
第一作者:Yizhen Lu
通讯作者:曹阳,宫勇吉
DOI:https://doi.org/10.1038/s41467-023-42696-3
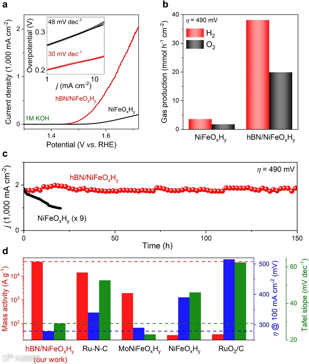
开发具有优化界面质量和电荷传输特性的高效(共)催化剂,对于通过电化学水分解增强析氧反应(OER)至关重要。在本研究中,曹阳教授团队报道了单原子厚的六方氮化硼(hBN)作为一种高效的助催化剂,用于提高OER 效率。各种电催化电极均采用了致密且不渗透的厘米级六方氮化硼薄膜封装,因此只有六方氮化硼表面直接暴露于活性物质。例如,hBN覆盖的Ni-Fe(氧)氢氧化物阳极表现出~30 mV dec−1的超低塔菲尔斜率,反应电流提高了约10倍,达到~2000 mA cm−2(过电势为~490 mV),可以稳定工作超过150 小时。研究发现,六方氮化硼助催化剂的质量活性比商业化催化剂高出五个数量级。同位素实验和模拟表明,这归因于绝缘助催化剂上含氧中间体的吸附,其中局域电子促进了电极上的去质子化过程。由于其最终厚度,六方氮化硼薄膜封装几乎没有观察到电子传输阻抗。因此,该工作还提供了对电极第一原子层界面反应机制的见解。
水电解是将电能转化为化学燃料的可持续策略,但其效率被认为受到阳极析氧反应(OER)的限制。这是因为电极和电解质界面处的 4 电子转移过程。其中,每个电子的转移都涉及多步质子电子交换,这通常会导致 OER 动力学缓慢。此外,研究人员还发现多种含氧中间体(例如 OH*、O* 和 OOH*)被引入界面吸附/解吸过程,这进一步复杂化了 OER 反应的机理理解。为了提高 OER 性能,研究人员投入了大量精力来开发含有电子局部活性位点的电催化剂,以促进/优化活性物质的吸附。此类电催化剂通常具有缺陷位点(包括边缘位点、原子台阶和掺杂位点),或由杂原子组成以提供对物质的化学亲和力。然而,缺陷位点通常含有活性悬空键,可能会影响催化剂的稳定性。此外,局域电子通常与通过催化剂本体到电化学电路的电子传输受阻有关。电导率和活性之间的权衡促使人们寻找具有最佳特性的新型催化材料。另一种可能的途径是在催化电极上组装助催化剂,以形成异质结构并改善界面处的质量和能量传递过程。最新的进展是使用分子级配体作为助催化剂,以进一步缩短电子和质子从电解质到电极传输的距离。然而,助催化剂的稳定性通常受到其与电极接触的影响,并且其覆盖范围预计会减少电极的有效活化面积。
近年来,原子级薄的二维 (2D) 材料被视为可能的候选材料。当集成在反应物和电化学电极之间时,二维材料由于其原子级厚度而缩短了电子传输路径,从而降低了电子传输的阻抗。此外,2D 材料能够通过范德华相互作用与其他零维 (0D)、一维 (1D)、2D 和三维 (3D) 催化电极形成异质结构。这种相互作用没有悬空键,可以有效调节界面特性。这极大地扩展了根据需求创建功能界面的可能性。尽管如此,进一步提高二维材料及其异质结构的 OER 性能需要更好地理解潜在机制。先前的实验研究大多基于厚度和横向尺寸分布不均匀的二维纳米片,这使得界面处的质量和电荷转移的定量分析变得复杂。



总的来说,本研究引入单原子厚的六方氮化硼薄膜作为 OER 反应的高效助催化剂。尽管六方氮化硼是绝缘体,但由于其厚度为一个原子层,六方氮化硼对电子传输几乎没有表现出阻抗。助催化剂对含氧中间体的强烈吸附促进了去质子化过程并增强了电极的界面活性。因此,hBN 助催化剂可提供高达 2000 mA cm−2 的增强 OER 电流,质量活性比其他催化剂高几个数量级。令人惊讶的是,改变电极表面的第一个原子层可以将效率提高 10 倍以上。该研究进一步证明六方氮化硼封装是提高各种电极 OER 性能的通用策略。这些电极包括金属(羟基)氢氧化物、金属和碳,OER 电流增强高达约 20 倍,并具体取决于电极上 OH* 物质的吸附能。在实际应用中,使用六方氮化硼助催化剂的未来优化方向可能是开发大规模六方氮化硼合成方法和自主转移技术,以提高重现性和效率。开发湿化学法等各种合成方法也可能降低六方氮化硼薄膜的成本,从而促进其应用。结果还表明,如果与其他纳米材料结合形成异质结构,二维材料的惰性基面可以具有催化活性。基于对异质结构中氧物质吸附和电子传输路径作用的机制理解,这项工作可以指导合理设计具有最佳性能的基于二维材料的非贵金属催化剂。
声明
“邃瞳科学云”直播服务
扫描二维码下载
邃瞳科学云APP

