
第一作者:Xianghong Li
通讯作者:巩金龙,王拓
通讯单位:天津大学
论文DOI:https://doi.org/10.1002/anie.202301901
利用太阳能实现二氧化碳加氢制甲醇是缓解温室效应的一种环保途径。然而,传统的CO2加氢需要集中工业化生产,并依赖于电解水来提供大量的氢气,导致成本较高。为了在分布式应用场景下实现小规模、间歇性和波动氢气流的连续反应,必须对催化剂界面环境和化学吸附能力进行调节,以适应波动的反应条件。本文描述了一种分布式清洁二氧化碳利用系统,通过精确控制催化剂的表面结构来实现。研究表明, In2O3上负载不饱和电子的Ni催化剂可以降低H2的解离能,从而克服间歇性H2供应的缓慢响应,并且比原始氧化物催化剂(42 min)具有更快的响应(12 min)。此外,Ni的引入增强了催化剂对氢气的敏感性,使得Ni/In2O3催化剂在较低的H2浓度下表现出良好的性能,其对氢气波动范围的适应性是In2O3的15倍,并显著降低了氢气供应不稳定的负面影响。
化石燃料的过度消耗导致大气中CO2浓度不断增加,进而导致全球变暖。为了缓解温室效应,人们对CO2的利用进行了广泛的研究,其中催化剂促进CO2加氢反应成为重要研究领域。在过去二十年里,研究人员提供了大量关于清洁CO2利用的重要报道。然而,目前仍存在大型示范设施在成本与效率之间难以平衡的问题。实际上,小型系统在灵活应用方面具有显著优势。然而,关于可持续能源氢化二氧化碳的小型系统的报道仍相对较少。适合小型系统的清洁能源不仅可以实现灵活的操作,还可以提高整体能源利用效率。在可持续能源利用的方式中,太阳能驱动的过程受到了广泛关注。与传统太阳能利用需要庞大的储能设施或电网不同,即时利用太阳能具有更大的发展前景。在这种应用场景中,利用太阳能发电进行水分解制氢是一种可行的方法。然而,太阳能的间歇性和波动性使其难以保证稳定的氢气供应。在大型系统中,可以通过构建恒定氢气流量的氢气存储设施来缓解这一问题。然而,氢气储存的额外成本可能限制分布式小型装置的应用。因此,研究人员需要付出巨大的努力来寻找适合分布式小型系统即时供应氢气的方法。
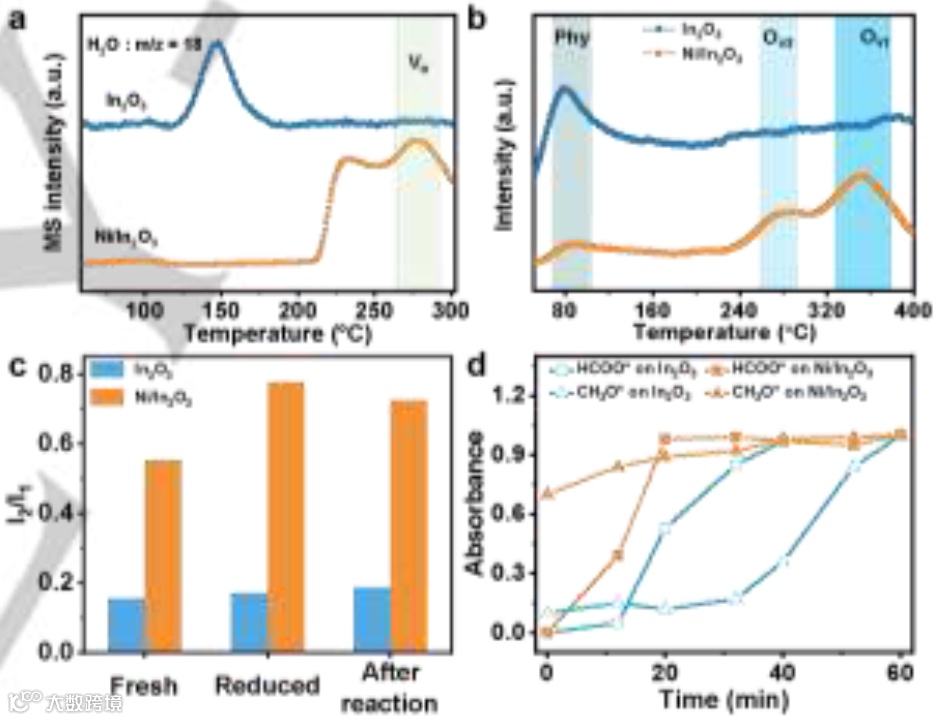
CO2作为碳的最高氧化态,具有高热力学稳定性,其生成焓为396 kJ/mol。在稳定的氢气供应下,CO2加氢制甲醇已被广泛报道。然而,太阳能的间歇性会导致太阳能产生的氢气供应不稳定,这需要催化剂具有较快的响应时间,以确保加氢反应能够适应波动的H2流量。同时,波动的H2流量也会导致产物分布发生较大变化。因此,具有高选择性的催化剂可以减少副产物的的生成,这在小规模分布式系统发展中的至关重要。对于CO2加氢制甲醇而言,In2O3因其高产物选择性而被广泛研究。通常,由于其外电子层饱和,氧化物催化剂被认为在H2离解中不是有效的电子供体,这导致CO2加氢反应动力学缓慢。相比之下,金属Pd、Ru、Co和Pt由于最外层存在不饱和电子,具有更好的H2解离性能。然而,In2O3容易过度还原为In0,这会影响催化剂的相结构和氧空位(Vo)含量,从而导致催化剂失活。因此,在金属氧化物催化剂中,揭示Vo存在下的H2解离机制是一个巨大的挑战。




总的来说,这项工作构建了一个小型二氧化碳加氢系统,以适应太阳能产生的氢气的间歇性和波动性供应,并用于分布式应用。在该系统中,使用PEM 电解器提供不同流速的清洁氢气。通过在In2O3中引入Ni,成功降低了H2解离能,从而在不稳定的H2供应下加速反应。Ni的引入将反应的响应时间从42 min缩短至12 min,并将9 h内H2波动的适应范围增加了15倍,这使得系统能够适应太阳能的间歇性。此外,研究还发现催化剂的Vo含量与对间歇性和波动的氢气供应的适应性直接相关。具体而言,通过原位 DIRFTS 技术深入阐释了 Ni 在减少 HCOO* 和 CH3O*形成时间方面的作用,这对于太阳能催化剂的适应性至关重要。这项工作建立了一个小规模的甲醇生产系统,并为其他催化能源转换系统缓解太阳能波动性带来的问题提供了可行的解决方案。
声明
“邃瞳科学云”直播服务
扫描二维码下载
邃瞳科学云APP

