
第一作者:胡琪副教授, 亓帅博士研究生
通讯作者:何传新 教授
通讯单位:深圳大学
论文DOI:10.1021/jacs.3c06904
钴基尖晶石氧化物(即Co3O4)已成为硝酸根电还原(NO3−RR)制氨的高效催化材料之一,但钴基尖晶石真正的活性位点不明。在这个工作中,我们发现Co3O4的NO3−RR活性高度依赖于Co位点的几何位置,并且NO3−RR倾向于发生在八面体Co (CoOh)而不是四面体Co (CoTd)位点上。此外,在NO3−RR过程中,CoOhO6随着O空位(Ov)的形成而电化学转化为CoOhO5。实验和理论结果均表明,原位生成的CoOhO5−Ov结构是NO3−RR的真正活性位点。为了进一步提高CoOh位点的活性,我们用不同含量的Cu2+阳离子取代惰性CoTd,并观察到CoOh的NO3−RR活性与电子结构之间呈现出“火山型”相关性。令人印象深刻的是,在1.0 M KOH+ 0.1 M NO3−中,优化了CoOh位点的(Cu0.6Co0.4)Co2O4,在−0.45 V vs. RHE时,产NH3的最高法拉第效率为96.5%,产NH3速率高达1.09 mmol h−1cm−2,优于大多数非贵金属基电催化剂。
NH3是一种用途广泛的工业化合物,被认为是现代农业和工业的基础。目前,工业NH3的生产主要通过Haber – Bosch方法完成,年产量约为1.5 - 2亿吨。虽然该方法是一种高度优化和高效的NH3合成法,但它需要苛刻的反应条件(即高压和高温)。目前,电化学氮(N2)还原反应(NRR)产生NH3提供了另一种途径。然而,N2的低溶解度和N≡N键的极高键强度(941 kJ mol−1)极大地限制了NH3的生成速率,通常比Haber - Bosch途径要小2 - 3个数量级。考虑到NO3−的高溶解度和NO的低键能(204 kJ mol−1), NO3−RR的NH3生成速率较NRR显著提高。此外,随着含氮肥料和化学品的过度使用,地表水和地下水中NO3−的浓度不断增加,对人类健康构成了极大的威胁。在这方面,NO3−RR还可以帮助关闭NO3−氮循环,从而解决NO3−的环境污染问题。不幸的是,NO3−RR涉及复杂的8电子转移,反应动力学缓慢,同时产生各种副产物,如NO2−、N2、N2H4和H2 等。因此,为了提高NO3−RR,同时抑制副产物的产生,迫切需要开发高效的电催化剂。
近年来,Co3O4 因成本低、性能优良已成为NO3−RR中研究热门的电催化剂。Co3O4是一种典型的AB2O4尖晶石氧化物,包含一个四面体配位的Co2+ (CoTd)位点和两个八面体配位的Co3+ (CoOh)位点。总的来说,Co3O4的电催化活性高度依赖于Co的特定几何位置。例如,Co3O4在析氧反应(OER)中的活性主要来源于Co2+Td位点,而Co3+Oh是5-羟甲基糠醛(HMF)氧化的主要活性位点。尖晶石氧化物的金属组成具有很强的可调性,大多数+2价和+3价的金属元素可以分别被引入尖晶石氧化物的A位和B位。因此,Co尖晶石的电子构型和价态可以通过用其他过渡金属取代特定的Co位来很好地调整,因此,合理设计二元和三元的Co基尖晶石通常比Co3O4具有显著增强的电催化性能。在此,为了显著提高Co3O4基电催化剂的NO3−RR活性,我们应该首先确定Co3O4的几何位置依赖的NO3−RR活性;然后,用其他过渡金属取代特定的Co位,进一步合理调整Co3O4的电子构型和价态。
在这个工作中,我们首次尝试通过合成和比较Co3O4、MgCo2O4和CoAl2O4的NO3−RR活性来建立几何位置-活性关系(MgCo2O4和CoAl2O4分别暴露出Co3+Oh和Co2+Td位点),并受上述见解的启发,将具有优异NO3−催化活性的Cu2+引入Co3O4中,以优化无活性的Co2+Td位点,从而显著增强NO3−RR。
图1. Co基尖晶石的物理结构表征(XRD, XPS)和NO3−RR性能研究:Co3O4、MgCo2O4和CoAl2O4通过溶胶-凝胶步骤和随后在空气中高温煅烧获得。三种样品的XRD图均显示出一组相同的峰,对应于立方尖晶石结构,表明成功合成了结构相同但Co几何位置不同的尖晶石。在三个样品的Co 2p光谱中都观察到Co 2p1/2和Co 2p3/2的两个明显的峰,这是由Co 2p的自旋-轨道重态引起的。Co3O4的Co 2p3/2宽峰可以适用于Co2+(781.3 eV)和Co3+ (779.8 eV)。与Co3O4同时含有Co2+和Co3+相比,MgCo2O4和CoAl2O4的表面分别以Co3+和Co2+为主。