
第一作者:周维
通讯作者:何清
通讯单位:湖南大学化学化工学院、化学生物传感与计量学国家重点实验室
论文DOI:10.1038/s41467-023-41056-5
近日,湖南大学何清课题组基于超蕃分子笼首次报道了一类新概念非多孔非晶态(“双非”)超吸附材料。这类材料不仅对碘蒸气具有优异的捕获能力,而且可以通过静态或动态吸附的方式将模拟废液中的I2或I3―高效分离出来。该“双非”超吸附材料对水溶液中碘的最大吸附量以及废液中痕量碘的清除能力和选择性超越了目前所有多孔吸附材料,同时具有良好的可回收性和重复利用性。这项研究工作为发展先进功能吸附材料开辟了一条新途径。
核能是一柄“双刃剑”,它为人类社会的发展和进步提供了清洁的能源,但同时也带来了一些负面问题,例如高放射性核废料的处理。其中,由239Pu和235U裂变的产物碘(129I 和 131I,前者具有超长的半衰期约1.6 × 107 年,后者半衰期为8天)通常以I2和I3―的形式存在于核电站的烟囱气或核废水中,对人类的健康和环境造成了严重影响。因此,从气态或者水介质中选择性清除碘具有重要意义。在过去的十年中,已经开发了大量用于碘吸附的材料,包括多孔非晶态材料和多孔晶态材料(COF、MOF、COP和POP,图1)。目前,大多数吸附材料对气态碘表现出优异的吸附性能,但对水媒介中的碘往往表现出很差的吸附能力。然而,面对极端复杂的真实体系,大多数已知的碘吸附材料仍然无法满足需求。近日,湖南大学何清课题组基于超蕃功能分子体系开发了一类新型非多孔非晶态超吸附材料(NAS),其对水溶液中的碘静态最大吸附量能达到9.01 g g―1,动态最大吸附量可达到5.79 g g―1。同时,该类超吸附材料能够高效、高选择性地清除水溶液中微量或痕量的碘,且该材料能够实现多次回收和再利用,表明其在核废液无公害化处理方面具有潜在的应用价值。

图1. 4种类型吸附剂。
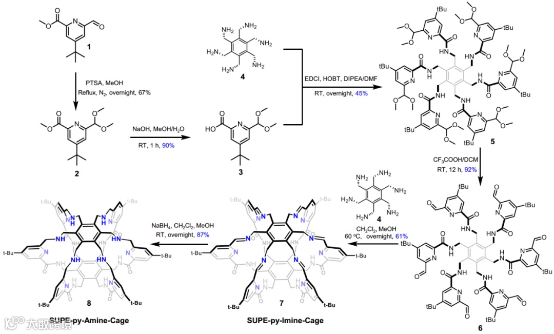
超蕃是一种通过六条侧臂连接两个平行苯环所构成的独特分子结构,具有准封闭的内腔及超多结合位点,在气体储存、采矿和废水中有害成分清除等方面具有潜在的应用价值。作者设计了亚胺型超蕃(SUPE-py-Imine-Cage)和二级胺型超蕃(SUPE-py-Amine-Cage)两个结构,其合成以化合物1为初始原料通过5步或6步反应即可实现(图2)。两个超蕃的结构分别通过核磁、高分辨和X射线单晶衍射分析进行了表征。

