
第一作者:祝秋会
通讯作者:王传义
通讯单位:陕西科技大学
论文DOI:10.1016/j.apcatb.2024.123734
图1 Bi4Ti3O12纳米线光催化转化NO示意图
极化有助于促进光生载流子的分离,提高光生电荷的利用效率,进而改善光催化活性。因此,增强极化已成为进一步提高光催化性能的重要策略之一。考虑到铁电极化的各向异性以及缺陷对极化的改善,本工作通过水热法制备出具有氧空位的[010]优先生长的Bi4Ti3O12纳米线 (BT-L)。在可见光照射下 (λ > 420 nm),BT-L展现出高达67.5%的光催化去除NO的效率,远高于固相法合成的Bi4Ti3O12 (3%) (BT)。通过实验表征和理论计算发现,氧空位可以提高Bi4Ti3O12在[010]和[100]方向的极化强度,而且极化强度与氧空位的浓度呈正相关。此外,氧空位的形成逐渐将Bi4Ti3O12的极化主导方向由[100]方向转移到[010]方向。总的来说,沿[010]方向的定向生长增加了TiO6产生的极化矢量总和,并且氧空位的产生增强了极化强度,并扩展了光响应范围,从而提高了BT的光催化去除NO性能。这项研究阐明了基于氧空位微结构的构筑改善极化进而提高光催化性能的合理方法。
光催化转化NOx是处理空气中低浓度NO的有效方法,但光生载流子的复合限制了其利用效率。因此,促进光生载流子的分离和迁移是提高光催化效率的重要方法。层状铋基复合氧化物作为高效光催化材料已被广泛用于环境修复和能源转换,它由类钙钛矿层(Am−1BmO3m+1)2−和(Bi2O2)2+层组成,其中m表示沿c轴的交替层。其优异的铁电极化特性使自由电荷能够在光催化材料内定向移动,从而提高光生载流子的利用效率。Bi4Ti3O12 (m=3) 由类钙钛矿层 (Bi2Ti3O10)2-和(Bi2O2)2+组成(图2a),表现出良好的可见光吸收和铁电极化特性。Bi4Ti3O12的离子极化率主要来源于钛氧多面体中的Ti4+和O2- (图2b),而(Bi2O2)2+层中的Bi 2和O 2对极化率的贡献很小。Bi4Ti3O12的理论极化强度为23.2 μC·cm-2,主要集中在a-b平面,并且主要沿着a轴方向。基于上述分析,Bi4Ti3O12的极化在a-b平面内具有明显的各向异性。考虑到Bi4Ti3O12的极化来源与方向,如果能够使得Bi4Ti3O12在a轴的定向生长,增加Ti-O八面体在a轴方向的数量,能够改善Bi4Ti3O12极化强度,进而促进光生载流子的定向分离,提高光催化效率。

图2 (a) Bi4Ti3O12的晶体结构示意图和(b) Bi4Ti3O12中各离子沿a轴的位移
1. 通过结构诱导剂的加入抑制Bi4Ti3O12在[100]和[001]晶向生长,从而获得氧空位修饰的铁电光催化材料Bi4Ti3O12纳米线;
2. 理论计算结果表明氧空位的存在使得Bi4Ti3O12的极化方向由[100]转变为[010],并且氧空位浓度与极化强度呈正相关;
3. 氧空位形成优化了BT-L的能级结构,扩宽了光响应范围,抑制了光生电子与空穴的复合,其与铁电极化共同作用改善了光生载流子动力学过程,进而改善了光催化效率。
图3 (a) BT、BT-R和BT-L的XRD图谱,(b) BT和 (c) BT-R的SEM图,(d) BT-R的长度分布的图,(e) BT-R的TEM和 (f) HRTEM图,(g) BT-L的TEM图 (插图:BT-L的SEM图),(h) BT-L的HRTEM图 (插图为BT-L的SEAD图) 和 (i) BT-L的EDS mapping图
本文通过煅烧法和水热法成功制备出BT、Bi4Ti3O12纳米棒 (BT-R) 和BT-L。利用SEM和TEM对其形貌表征发现,结构诱导剂的添加抑制了在[100]和[001]方向的生长速率,而pH的调控弱化了H+与 (010) 晶面终止氧的吸附,进而促进了Bi4Ti3O12在[010]方向的生长,形成纳米线状结构 (图3)。

