
第一作者:Shiyang Liu, Quentin Meyer
通讯作者:赵川
通讯单位:澳大利亚新南威尔士大学
论文DOI:https://doi.org/10.1039/D3EE01166F
开发用于质子交换膜燃料电池(PEMFC)的无铂催化剂对于氢能经济至关重要。尽管铁-氮-碳 (Fe-N-C) 催化剂是目前最有前途的非 Pt 替代品,但由于同时发生多种降解机制,其在 PEMFC 中的稳定性较差。本研究采用先进的电化学方法(例如弛豫时间分布),在1 A cm-2下对 PEMFC 中的这些机制进行了60 h的解析。这使得铁脱金属和碳腐蚀发生的时间能够被确定,并通过观察三相边界的退化揭示了一条复杂的降解途径。首先,高达 75% 的 Fe-N-C 活性位点通过铁脱金属而失活,这最初会导致电压损失(< 10 h)。然后,催化剂层中碳腐蚀物质增加了五倍,质子传输动力学减少了四倍,从而延长了到达催化位点的气体、离子和电子路径,并使氧还原反应 (ORR) 速率降低了三倍,成为主要的降解机制。这些机理是通过循环伏安法和弛豫时间分布组合分析获得的。总而言之,该研究为这种降解机制提供了前所未有的见解,同时提出了表征不稳定电催化剂的原位标准。
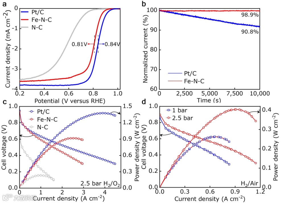
质子交换膜燃料电池(PEMFC)是一种通过电化学方式将氢和氧转化为电能的清洁能源转换装置,被认为是未来广泛应用的重要能源基础之一。然而,氧还原反应(ORR)的动力学缓慢且严重依赖于昂贵且稀缺的铂族金属(PGM)。因此,开发低成本的不含 PGM 的催化剂对于未来广泛应用的 PEMFC 和电解槽至关重要。在研究的 PEMFC 催化剂中,铁-氮-碳(Fe-N-C)因其具有大的比表面积和优异的催化活性,被视为PGM的替代催化剂。最近,在H2/O2 PEMFC 中,Fe-N-C取得了创纪录的性能 (1.18 – 1.33 W cm–2),可与 PGM 催化剂媲美 (1.3 – 2 W cm–2)。
然而,阴极使用 Fe-N-C 催化剂的 PEMFC 的性能会迅速衰退。例如,上述催化剂在运行 50 h后,其性能仅保留了初始性能的20%(甚至更低)。虽然 ORR 会导致 FeNx 位点的脱金属和碳基体的腐蚀,但是PEMFCs 中迅速发生的性能衰减表明存在更复杂的器件级现象,例如三元边界的退化。目前,使用 Fe-N-C 催化剂的 PEMFC 的降解途径仍不清楚,稳定性通常报告为单一指标(电压或电流随时间衰减),且缺乏深入的电化学原位分析。虽然通过原位57Fe 穆斯堡尔光谱和原位 X 射线吸收光谱在阐明催化剂的物理降解途径方面已经取得了进展,但由于 PEMFC 内结构和性能之间的复杂关系,将这些物理发现与电化学性能关联起来仍然具有挑战性。最重要的是,由于设计这些原位实验存在困难,这些方法对于更广泛的边界研究来说很难使用。






总的来说,本文揭示了质子交换膜燃料电池中 Fe-N-C 催化剂的快速降解现象,特别是催化剂层劣化的影响。部分Fe脱金属和碳腐蚀不仅导致了75%的活性位点损失,还通过严重抑制催化剂层中的电子和质子传输,降低了剩余活性位点的性能。特别是稳定性测试后,催化剂层中的质子传输动力学减慢了四倍。实际上,除了铁脱金属和碳腐蚀会导致性能损失,不可逆的离聚物脱水、质子传输速率降低(由 Fe3+ 整体离聚物污染引起)、70% 电极塌陷以及 ORR 速率降低 3 倍,都是决定因素。此外,在剩余催化位点处无法形成功能良好的三相边界,进一步降低了阴极催化剂层的效率。最后,本研究建立了在实际装置稳定性测试中表征不含铂族金属催化剂的电化学标准。膜电极组件的后处理物理表征与原位电化学研究相结合,为降解机制及其对性能的影响提供了重要的见解,为质子交换膜燃料电池中不含铂族金属的催化剂的重大性能改进铺平了道路。
声明
“邃瞳科学云”直播服务
扫描二维码下载
邃瞳科学云APP

