

第一作者:Xianhui Wang, Chunlei Pei, Zhi-Jian Zhao
通讯作者:巩金龙
通讯单位:天津大学
论文DOI:https://doi.org/10.1038/s41467-023-37818-w
氧化还原催化剂在化学循环氧化脱氢过程中具有极其重要的作用,并有望用于丙烯生产。这项工作报道了表面酸催化和晶格氧的选择性氧化在 MoO3-Fe2O3 氧化还原催化剂上的耦合,以促进丙烯生产。在 γ-Fe2O3 上,原子级分散的 Mo 物种引入了高效的酸位点,可以促进丙烷转化。此外,Mo还可以调节晶格氧活性,使得氧物种(来自于γ-Fe2O3还原为Fe3O4)有助于选择性氧化脱氢,而不是原始γ-Fe2O3的过氧化。增强的表面酸度与适当的晶格氧活性相结合,实现了更高的表面反应速率和适度的氧扩散速率。因此,在至少 300 次氧化还原循环中,这种偶联策略实现了 49% 的丙烷转化率和 90% 的丙烯选择性。该工作提供了一种更先进氧化还原催化剂的设计策略。
丙烯是化学工业中的重要组成部分。由于蒸汽裂解和流化催化裂化 (FCC) 工艺生产的丙烯供需缺口越来越大,丙烯生产引起了广泛关注。非氧化丙烷脱氢 (PDH) 工业主要基于 Pt 和 Cr 的催化剂。但是,丙烷转化受限于热力学平衡限制。相反,使用空气、氧气、N2O 或 CO2 等不同氧化剂进行氧化脱氢 (ODH),可促进丙烯的生产。从热力学的角度来看,氧化剂通过强烈的放热反应消耗氢气,从而使热力学平衡向丙烯产物移动。但是,丙烯的选择性有待进一步提高,而O2等氧化剂的参与有潜在的爆炸危险。相比之下,化学循环氧化脱氢 (CL-ODH) 是应对这些难题的有效策略。通常,CL-ODH 工艺由脱氢和再生反应器组成。在脱氢反应器中,金属氧化物(被定义为氧化还原催化剂)会被丙烷还原。随后,在再生反应器中,还原的氧化还原催化剂在空气流下被再次氧化。最近,研究人员报道了用于 CL-ODH 的 Mo-V-O 混合氧化物。双功能 Mo-V-O 使用化学链技术在 500°C 下实现了优异的丙烯产率(6.9 mol C3H6/kg-cat/h)和 89% 的丙烯选择性。除了 Mo-V-O 之外,化学循环还通过使用碱金属促进的 Mn 基、钙钛矿和 NiO 基氧化还原催化剂,提高了乙烯的产量,乙烯选择性超过 90%。不同氧物种的活性对氧化反应有重大影响。尽管如此,氧化钒的挥发性和毒性以及钙钛矿的有限氧容量,仍然限制了该领域的发展。
具有高氧容量的、经济且环保的 Fe2O3,被视为工业应用的理想候选者。迄今为止,Fe2O3 在化学循环过程中得到了广泛的研究。但是,由于其在烷烃脱氢反应中的催化性能有限,目前很少有报道说明 Fe2O3 上的 CL-ODH 过程。此外,Fe2O3 在没有促进剂的情况下容易过度氧化。 MoO3 被广泛研究用于烷烃脱氢。 MoO3 的引入可能是“嫁接”丙烷活化额外活性位点的有效策略。此外,掺杂高价金属阳离子 (Mo6+) 是缓和晶格氧活性的有效策略。因此,Mo 掺杂剂似乎可以促进丙烷活化,并同时调节氧活性。例如,研究人员为乙烷 CL-ODH 制备了 Fe2O3@MoO3 氧化物。表面富MoOx层提高了乙烯选择性。然而, Fe2(MoO4)3 的形成使得乙烷转化率下降。将 MoO3 的烷烃活化能力和 Fe2O3 的氧化能力结合起来,有望用于丙烷的化学链氧化脱氢。

