传统试错法开发出性能优异的AOR电催化剂。
从计算的角度来看,筛选具有所需特性的催化材料,是一个高度复杂的多维度优化过程。通过调节决速步的化学键断裂或形成步骤,催化领域在几十年来一直追求理论指导下的活性位点设计。由于固体表面化学键的本征复杂性,揭示控制多相催化剂有效性的潜在因素仍然是一项艰巨的任务。随着数据基础设施和软件框架的最新进展,机器学习(ML)已成为促进能源和环境技术中催化材料开发的一种颇具潜力的工具,例如H2O氧化、CO2还原、NO3-还原、H2析出和O2还原反应等。通过从头算数据学习,将位点基序的特征映射至其催化特性的ML模型中,可以在实验合成、表征和性能测试之前利用计算迭代以缩小候选催化剂的范围。然而,在催化领域部署纯数据驱动的ML方案,尤其是在深度学习算法中,所面临的一个严峻挑战是其较差的可解释性,使其无法从假设空间转化为真实的多级系统设计。

图1. (a)在0.3 V vs. RHE电位下,Pt(100)催化剂上NH3电化学氧化为N2的自由能。(b) NH3电氧化与{100}型位点上桥位N吸附能和空位N吸附能的火山型关系,图中标记着一些过渡金属、贵金属以及Pt3Ir。(c)利用微动力学模型构建复杂反应网络中关键中间体的吸附构型,其中Pt为浅灰色,N为蓝色,O为红色,H为白色。

图2. (a)暴露{100}晶面的三金属Pt纳米催化剂的巨大设计空间。(b)机器学习工作流促进催化剂开发过程示意图。(c-f)图形神经网络10倍最终模型用于预测位点反应性、表面稳定性和催化剂合成性描述符。(g) 0.3 V vs. RHE电位下的AOR活性图,表明预测出具有前景的三元Pt合金电催化剂。

图3. (a) Pt3Ru1/2Co1/2三元合金的合成过程示意图。(b-d) Pt3Ru1/2Co1/2的HAADF-STEM图,以及Pt, Ru和Co相应的EDS元素映射图。所制备出电催化剂的(e) XRD衍射和(f) XPS谱。

图4. (a)在Ar饱和的1.0 M KOH + 0.1 M NH3体系中,Pt, Pt3Ir, Pt3Ru和Pt3Ru1/2Co1/2纳米立方通过循环伏安测试出的电催化性能。(b) Pt, Pt3Ir, Pt3Ru和Pt3Ru1/2Co1/2纳米立方在0.55 V vs. RHE电位下的NH3电氧化短期稳定性。(c) Pt, Pt3Ir, Pt3Ru和Pt3Ru1/2Co1/2纳米立方的比活性比较。(d)在Ar饱和的1.0 M KOH + 0.1 M NH3体系中,Pt3Ru1/2Co1/2纳米立方在25, 40, 60和80 °C不同温度下的循环伏安曲线。

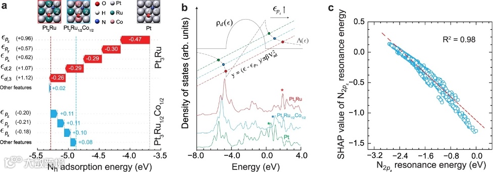
图5. (a)在Pt3Ru(100)相对Pt(100)和Pt3Ru1/2Co1/2(100)相对Pt3Ru(100)上Nh吸附的局部解释。(b)吸附质共振态与金属d态相互作用的Newns-Anderson模型示意图。(c) Nh吸附TinNet模型的全局SHAP分析表明机器学习的吸附质共振能与吸附能贡献(即SHAP值)之间具有强相关性。
本文构建出一种可实验验证与可解释性设计的无Ir三金属电催化剂,其具有{100}型位点,在电催化氨氧化反应中表现出优异的性能。尽管高性能电催化剂的筛选是一项艰巨的任务,但该研究基于从头算数据训练的图形神经网络,可通过同时预测位点反应性、表面稳定性和催化剂合成性以显著加速电催化剂筛选过程。实验测试表明,Pt3Ru–M (M: Co, Ni或Fe)合金纳米立方比目前的Pt及其双金属合金电催化剂具有更高的活性,同时保持相对优异的稳定性。更重要的是,通过深度学习中的理论集成所实现的模型解释,揭示出一个重要的物理因素,即前沿轨道的吸附共振能。此外,在控制d带金属合金表面的反应性方面,提供了在结合位点d带中心度量之外的高性能催化系统设计策略。
【文献来源】
Hemanth Somarajan Pillai, Yi Li, Shih-Han Wang, Noushin Omidvar, Qingmin Mu, Luke E. K. Achenie, Frank Abild-Pedersen, Juan Yang, Gang Wu, Hongliang Xin. Interpretable design of Ir-free trimetallic electrocatalysts for ammonia oxidation with graph neural networks. Nat. Commun. 2023. DOI: 10.1038/s41467-023-36322-5.
文献链接:https://doi.org/10.1038/s41467-023-36322-5
声明
“邃瞳科学云”直播服务
扫描二维码下载
邃瞳科学云APP

