
第一作者:王思源
通讯作者:江海龙教授、焦龙教授
通讯单位:中国科学技术大学
DOI: 10.1002/adma.202302512
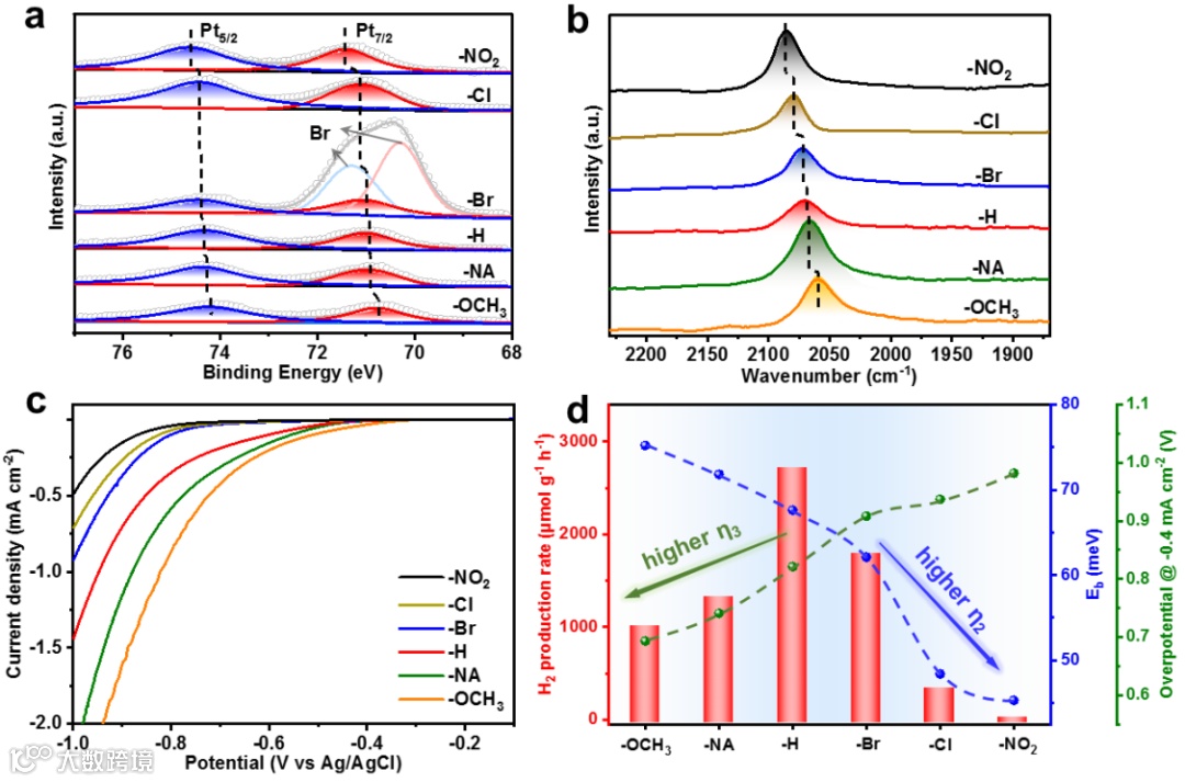
催化位点周围的微环境在热催化领域中发挥着至关重要的作用,但其在光催化领域的作用尚不清楚。在本文中,作者合理构建了一系列具有三明治结构的金属-有机框架(MOF)复合材料,即UiO-66-NH2@Pt@UiO-66-X (X代表官能团),并将其应用于可见光催化制H2反应。通过改变UiO-66-X壳的-X基团,可以同时调节Pt位点和光敏UiO-66-NH2核的微环境。测试表明,具有相同光吸收和Pt负载量的MOF复合材料表现出明显不同的光催化H2产率,其性能顺序为-H > -Br > -NA(萘) > -OCH3 > -Cl > -NO2。其中,UiO-66-NH2@Pt@UiO-66-H催化剂显示出高达2708.2 μmol g−1 h−1的卓越H2产率,为UiO-66-NH2@Pt@UiO-66-NO2催化剂的222倍。进一步的机理研究表明,-X基团的变化可以平衡UiO-66-NH2核的电荷分离和Pt的质子还原能力,从而赋予UiO-66-NH2@Pt@UiO-66-H催化剂的优化活性。
太阳能光催化制氢被认为是解决全球能源危机的可行性方案之一,而开发设计高性能的光催化剂被认为是该领域最关键的问题之一。在各种催化剂体系中,得益于催化位点与其周围微环境之间的协同作用,天然酶在温和条件下对许多具有挑战性的反应表现出超高的催化效率。受酶催化的启发,在催化位点周围构筑合适的微环境对于增强多相催化的性能至关重要,这一点在热催化领域已得到证实。然而,与热催化相比,光催化反应通常会经历更加复杂的相互纠缠过程(光激发、电荷分离和表面反应),这给通过微环境调节以优化光催化性能带来了诸多挑战。为应对这一挑战,构建一个合适的材料平台具有重要意义,该平台上光敏剂与催化单元周围的局部微环境可以以原子级精度进行调节,从而增强光催化性能。
金属-有机框架(MOFs)是一类由金属节点与有机配体形成的多孔晶体材料,已在多相催化领域受到广泛关注。特别地,由于具有原子级精确结构、可改变的孔环境以及类半导体行为,MOFs在光催化领域显示出巨大的应用潜力。此外,MOFs中定义明确且易于设计的组分与结构,也极大地促进原子尺度上精确的微环境调控。同时,MOFs中的高孔隙率使得催化金属中心无论位于骨架上还是孔空间中都能够发挥良好的催化作用。近年来,科研人员已成功合成出一些具有新型结构的MOF复合材料,如三明治状、核壳和蛋黄壳结构等,并报道其在催化领域的复杂功能。因此,MOFs有望成为研究微环境调节在光催化中重要作用的高效模型。在众多MOFs材料中,UiO-66型MOFs具有优异的结构可设计性与稳定性,因此被广泛应用于光催化领域,并有望成为一种极具前景的微环境调节平台。