图 1. 催化性能和稳定性测试。 (a) 第四分钟时,不同氧化还原催化剂上的产物分布;FeAl + MoAl 代表 MoAl 和 FeAl 的物理混合物。 1Mo9FeAl 与报道的 (b) Fe 基催化剂和 (c) ODH 催化剂的催化性能比较。 (d) 1Mo9FeAl 在丙烷化学链氧化脱氢中的氧化还原稳定性。

图 2. MoO3-Fe2O3 氧化还原催化剂的形貌和结构特性。 (a) 1Mo9FeAl 的 AC-HAADF-STEM 图。 (b) 1Mo9FeAl、Mo 箔、MoO2 和 MoO3 的 Mo K-edge EXAFS 光谱图。所制备的氧化还原催化剂的 XRD 图 (c) 和拉曼光谱图 (d)。 I、II、III、IV 和 V 分别代表 FeAl、1Mo15FeAl、1Mo12FeAl、1Mo9FeAl 和 1Mo6FeAl。

图 3. MoO3-Fe2O3 氧化还原催化剂的 XPS 测试。所制备的氧化还原催化剂的 (a) Fe 2p,(b) Mo 3d XPS 光谱图。I、II、III、IV 和 V 分别代表 FeAl、1Mo15FeAl、1Mo12FeAl、1Mo9FeAl 和 1Mo6FeAl。

图 4. 表面酸性质的改变,及其对丙烷活化的促进作用。 (a) Al2O3、FeAl、1Mo9FeAl 和 MoAl 的 NH3-TPD 曲线。 (b) Al2O3、FeAl、1Mo9FeAl、MoAl 和 MoO3 的 NH3-DRIFTS 光谱图。 (c) C3H8-D2-TPSR 期间,FeAl、1Mo9FeAl 和 MoAl 上的 C3H7D 信号。

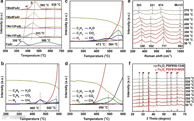
图 5. MoO3-Fe2O3 氧化还原催化剂的过度活性晶格氧物种的调控。 (a) 在 Ar 和 10vol% H2 的混合物中(30mL/min),不同氧化还原催化剂的 H2-TPR 曲线;以 10°C/min 的速率从 200°C 升温至 700°C。 (b) FeAl、(c) 1Mo9FeAl、(d) MoAl 的 C3H8-TPR 质谱图。1Mo9FeAl的 (e) 原位拉曼光谱图和 (f) 原位 XRD 图;在不同温度下,在含15vol% C3H8的 He 气流中 (20mL/min)。

图 6. 在 MoO3-Fe2O3 氧化还原催化剂上的C3H8脉冲。在 C3H8 脉冲期间,在 a FeAl、b 1Mo9FeAl 和 c MoAl 上的质谱图;在 570°C 下,每个脉冲时,将 0.5mL C3H8 注入反应器。
总的来说,作者设计了一种高效的 MoO3-Fe2O3 氧化还原催化剂用于丙烷的化学链氧化脱氢。 1Mo9FeAl 在至少 300 个循环中表现出优异的性能,丙烷转化率为 49%,丙烯选择性为 90%。在 1Mo9FeAl 氧化还原催化剂中,表面富集的、原子级分散的 Mo 阳离子引入了额外的酸位点 (Mo-OH),促进了丙烷转化。同时,Mo 阳离子有效地调节了晶格氧活性和向外扩散速率,使原始的过度活性氧物种可用于选择性氧化脱氢。作者在单独掺杂 Mo 后,增加了表面酸性位点,增强了晶格氧改性,耦合了表面酸催化和选择性氧化,使得丙烯产量显著提高。本研究证明了表面酸度和晶格氧对化学链过程中选择性脱氢的影响。
声明
“邃瞳科学云”直播服务
扫描二维码下载
邃瞳科学云APP