如图1c所示,Co3O4的O 1s峰位于529.8 eV,而MgCo2O4和CoAl2O4的O 1s峰分别位于结合能较大和较小的位置,这可以归因于CoOh与O阴离子之间的相互作用比CoTd更强。研究了Co3O4、MgCo2O4和CoAl2O4在1.0 M KOH和0.1 M NO3−室温条件下的NO3−RR性能。LSV曲线显示,NO3−RR活性的顺序为Co3O4≈ MgCo2O4 > CoAl2O4。例如,在−0.6 V vs RHE电位下,Co3O4的电流密度略大于MgCo2O4,但明显大于CoAl2O4(图1d)。这表明NO3−RR优先发生在CoOh位点,而CoTd对NO3−RR相对不活跃。此外,三种电催化剂在添加NO3−的电解液中(实线)比不添加NO3−的电解液中(虚线)均表现出显著增加的电流密度和更正的起始电位,表明发生了NO3−RR(图1d)。如图1e所示,在不同的外加电位下,三种电催化剂的FENH3值均呈现“火山型”趋势,FENH3在−0.45 V vs RHE电位时达到最大值。值得注意的是,在−0.45 V vs RHE电位下,Co3O4和MgCo2O4的FENH3值分别为85.6和83.8%,远高于CoAl2O4(40.3%)。在−0.45 V vs RHE条件下,Co3O4和MgCo2O4的NH3产率分别达到0.38和0.35 mmol h−1 cm−2,是CoAl2O4 (0.04 mmol h−1 cm−2)的9倍左右,进一步证实了Co3O4的NO3−RR活性主要来源于CoOh位点而非CoTd。

图2. Co基尖晶石催化剂的电化学原位表征: 为了探究工况条件下催化剂的动态演变和真实活性物种。通过原位EIS观察三种样品的Bode相图,发现在相同偏压下,Co3O4和MgCo2O4的相位角小于CoAl2O4。这意味着Co3O4和MgCo2O4表面更多的电荷参与了法拉第反应,而不是存储在电极/电解质界面中,而CoAl2O4则相反。原位Raman和原位XPS对催化剂在施加电位下的结构变化进行了监测,证明了在NO3−RR的反应条件下,CoOh-O6可能电化学转化为CoOhO5-Ov,而CoTd保持不变。此外,DFT计算表明,与CoOh和CoTd结合的桥接O离子(即Ov2f)相比,Ov更倾向于在末端与CoOh结合的O离子(即Ov3f)处生成。基于以上结果,我们在图21中展示了NO3−RR在−0.45 V vs RHE下CoOhO5−Ov的生成过程。

图3. DFT计算:如图3a、b(晶体场图)所示,CoOh和CoTd都呈现在表面,向真空方向有轻微的向外运动,在此情况下,它们的电子结构会偏离理想的八面体和四面体晶体场。一个主要的变化是由于局部畸变导致d轨道的退化,在这种情况下,CoOh和CoTd都观察到强烈的自旋极化,这可以通过计算的磁矩来证明。这种极化也被投影态密度所证实,如插图所示,在CoOh的费米能量以上约1.4 eV处观察到一个自旋上升的尖峰,但在CoTd中没有发现。结合上述结果,生成了自旋极化晶体场图,再现了这些关键特征。在CoOh的情况下,eg(自旋向上)和t2g(自旋向下)都提供了位于导带最小值(CBM,图3a中的蓝线)的空态。不同的是,CoTd中的这种空态在~ 0.8 eV时由e轨道主导(只自旋向下);重要的是,所有自旋状态都被完全占据了。上述差异会影响NO3−RR对NO3−的吸附和催化性能。如图3c (DOS谱图)所示,CoOh在价带最大值处提供丰富的态以促进强Co−N键,表现出优于CoTd的性能。如图3d所示,Ov将PDS的能垒从0.76 eV略微降低到0.55 eV,同时与*NH3生成相关的能量需求也变小了。

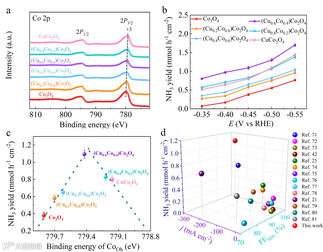
图4. (CuxCo1-x)Co2O4的XPS表征和NO3−RR性能研究。在这项工作中,我们试图在不减少高活性CoOh数量的条件下,通过用其他阳离子(即Cu2+)替换部分CoTd来调整CoOh位点的电子结构。考虑到具有3d9电子构型的Cu2+相对于原Co (3d7)可以带来两个电子,我们选择Cu2+代替Co3O4的CoTd ((CuxCo1−x)Co2O4(x = 0、0.2、0.4、0.6、0.8、1.0))。如图4a所示,随着Cu掺杂量的增加,Co 2p3/2中Co3+Oh的结合能逐渐升高,说明引入Cu掺杂剂可以有效地调整CoOh的电子结构。然后,在1.0 M KOH和0.1 M NO3−的电解质中,在室温下评估这些(CuxCo1−x)Co2O4氧化物的NO3−RR活性(图4b, c)。有趣的是,CoOh的结合能与NH3的生成速率呈“火山型“相关,(Cu0.6Co0.4)Co2O4达到火山曲线的顶端(图4c)。也就是说,NO3−RR活性随CoOh电子结构的变化也遵循“火山型“曲线,这表明调整CoOh的局部电子结构是提高Co3O4基尖晶石NO3−RR活性的有效策略。令人印象深刻的是,(Cu0.6Co0.4)Co2O4的NO3−RR活性优于大多数报道的非贵金属基电催化剂(图4d)。