图4 BT-R和BT-L的表面电位差:(a,d) 3D和 (b,e) 2D图像以及 (c,f) 相应的表面电位曲线
为了揭示内在极化对于Bi4Ti3O12内部电荷的作用,通过KPFM测试BT-R和BT-L表面的电势,结果表明BT-R和BT-L表面分别存在70和120 mV的电势差 (图4)。电势差的产生可能是自发极化产生的内建电场所导致的。通过铁电测试仪检测发现,当E=0 kV时,BT、BT-R和BT-L的Ps分别为0.41、0.46和0.59 μC·cm-2(图5a),这可能与BT、BT-R和BT-L之间的微结构差异有关。为了揭示BT、BT-R和BT-L的微结构(包括氧空位浓度、生长取向及长度等)对于铁电极化的影响,利用DFT理论计算对Bi4Ti3O12含有不同浓度氧空位的以及不同方向的铁电极化强度进行探究。如图5所示,Bi4Ti3O12晶体结构中在无缺陷、5%浓度氧空位和10%浓度氧空位时[100]方向的极化强度分别为7.17、7.53和8.32 μC·cm-2;在[010]方向的极化强度分别为3.43、17.18和23.25 μC·cm-2,结果表明,氧空位浓度与Bi4Ti3O12极化强度呈正相关,并且随着氧空位浓度的增加,Bi4Ti3O12的极化主导方向由[100]方向逐渐转变为[010]方向。

图5 BT、BT-R和BT-L的 (a) 电滞回线和 (b) 理论计算的极化强度
通过EPR和DRS测试发现 (图6),BT、BT-R和BT-L的禁带宽度由大到小的排序为BT(2.91 eV)> BT-R(2.78 eV)> BT-L(2.77 eV)。BT-R和BT-L中存在明显的Urbach拖尾,BT-R拖尾范围直至650 nm;BT-L的拖尾范围延伸至1150 nm,这可能是在BT-R和BT-L中产生的氧空位导致的。

图6 (a) Ti 2p、(b) Bi 4f和(c) O1s的高分辨率XPS光谱,(d) BT、BT-R和BT-L的EPR光谱,(e) UV-vis DRS和(f) BT、BT-R和BT-L的禁带宽度
UPS的测试结果表明,BT和BT-L的功函数分别为4.61和4.37 eV (图7a)。通过公式lnα = hv/Eu + lnα0(其中,α是吸光度,h是普朗克常数,v是频率,α0是Urbach常数。)计算出BT和BT-L的中间能级位置为0.35和1.21 eV (图7b),进而确定BT和BT-L的能带结构 (图7c)。如图7d-7f所示,活性测试发现BT-L具有最高的光催化转化NO活性(67%)、低的NO2产率以及良好的稳定性。

图7 (a) BT和BT-L的UPS图,(b) BT-R和BT-L的间接带隙,(c) BT和BT-L的能带结构示意图,(d) BT、BT-R和BT-L光催化转化NO的效率和 (e) NO2的产率以及 (f) BT-L光催化转化NO的五次循环性能图和对应的NO2产率
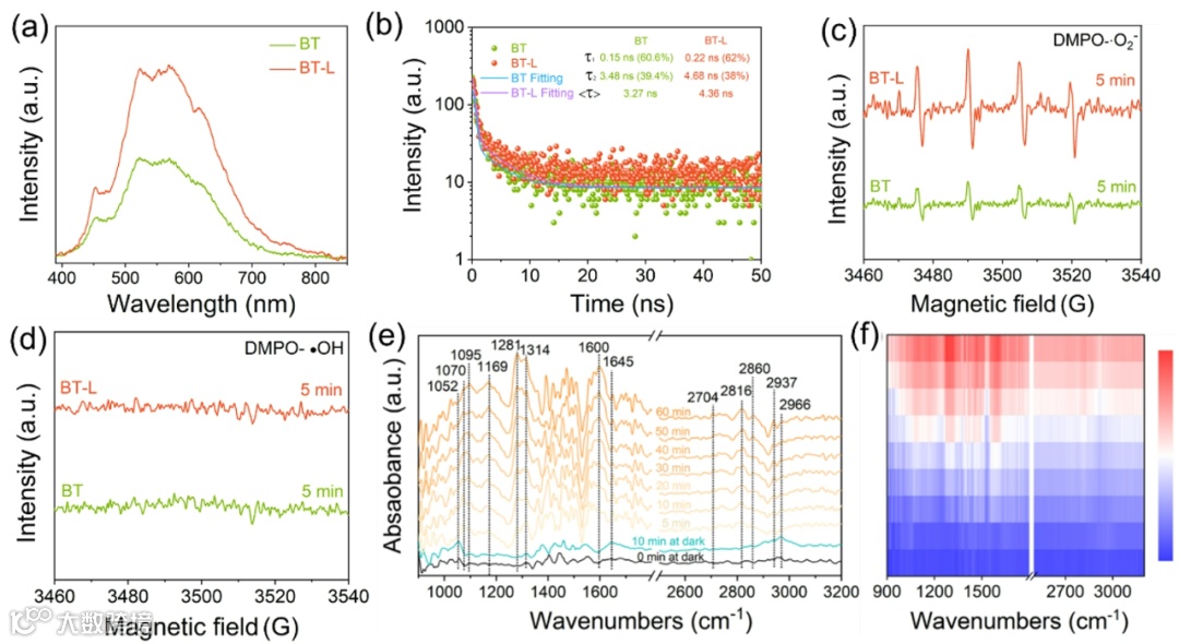
BT和BT-L的稳态和瞬态荧光测试结果表明 (图8a和b),BT-L具有低的光生载流子复合概率和高的光生电子的寿命,这可能是由于BT-L中氧空位的产生和改善的极化强度改善了光生载流子动力学过程。EPR测试结果发现,BT-L能够产生更多的⦁O2− (图8c和d)。原位红外的测试结果表明,NO光催化氧化的主要产物是在1281 cm-1处的双齿硝酸盐和1314 cm-1处的单齿硝酸盐物种 (图8e和f)。

