
第一作者:覃海港
通讯作者:顾均
通讯单位:南方科技大学
论文DOI:10.1038/s41467-023-41396-2
在酸性电解液中进行CO2电化学还原有助于提高CO2的利用率,而碱金属阳离子能够抑制析氢并促进CO2还原。然而,碱金属阳离子在CO2还原过程中易形成碳酸盐沉积物。在本研究中,我们通过在催化剂表面修饰一层阳离子型聚电解质(交联型聚二烯丙基二甲基氯化铵),在无碱金属酸性电解液中成功实现了CO2电化学还原。该聚电解质层具有高密度的阳离子基团,并固定在催化剂表面,起到抑制析氢和调控催化剂表面电场的作用。通过采用此策略,在0.1 M H2SO4中实现了在Ag催化剂上95±3%的CO法拉效率,以及In催化剂上76±3%的甲酸法拉第效率。此外,在无碱金属酸性电解液中液泛的质量仅为含碱金属阳离子酸性电解液的2.5±0.6%,并且经过36 h 的CO2还原后,Ag催化剂上的CO法拉第效率仍能维持在80%以上。
CO2的电化学还原技术具有广泛的应用前景,可以利用可再生能源将CO2转化为高附加值的化工原料。然而,在碱性和中性电解液中进行CO2还原时,CO2利用率不高且容易在阴极表面形成碳酸盐沉积物,这些问题阻碍了CO2还原的工业应用。为了解决上述问题,近年来酸性电解液中的CO2还原得到了发展。在酸性电解液中,碱金属阳离子起到抑制析氢和促进CO2还原的关键作用。然而,酸性电解液中碱金属阳离子导致了碳酸盐沉积(图1a)和pH变化(图1b)的问题。研究人员对于酸性电解液中阳离子效应的作用机制给出了不同的解释,包括电极界面处的碱金属阳离子对H+传质的影响、对界面电场的调控及其与CO2吸附中间体的短程作用。上述效应均来自阴极表面附近的碱金属阳离子(如图1c所示)。因此,本文提出在催化剂表面固定阳离子聚电解质的思路(如图1d所示),以达到和碱金属阳离子相似的效果。

图1. CO2还原过程中阳离子的作用机制。
1)无碱金属阳离子酸性电解液中的CO2还原

图2. 0.1 M H2SO4和0.1 M H2SO4+0.4 M K2SO4中CO2电化学还原性能对比。
我们研究了不同电流密度下cPDDA修饰催化剂的CO2还原性能。如图3a所示,cPDDA@Ag在100 mA cm-2下具有最高的CO法拉第效率(95±3%),电极电势为-1.57±0.04 V vs SHE。而cPDDA@In进行CO2还原时主要产物为甲酸,在200 mA cm-2电流密度下甲酸法拉第效率达到最大值(76±3%),其电极电势为-1.84±0.08 V vs SHE。

图3. cPDDA@Ag(左)和cPDDA@In(右)在0.1 M H2SO4中的CO2还原性能。
2)聚电解质层的作用机制研究

图4. 聚电解质层对Ag微电极HER性能的影响。
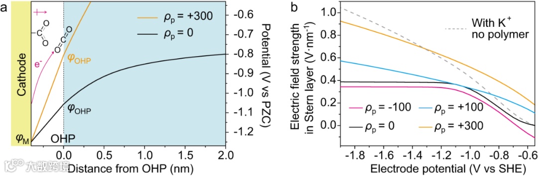
通过GMPNP模拟,对聚电解质层抑制H+传质的作用机制进行了解释。如图5a所示,通过在聚合物层设置不同的电荷密度(ρp)来研究不同聚合物涂层对H+传质的影响。如图5b所示,模拟结果表明,随着ρp增大,H+的电迁移速率减小,这与微电极实验结果一致。如图5c所示,电势曲线在电解液/阳离子聚合物界面发生突跃,ρp越高,溶液/聚合物界面的势垒越高,这是由道南效应引起的。此外,ρp能够改变电极局部环境的pH值。如图5d所示,OHP处的pH值随着ρp的增大而增大,当ρp等于+300 C cm-3且在电势小于-1.2 V时,OHP处的pH值大于溶液体相的pH值。考虑到实际的CO2过程会产生OH-,因此实际的pH值更大。

图5. GMPNP模拟结果,聚合物层对H+传质的影响。
聚电解质层不仅能够抑制H+的传质过程,还能调控Stern层内的电场强度。有文献指出,在CO2向CO的转化过程中,CO2的单电子转移反应(CO2 + e-→ CO2·-)被认为是决速步骤。如图6a所示,阴极和OHP间的电势差是电荷转移的驱动力,同时Stern层内的电场能够与吸附物种*CO2的吸附偶极相互作用,从而稳定吸附中间体。无论是哪一种机制,高电荷密度的聚电解质层都更有利于CO2还原的进行。如图6b所示,随着电极电势的负移,ρp为0或-100 C cm-3的聚合物Stern层内的电场强度达到某一固定值之后不再增长,而对于ρp为+100 C cm-3和+300 C cm-3的聚合物,Stern层内的电场强度随电势负移而单调增大。当ρp达到+300 C cm-3时,产生的电场强度将与含K+的酸性溶液中的电场强度相当。

图6. GMPNP模拟结果,聚合物层对电极界面电场的影响
本研究通过在催化剂表面修饰高电荷密度的交联聚合物cPDDA,成功实现了在无碱金属酸性电解液中的CO2电化学还原,cPDDA@Ag和cPDDA@In在纯酸中CO2还原的主要产物分别是CO和甲酸。微电极测试结合GMPNP模拟结果表明,阳离子聚电解质层起到抑制H+传质和增强界面电场的作用。在无碱金属阳离子酸性电解液中进行CO2还原可以维持电解液pH不变,同时改善电极液泛的问题。
Qin, HG., Du, YF., Bai, YY.et al. Surface-immobilized cross-linked cationic polyelectrolyte enables CO2 reduction with metal cation-free acidic electrolyte. Nat Commun 14, 5640 (2023). https://doi.org/10.1038/s41467-023-41396-2
顾均:2016年于北京大学获得无机化学专业博士学位,师从张亚文教授和严纯华院士。2016年至2021年在瑞士洛桑联邦理工学院( Ecole polytechnique fédérale de Lausanne, EPFL)从事博士后研究,合作导师为Xile Hu(胡喜乐)教授,研究方向为非贵金属催化的二氧化碳电化学还原。2021年3月加入南方科技大学化学系,副教授,博士生导师,课题组长。在Science, Nat. Catal., Nat. Commun., J. Am. Chem. Soc., Angew. Chem. Int. Ed.等期刊发表多篇论文。
声明
“邃瞳科学云”直播服务
扫描二维码下载
邃瞳科学云APP