图2. 超蕃分子笼的合成步骤。
接下来,作者用两类分子笼粉末直接进行了氮气吸脱附实验,结果显示其表面积 (SBET) 分别为 7.5 m2 g―1(SUPE-py-Imine-Cage)和 13.2 m2 g―1(SUPE-py-Amine-Cage),这表明制备的两种超蕃粉末是非多孔分子材料(图3e)。粉末 X 射线衍射 (PXRD) 结果显示,两种分子笼是非晶态固体粉末(图3f)。因此,作者将该类超蕃定义为非多孔非晶态分子材料。由于两类超蕃均含有多达18个氮原子,因此作者认为他们可能对碘具有很好的吸附性能。首先,作者进行了碘蒸汽吸附实验,将所制备的两种 NAS材料暴露在 348 K 的碘蒸气下,36 h内观察到两种NAS的颜色从浅黄色变为深黑色(图 3a),并且颜色随着时间的推移而加深。其中,SUPE-py-Imine-Cage约在14 h碘吸附达到饱和(6.02 g g―1),而SUPE-py-Amine-Cage吸附碘蒸气的饱和时间约为7 h(4.63 g g―1)(图 3b),吸附量均超过活性炭(AC)(2.25 g g―1)。通过扫描电子显微镜(SEM)观察发现,两类NAS都是形状和尺寸不规则的无定形颗粒。而在碘吸附后,其不规则颗粒的形态基本保持不变,但更加蓬松。结合能量色散X射线光谱 (EDS)进一步确定了NAS中碘的均匀分布(图3c)。综上所述,两种超蕃分子笼能够作为一种高效的碘蒸气吸附剂,其性能与大多数已知的用于吸收气态碘的优异多孔吸附剂相当。

图3.“双非”超吸附剂的表征及其对碘蒸气的吸附。
考虑到两种NAS材料对气态碘的优异吸附性能,作者进一步对其水介质中碘的吸附行为进行了研究。结果表明,在具有很宽pH范围(pH=3-14)水溶液中,其对I2和I3―均具有良好的吸附性能(SUPE-py-Imine-Cage 的去除率>98 %,而SUPE–py–Amine–Cage约为100 %,图 4b)。与此形成鲜明对比的是,在相同吸附条件下,AC的碘去除率仅约为60 %。在吸附量吸附研究中发现,饱和的碘水溶液从一开始的深棕色逐渐变为无色,48 h后达到吸附平衡,其中SUPE-py-Imine-Cage对I2和I3―的吸附量分别达到了7.40和7.91 g g―1(图4a和c)。随后,为了更加贴合实际应用场景,模拟了含竞争性阴离子(Cl―、Br―、NO3―和SO42―)的I2和I3―的核废水,采用两种NAS进行了竞争吸附实验。结果表明,在不同pH值下,即使竞争阴离子和I2或者I3―的摩尔比达到100:1,对碘的清除率仍可接近100%。吸附量实验表明,竞争性阴离子浓度越大,NAS对 I2 或者I3―的吸附量也逐渐增加。在100:1的摩尔比下,其对碘的最大吸附量达到了9.01 g g―1,刷新了水溶液中碘的最大吸附量记录(I3―,图4e和f)。而相同条件下,AC对碘的最大吸附量仅为2.83 g g―1。接下来,作者对痕量I3―(低至 5.0 ppm)的吸附进行了研究。结果表明,即使存在1000倍摩尔当量的竞争阴离子条件下,两种NAS对碘的吸附性能也未受到显著影响(清除率均大于98.5%,碘浓度可从5 ppm降至11 ppb,图4d)。总的来说,这两种NAS材料对水溶液中的碘表现出优异的吸附能力和选择性,已经超过了文献中报导的所有多孔材料,包括MOF、COF、POC和POP。

图4. 水介质中的静态碘吸附。
基于静态吸附的优异性能,接下来作者尝试采用两种NAS作为固定相对水介质中的碘进行动态吸附实验。结果显示,在宽的pH值范围内(pH=3-14)以及大量的竞争性阴离子存在情况下,SUPE–py–Imine–Cage 和SUPE–py-Amine-Cage对碘的去除率分别达到了100%和92 %。其对I2和I3―的最大吸附量分别达到了3.5 g g―1和5.79 g g―1(图5)。痕量动态吸附实验(低至 5.0 ppm)结果表明,两种NAS材料对于痕量I3―也具有优异的清除性能(图5d)。

