
1) Bose-Einstein statistics (波色-爱因斯坦统计)
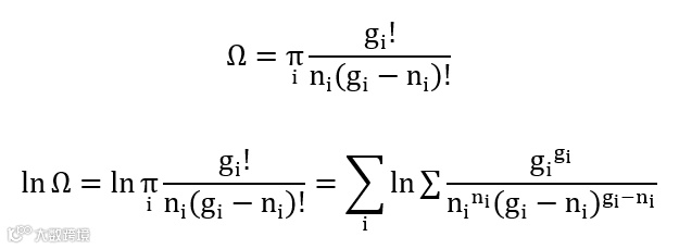
粒子不可分辨,每个态上粒子数不受限制,第i个能级上的状态数

总的微观状态数i种状态数联乘

当粒子数很大时
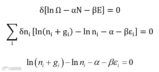
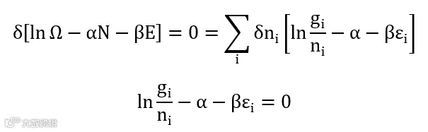
拉格朗日乘子法,在约束条件下使Ω分布最大化,其变分为零

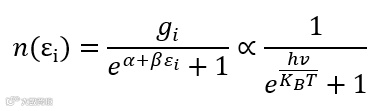
因此,能量为εi的第i个能级的微观状态分布函数为

令

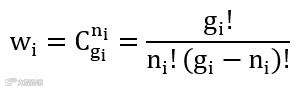
2) Fermi-Dirac statistics (费米-狄拉克统计)
把ni粒子分配到gi态上,粒子不可分辨且一个态只能存在一个粒子(Pauli不相容),第i个能级上的状态数

总的微观状态数

同样适用拉格朗日乘子法

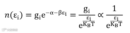
因此,能量为εi的第i个能级的微观状态分布函数为

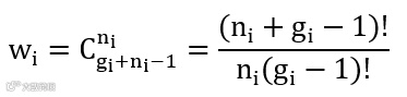
3) Boltzman-Maxwell statistics(玻尔兹曼-麦克斯韦统计)
把ni粒子分配到gi态上,粒子在每个态上数目不受限制且粒子是可分辨态,第i个能级上的状态数

N个粒子,当不同粒子交换后存在不同微观状态,同一个能级ni粒子,粒子交换不改变分布,因此有因子
,总的微观状态数

同样利用拉格朗日乘子法

因此,能量为εi的第i个能级的微观状态分布函数为

由此可见经典系统不一定比量子简单,很多时候我们之所以对量子系统或者量子力学的理解不够深刻,源于我们对经典物理的一知半解。
上面的分析太数学了,下面举一个具体的例子进行说明。
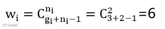
某一物理系统中第i个能级中存在3个态(gi=3), 有2个粒子(ni=2)需要分配到这三个态上,看一下第i能级最终状态数wi
微观状态
|
g1
|
g2
|
g3
|
粒子分布情况枚举
|
AA
|
||
AA
|
|||
AA
|
|||
A
|
A
|
||
A
|
A
|
||
A
|
A
|

微观状态
|
g1
|
g2
|
g3
|
粒子分布情况枚举
|
A
|
A
|
|
A
|
A
|
||
A
|
A
|

微观状态
|
g1
|
g2
|
g3
|
粒子分布情况枚举
|
AB
|
||
AB
|
|||
AB
|
|||
A
|
B
|
||
B
|
A
|
||
A
|
B
|
||
B
|
A
|
||
A
|
B
|
||
B
|
A
|

留给朋友们一个问题,为何这些统计模型都是指数函数?玻尔兹曼统计与玻色统计和费米统计之间内在联系是什么?
声明
“邃瞳科学云”直播服务
扫描二维码下载
邃瞳科学云APP

