
第一作者:刘切,杜石谦,刘天阳
通讯作者:陶李,王双印
通讯单位:湖南大学
论文DOI:10.1002/anie.202315157
链接:https://onlinelibrary.wiley.com/doi/10.1002/anie.202315157
甲醇蒸汽重整(MSR)为氢的高效生产和安全运输提供了一种可选择的方法,但其条件苛刻,净化过程复杂。在这项工作中,通过将电催化反应和MSR反应耦合到聚合物电解质膜电解反应器中,开发了一种高效的电化学辅助MSR反应,用于在较低温度(~140°C)下生产纯H2。通过电化学辅助,加速了甲醇脱氢和水气转换反应两个关键步骤,这是由于施加电位降低了甲醇脱氢能垒,促进了H2O解离成OH*。此外,氢的氧化还原过程降低了H2分压,进一步促进了MSR的发生。这些优点的结合不仅有效降低了MSR反应温度,而且在180℃、0.4 V的低电压条件下,实现了505 mmol H2 g Pt-1 h-1的高产氢率,H2选择性高达99%,与传统MSR反应相比,氢气产率提高了约30倍。本研究为设计新型电解制氢电池开辟了一条新途径。
文末附电催化热电耦合方向博士后招聘信息。
氢作为下一代能源已吸引了越来越多的研究兴趣,然而,氢气生产和运输的高成本严重制约了其更广泛的应用。甲醇具有体积能量密度大、H/C摩尔比高、可再生等特点,因此被认为是一种有前景的氢载体,实现了原位制氢/低成本利用的可能性。开发高效的甲醇制氢反应对缓解能源危机和环境问题具有重要意义。传统的甲醇制氢方法主要有甲醇分解、甲醇蒸汽重整(MSR)、甲醇部分氧化、甲醇自热蒸汽重整等,其中MSR是最常用的方法,主要包括甲醇分解和水气转换反应。在MSR过程中,甲醇脱氢反应和H2O解离反应对于重整至关重要。MSR是一种吸热反应,通常需要250~350 ℃的反应温度才能获得较高的H2产率和所需的H2 / CO2摩尔比。然而,系统中高的热量限制了催化剂的活性,同时导致了副产物(CO、CH4)的产率增加,这将增加净化流程的成本并阻碍下游应用。近年来提出了一种新方法——甲醇辅助水电解(MAWE),通过甲醇氧化反应(MOR)代替析氧反应(OER)来制取H2,从而降低阳极电位并提高电解制氢效率。然而,由于MOR动力学缓慢和溶液体系产率低,通过MAWE实现稳定制氢仍然面临巨大挑战。在前期的研究工作中,团队成功地将热催化与电催化相结合构筑了集成式热催化-电催化中温耦合体系(PNAS, 2023, 120 (27), e2300625120),在MSR中引入电催化反应也将有助于反应的进行。
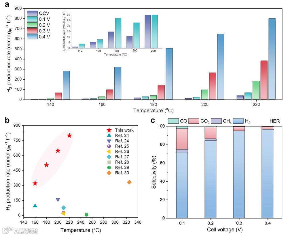
4. 在180 °C和0.4 V条件下,产氢率达到505 mmol H2 g Pt-1 h-1,相较于不施加电压的情况下的产氢率(热催)(15 mmol H2 g Pt-1 h-1),提高了33倍。
由于Pt/C在MOR和MSR中的广泛应用,在这项工作中选择Pt/C作为模型催化剂。如图1a所示,在阳极中,甲醇首先热脱氢转化为CO和H2,然后CO和H2被氧化为CO2和质子。阴极发生析氢反应(HER)。来自阳极的质子通过质子交换膜(PEM)穿梭到阴极被还原成氢气,从而在阴极得到纯化的氢气。氢气在阳极和阴极的发生的氧化还原反应在电解槽中充当电化学氢泵,可以立即将氢气从MSR反应区移除。首先,用LSV曲线来描述不同温度下的电化学性能(图1b)。正如预期的那样,随着温度的升高,电解的极化曲线呈现出更高的电流密度。在全氟磺酸膜电解槽中,MOR在80 ℃时的起始电位约为0.6 V,随着温度升高至180 ℃和220 ℃,起始电位分别降至0.45 V和0.3 V。图1c比较了在电流密度为150 mA cm -2时,不同温度下电池电压的变化。MAWE在80 °C时的性能与文献报道一致,当温度升高到180 °C时,输出相同电流密度所需的电势从0.807 V降低到0.515 V,这归因于温度升高促进了电催化过程。

图1:原理图及电化学性能。