图5. NAS 材料动态吸附结果和回收再利用表征。
基于NAS材料优异的吸附性能,作者提出了一种“吹气球”机理。当除去超蕃空腔内、外的客体小分子后(溶剂分子,图6a、b和c),由于超蕃六条侧臂具有较强的柔顺性,此时超蕃处于坍塌状态,表现出非多孔、非晶态的特点。然而,在超蕃与碘接触后,碘客体分子被超蕃分子笼捕获进入其内部空腔,导致超蕃分子笼被“撑起”处于膨胀状态。超蕃的“膨胀”进一步诱导了分子笼间出现空隙,从而进一步通过超蕃和碘之间的弱相互作用以及I-I之间的相互作用吸附和稳定更多的碘,使得材料具备很大的吸附量。这个过程类似于吹气球的过程:吹气球之前,一堆气球都处于瘪的状态,气球内外几乎不充气。但气球逐个被吹胀之后,气球内填充了气体使其体积膨胀,气球与气球之间也出现了大量空隙也可以填充空气。该模型得到了IR、PXRD、XPS和X射线单晶衍射分析数据以及DTF和MD计算结果的支撑(图6)。

图6. NAS 材料的碘吸附机理研究。
总之,本研究工作基于超蕃功能分子体系提出了一类新概念非多孔非晶态(“双非”)超吸附材料。该材料对气态和水介质中的碘均具有极佳的吸附性能,其对水相中碘的最大静态吸附量和最大动态吸附量分别达到了9.01和5.79 g g―1,均刷新了现有多孔材料对碘的最大吸附量纪录。此外,该类“双非”材料不仅能够有效清除模拟核废液中痕量的碘,而且具有良好的可回收再利用性,具有重要的应用前景。该研究工作为开发先进超吸附材料用于环境污染物净化、稀贵金属高效开采回收以及核废液无公害化处理等开辟了一条新道路。
周维,目前在湖南大学化学化工学院攻读博士学位。研究重点是开发先进的基于超蕃分子笼的分子功能材料,并且用于特定环境污染物和稀有贵金属等的选择性清除与回收,以第一作者身份在Nature Communications和Cell Reports Physical Science上发表3篇论文。

何清,湖南大学教授、博士生导师、国家高层次人才青年项目入选者、湖湘高层次人才聚集工程-创新人才,主持国家自然科学基金青年项目、面上项目等课题。主要研究方向为有机超分子化学,包括超分子非共价相互作用力、功能超分子主体的构筑与应用、先进超分子材料。独立开展研究工作之后,开辟了一类全新的超分子主体即超蕃分子笼;基于超蕃功能分子体系,构筑了首个阴离子分子监狱系统、发现了一种二氧化碳捕集-释放新机制、提出了一类非多孔非晶态超级吸附材料(NAS),为发展靶向超分子药物递送系统、先进空气二氧化碳捕获转化系统及超高性能分离材料奠定了基础。在Chem. Rev., Chem. Soc. Rev., Acc. Chem. Res., J. Am. Chem. Soc., Chem,Angew. Chem. Int. Ed.和Nat. Commun.等国内外知名期刊上发表SCI收录论文50篇,担任国际知名期刊《四面体》(Tetrahedron)和《四面体快报》(Tetrahedron Letters)青年编委,《Tetrahedron Chem》客座编辑。
课题组网站:https://www.x-mol.com/groups/he_qing
本文仅用于学术分享,不做盈利使用,如有侵权,请联系后台小编删除
欢迎关注我们,订阅更多最新消息
“邃瞳科学云”推出专业的自然科学直播服务啦!不仅直播团队专业,直播画面出色,而且传播渠道多,宣传效果佳。
“邃瞳科学云"平台正在收集、整理各类学术会议信息,欢迎学会、期刊、会议组织方择优在邃瞳平台上进行线上直播,希望藉此帮助广大科研人员跨越时空的限制,实现自由、畅通地交流互动。欢迎老师同学们提供会议信息(会有礼品赠送),学会、期刊、会议组织方商谈合作,均请联系陈女士:18612651915(微信同)。
投稿、荐稿、爆料:Editor@scisight.cn