图8 (a) BT和BT-L的PL光谱,(b) 时间分辨荧光光谱,在可见光下的 (c) ⦁O2−和 (d) ⦁OH信号,(e) BT-L光催化转化NO的原位红外光谱和 (f) 相应的heat map图
本工作通过水热合成方法,并引入结构诱导剂,成功制备了具有丰富氧空位并沿[001]方向生长的Bi4Ti3O12纳米线 (BT-L)。BT-L展示出优异的光催化转化NO性能,这归因于改善的极化强度和扩宽的光响应范围。理论计算表明,氧空位的产生和Bi4Ti3O12的定向生长有效地改善了Bi4Ti3O12沿[010]方向的极化强度。此外,氧空位修饰的BT-L在[010]方向上显示出了明显增强的极化强度,并且氧空位的存在逐渐将Bi4Ti3O12的极化主导方向从[100]方向转移到[010]方向。改善极化强度和扩宽的光响应范围共同改善了BT-L光催化转化NO效率。该研究为更好地利用极化场改善光催化性能提供了一个可行的策略,并可以推广到其他层状铋基光催化材料上。
Qiuhui Zhu, Yu Wang, Junjun Wang, Jianmin Luo, Jingsan Xu, Chuanyi Wang*, Synergistic Polarization and Oxygen Vacancies Engineering for Enhancing Photocatalytic NO Removal over Bi4Ti3O12 Nanowires,Applied Catalysis B: Environmental (2024) 123734.
祝秋会,2023年6毕业于陕西科技大学,现为武夷学院讲师,研究方向为多场耦合的催化转化环境污染物控制技术,目前以第一作者已在ACS ES&T Engineering、Applied Catalysis B: Environmental、Chemical Engineering Journal等国际期刊发表论文7篇。
王传义教授,欧洲自然科学院院士,德国洪堡学者、英国皇家化学会会士、国际先进材料学会会士、中科院“引进海外杰出人才”计划(A类)入选者(终期评估优秀)、中科院特聘研究员、陕西科技大学特聘教授、环境学院学术院长、博导,武汉大学兼职教授,中科院创新国际团队及交叉创新团队负责人,中国科协海智计划特聘专家,中国能源学会常务理事、中国能源学会专家委员会新能源专家组副主任委员、中国可再生能源学会光化学专业委员会委员、中国感光学会光催化专业委员会委员。此外,应邀担任国际刊物Environmental Chemistry Letters (Springer,IF15.7)副主编、Molecular Catalysis等10多个国际刊物编委和客座编辑、国家科技奖励和国家重点研发计划会评专家及国家基金委等机构项目评审专家。主要从事纳米光催化及表界面化学等研究,在Chem. Rev., J. Am. Chem. Soc., Nat. Commun., Angew. Chem. Int. Ed.等刊物上发表论文350多篇,被引用19000多次,H指数值78。应邀撰写/主编英文专著3部,撰写专著5个章节,获授权中国及美国发明专利64件。曾获德国洪堡学者奖(1998)、中国材料研究学会科学技术奖二等奖(2011)、中国天山奖(2014)、中国科学院“引进海外杰出人才”计划终期评估结果优秀(2015)、中国侨界贡献奖(创新人才,2016)、国际先进材料学会科学家奖(2020),入选英国皇家化学会会士(2018)、全球顶尖前10万名科学家排名(2021、2022、2023全球学者库)、全球前2%顶尖科学家年度榜单和长期综合榜(2021、2022、2023美国斯坦福大学发布,子学科物理化学进入前100名,位列第87名)、维基百科、世界名人录(Marquis, 2022-2023)及全球高被引科学家(美国Clarivate发布, 2023)。
本文仅用于学术分享,不做盈利使用,如有侵权,请联系后台小编删除
欢迎关注我们,订阅更多最新消息
“邃瞳科学云”推出专业的自然科学直播服务啦!不仅直播团队专业,直播画面出色,而且传播渠道多,宣传效果佳。
“邃瞳科学云"平台正在收集、整理各类学术会议信息,欢迎学会、期刊、会议组织方择优在邃瞳平台上进行线上直播,希望藉此帮助广大科研人员跨越时空的限制,实现自由、畅通地交流互动。欢迎老师同学们提供会议信息(会有礼品赠送),学会、期刊、会议组织方商谈合作,均请联系王女士:18612651915(微信同)。
投稿、荐稿、爆料:Editor@scisight.cn