总之,本工作通过系统地研究具有特定几何Co位的尖晶石的NO3−RR,成功地确定了八面体Co位(CoOh)是尖晶石Co3O4催化剂中NO3−RR生成NH3的最佳几何位置。为了弄清Co3O4的真正活性位点,我们进一步利用原位 Raman光谱和XPS技术跟踪了反应条件下Co3O4的动态变化,研究表明在NO3−RR过程中,CoOhO6随着Ov的形成而电化学转化为CoOhO5。DFT计算表明,相对于CoTd, CoOh位点为NO3−RR提供了更有利的局域电子结构,Ov改变了NO3−RR的反应途径,调节了CoOh的电子结构,增强了NO3−RR活性。考虑到这一点,我们进一步优化CoOh的局部电子结构,用不同含量的Cu2+阳离子取代CoTd,并观察到NO3−RR活性与CoOh的电子结构之间存在火山状的相关性。令人印象深刻的是,与纯Co3O4相比,优化后的(Cu0.6Co0.4)Co2O4的NO3−RR活性提高了3倍。这项工作不仅提供了尖晶石电催化剂的不同几何位置如何影响NO3−RR性能的观点,而且还提供了通过定制CoOh位点的局部电子结构来设计高级NO3−RR电催化剂的新概念。
何传新,深圳大学化学系教授,副院长。2019 年获教育部青年长江学者,2021年获广东省自然科学二等奖 (排名第1),2020 年入选英国皇家化学会J. Mater. Chem. A 新锐科学家,2015 入选“广东特支计划”百千万工程青年拔尖人才,2015 年获深圳市青年科技奖 (独立)。近五年以通讯作者发表SCI论文83篇,其中影响因子大于15的论文42篇,包括Angew. Chem. Int. Ed(6篇)、J. Am. Chem. Soc(2篇)、Nat. Commun.(2篇)、Adv. Mater.(3篇)、Energy Environ. Sci.(2篇)、Adv. Energy Mater(5篇)、CCS Chem.(1篇)、Nano Lett.(1篇)、Nano Energy(5篇)、J. Energy Chem.(2篇)、Adv. Funct. Mater.(4篇)等;总发表论文被引8000余次,H-Index 47;作为主要发明人申请国家发明专利43项,授权27项,申请美国专利5项,授权3项,实现专利转化2项。
胡琪, 博士,副教授。2016年6月于北京化工大学理学院(现为化学院)获化学工程与技术专业的工学博士学位;2016年11月到2018年11月于深圳大学化学与环境工程学院从事博士后工作;2019年1月到2021年11月作为专职研究人员继续在深圳大学化学与环境工程学院从事研究工作,并在此期间以访问学者的身份在香港中文大学访问学习了一年;2021年11月份到至今,任深圳大学化学与环境工程学院副教授。长期从事高性能电催化材料的理性设计及其在电催化水分解、二氧化碳还原以及硝酸根还原中的应用研究,近五年内共发表SCI论文60余篇,其中第一作者(包含共一)/通讯作者30余篇(J. Am. Chem. Soc., Angew. Chem. Int. Ed., Nat. commun., Energy Environ. Sci., Adv. Mater.等)。
课题组网页:https://chem.szu.edu.cn/szdw/jxdanwe/hxx/tpjs/hcx.htm.
本文仅用于学术分享,不做盈利使用,如有侵权,请联系后台小编删除
欢迎关注我们,订阅更多最新消息
“邃瞳科学云”推出专业的自然科学直播服务啦!不仅直播团队专业,直播画面出色,而且传播渠道多,宣传效果佳。
“邃瞳科学云"平台正在收集、整理各类学术会议信息,欢迎学会、期刊、会议组织方择优在邃瞳平台上进行线上直播,希望藉此帮助广大科研人员跨越时空的限制,实现自由、畅通地交流互动。欢迎老师同学们提供会议信息(会有礼品赠送),学会、期刊、会议组织方商谈合作,均请联系王女士:18612651915(微信同)。
投稿、荐稿、爆料:Editor@scisight.cn