波恩的遗憾

的形式

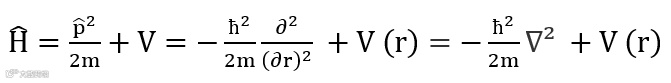
表示如下




,并通过
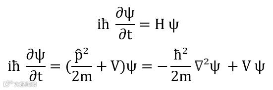
将能量和时间的对易写成恒等式,确定了哈密度算符的形式
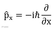
。却没有认识到时间和能量与位置和动量对易关系的完全等价性,没有进一步确定动量算符形式
,波恩回忆道:“我永远不会原谅自己,因为如果我们这样做了就会在薛定谔之前几个月从矩阵力学得到整个波动力学”。

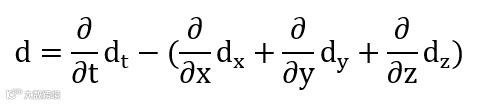
!!!通过与相对论时空联系也能很容易的理解为何能量算符和动量算符总是有个负号的差别。这是一种巧合吗?
声明
“邃瞳科学云”直播服务
扫描二维码下载
邃瞳科学云APP