总的来说,本文采用外延生长策略成功开发出一系列三明治结构MOF@Pt@MOF复合材料,即UiO-66-NH2@Pt@UiO-66-X (X = -H, -Br, -NA, -OCH3, -Cl, -NO2),其具有相似的结构、壳层厚度、光吸收能力和Pt负载量,并将其应用于光催化制H2反应。研究发现,通过改变-X基团而不干扰其它结构参数,UiO-X壳层可以有效调节UiO-66-NH2@Pt@UiO-66-X中Pt助催化剂和UiO-66-NH2光敏剂的微环境。测试表明,UiO-66-NH2@Pt@UiO-66-H催化剂表现出高达2708.2 μmol g−1 h−1的优异H2产率,分别为UiO-66-NH2@Pt@UiO-66-NO2和UiO-66-NH2@Pt@UiO-66-OCH3催化剂的222和2.7倍。机理分析表明,壳层MOF中-X基团的给电子能力过强会阻碍UiO-66-NH2核中的电荷分离性能,而吸电子能力过强则会抑制Pt上的质子还原性能,因此制H2活性与-X基团的吸电子/给电子能力之间存在着非线性相关性。上述研究表明,壳层MOF对微环境具有强大的调节能力。因此,配体具有适当吸电子/给电子能力的UiO-66-NH2@Pt@UiO-66-H催化剂可以平衡电荷分离和Pt质子还原能力,从而显示出优化的催化性能。该研究为高效光催化剂的设计提供了一个新原理,并通过调控微环境实现光催化过程中电荷分离与反应效率的双重调节。
Siyuan Wang, Zhiwen Ai, Xinwei Niu, Weijie Yang, Rong Kang, Zhongyuan Lin, Amir Waseem, Long Jiao, Hai-Long Jiang. Linker Engineering of Sandwich-Structured Metal-Organic Framework Composites for Optimized Photocatalytic H2 Production. Adv. Mater. 2023. DOI: 10.1002/adma.202302512.
文献链接:https://doi.org/10.1002/adma.202302512
声明
“邃瞳科学云”直播服务
扫描二维码下载
邃瞳科学云APP