采用程序升温表面反应(TPSR)对MSR的反应过程进行了研究。在Pt/C催化剂上进行16 M CH3OH- TPSR测试,在137 ~ 250 ℃的温度范围内,H2的TCD信号表明Pt/C催化的MSR初始温度约为137 ℃。在不同温度和电池电压下,对H2生成速率进行了评估(图2a)。在开路电压(OCV)下,MSR的性能受温度影响,在阳极处检测到所有产物,如H2、CH4、CO和CO2(图S5)。如图S6所示,随着温度的升高,阳极H2产率明显加快。产氢率的显著增加可归因于MSR反应动力学的提高。
与160 °C @ OCV条件下的产氢性能相比,0.2 V条件下的产氢率从6 mmol H2 g Pt-1 h-1提高到26mmol H2 gPt-1 h-1,如图2a所示,提高了5倍。如图S7和S8所示,由于得到的氢气大部分在阳极被氧化成质子,阳极的H2产率与阴极相比可以忽略不计。在0.4 V和180 °C条件下,产生的H2为505 mmol H2 g Pt-1 h-1,与在OCV条件下(15 mmol H2 g Pt-1 h-1)相比提高了30倍左右。此外,相应的电流数据也随着施加电压和温度的增加而增强(图S9)。综上,电化学辅助MSR可以大大降低制氢所需的温度(图2b)。此外,从阳极穿梭至阴极的甲醇在Pt催化剂上发生电还原生成CH4,这降低了HER的效率和H2的纯度(图S10)。为了解决这个问题,由于钯碳具有出色的HER活性和惰性甲醇还原活性,选择它作为阴极催化剂(图S11- S13)。在180 °C @ 0.4 V条件下,Pd/ C作为阴极催化剂时副产物CH4的选择性仅为0.3%(图2c)。另一方面,从阳极扩散至阴极的微量CO2可以通过碱溶液除去,因此进一步提高了H2的纯度,H2的选择性从53%(180 °C @ OCV)提高到99%(图S14)。如图S15所示,在180 ℃、0.4 V电压下进行的恒电位测试显示,用于制氢的EMSR系统具有优异的稳定性。EMSR制氢不仅优于热催化MSR制氢性能,而且显著降低了反应温度,提高了氢纯度。

图2:产氢性能。
为了阐明电化学辅助在EMSR体系中的促进机理,对阳极产物进行了进一步的分析。温度升高有利于CO、CO2和CH4等阳极产物的生成(图S5和图S16)。此外,在阳极未检测到其他产物,如HCHO和HCOOH(图S17)。如图3a所示,在140-180 ℃范围内,施加电位对CO产率的影响不明显。有趣的是,当温度升高到200-220 ℃时,CO产率显著提高。由于CO主要由CH3OH脱氢反应生成,这是一个吸热反应,因此温度的升高促进了该反应的进行,从而促进了CO和H2的生成。此外,随着温度的升高,CO在Pt表面的吸附强度减弱,使得CO更容易从催化剂表面解吸,减轻了对Pt的毒性作用,从而促进甲醇的脱氢。此外,氢气在阳极被外加电位氧化,使阳极H2分压降低,化学平衡向正向移动。
如图3b所示,在0.1 ~0.4 V的施加电位下,CO2产量显著增加,表明温度升高和电化学同时促进了CO2的生成。对水气转换反应进行了评价,证实了电化学在不同温度下促进了CO向CO2的转化(图S18)。同时,为了探究MSR反应中产物的动态变化过程,进行了16 M CH3OH- TPSR分析(图3c),结果表明甲醇在113 ℃时从Pt表面解吸,在119 ℃时产生CO2。由于Pt表面仅吸附少量的CH3OH和H2O,所以TPSR实验中CO峰的强度很低。该结果表明,通过MSR反应产生的主要产物是CO2和H2,同时也检测到少量的HCOOH、HCHO和CH4(图S19)。由以上分析及实验证明了升高的温度和电化学对EMSR体系中甲醇和H2O反应生成CO2和CO的协同效应(图3d)。在电位和温度的共同作用下,阳极产物可控生成CO或CO2。与低温放热的MAWE相比,该系统在140-220 ℃时热管理简化,耗电量减少。此外,与传统的MSR反应相比,可以获得更高附加值的产品,如CO。

图3:阳极产物分析。
为进一步研究其促进作用,进行了理论计算。甲醇和水作为氢源,升高的温度和外加的电池电压促进了H2的生成。然而,热量和电势分别促进了CO和CO2的生成(图S20)。如图4a所示,CH3OH分子在热的驱动和外加电位的促进下被吸附分解为CO*和H*,释放出H2分子(图S21- S25)。在外加电位条件下,H2O被有效解离成OH*和H*,然后在Pt(111)上与CO*中间体进行重整,生成CO2和额外的H2(图S26- S28)。最后,生成的CO2和H2分子从催化剂表面释放出来。研究发现在U=0 V时,CH3OH分解成CH3O*,甲氧基进一步脱氢受到热力学阻碍,能势分别为0.38 eV和0.74 eV (图4b)。值得注意的是,在外加电位作用下,CH3OH以低至0.005 eV的势垒被有效活化成CH3O*,有利于甲氧基进一步脱氢。DFT计算证实,在450 K的温度下,CH3OH在Pt(111)上活化成CO*是热力学有利的。然而,在低温下无法进行H2O解离(有效势垒为0.83 eV)(图4c)。当U=0.6 V时,势垒降低到0.05 eV,在此步骤中,H2O的解离是由电位决定的。吸附后的CO*在Pt(111)上与羟基自发转化为COOH*,然后分解生成CO2。它与实验中由电压驱动的二氧化碳产量增加相匹配。在EMSR体系中,电催化和热催化的结合促进了CH3O *的生成和H2O的活化,促进了CH3OH在较低温度下的转化。

综上所述,电化学辅助甲醇蒸汽重整工艺通过电催化与热催化耦合实现了高效析氢反应。温度和电化学的升高促进了该体系中甲醇的分解和WGS的反应。CH3OH和H2O在外加电池电压下被有效活化,有利于在较低温度(140 ℃)下实现CH3OH的转化。在180 °C @ 0.4 V条件下,产氢量为505 mmol H2 g Pt-1 h-1,比开路电压条件下的15 mmol H2 g Pt-1 h-1提高了33倍。考虑到醇类原料丰富,以及低能量投入和高效制氢的优势,本研究提出了一种新的、有前途的生产高纯度氢气的平台。该热电催化体系可通过降低反应障碍,扩展到甲烷催化中的碳氢键断裂、烯烃和炔的加氢生产高附加值产品。
2. Yujie Wu, Xiaorong Zhu, Shiqian Du, Gen Huang, Bo Zhou, Yuxuan Lu, Yafei Li, San Ping Jiang, Li Tao*, and Shuangyin Wang*, Promoted hydrogen and acetaldehyde production from alcohol dehydrogenation enabled by electrochemical hydrogen pumps, PNAS, 2023, 120 (27), e2300625120
王双印,湖南大学二级教授,博士生导师。国家杰出青年基金获得者、国家重点研发计划首席科学家、基金委原创探索计划项目负责人,全球高被引科学家(化学、材料)。开辟了“电催化剂缺陷化学”方向,揭示了电催化剂缺陷动态演变、电荷与活性之间的关联;开发了有机电催化转化新反应,揭示了其表界面催化机制;发展了热电耦合催化新体系。共发表高水平论文300余篇,论文他引40000余次,曾入选ESI高被引论文的有70余篇,H指数为110。获湖南省自然科学奖一等奖、教育部青年科学奖(第一完成人,全国仅10人) 、中国青年科技奖、湖南青年五四奖章、中国侨界贡献一等奖、宝钢优秀教师奖、青山科技奖等。
陶李,湖南大学岳麓学者,湖湘青年英才入选者。主要从事热电耦合催化的研究工作:通过模型电极表面电荷分析,揭示催化剂缺陷-电荷-催化活性间的关联,阐明了缺陷作用机制;系统研究高温催化体系催化剂抗毒化机制,开发了高温质子交换膜燃料电池抗燃料饥饿膜电极和高性能催化剂;发展了集成式热催化-电催化中温耦合体系,揭示了热电耦合催化机制。以通讯或第一作者在Nat. Catal.、PNAS、Angew. Chem.等期刊上发表论文30余篇,他引10000余次,H指数46,多次入选科睿唯安全球高被引科学家。
招聘要求:
本招聘信息长期有效。
声明
“邃瞳科学云”直播服务
扫描二维码下载
邃瞳科学云APP

