
第一作者:李君华
通讯作者:吴家刚、王晓鹏、薛军民、席识博
通讯单位:四川大学(吴家刚,王晓鹏)、新加坡国立大学(薛军民)、新加坡科技研究局化学、能源和环境可持续性研究所(席识博)
论文DOI:10.1002/anie.202404730 (2024)
镍基氢氧化物(Ni(OH)2)的阳极甲醇氧化反应(MOR)不仅可以和阴极析氢反应(HER)耦合降低电解水制氢的整体能耗,并可以产生高附加值的甲酸盐。然而,决定本征催化活性的关键因素仍然未知,这严重阻碍了Ni(OH)2电催化剂的进一步发展。该工作选择传统的Ni(OH)2、NiCo层状双金属氢氧化物(LDH)、NiFe-LDH和纳米带状氢氧化镍(NR-Ni(OH)2)作为模型催化剂来研究镍基氢氧化物的MOR过程。利用脉冲伏安测试(P-V)、优化后的双段电流i-t测试(BCP测试)、同步辐射X射线吸收谱结合DFT理论计算首次揭示了dx2-y2轨道电子态在镍基催化剂MOR过程中的关键作用。
低成本的甲醇作为典型的亲核化学物质,在电催化氧化领域得到了广泛的关注,这是因为MOR不仅可以和HER耦合降低电解水制氢的整体能耗,并可以产生高附加值的甲酸盐。氢氧化镍作为一种典型MOR催化剂已经被广泛研究。目前,大多数氢氧化镍基催化剂的研究主要集中在通过形态控制、金属离子掺杂(如Co2+和Mn2+)、构建异质结等手段来提高MOR效率。然而目前的研究对内在MOR催化机制认识不足,这严重制约了进一步开发高性能氢氧化镍基的MOR催化剂。众所周知,催化剂费米能级附近的电子态决定了其催化性能,然而,到目前为止,还没有任何报告专注于揭示这两者之间的内在关系。所以本工作致力于研究氢氧化镍基催化剂的MOR过程内在机制,并揭示费米能级附近(dx2-y2轨道)的电子态在MOR过程中所起到的决定性作用。为开发新一代高效氢氧化镍基MOR催化剂提供理论指导。
1. 首先通过一系列电化学测试表明MOR所涉及到的两个过程(催化剂去质子化过程和自发反应过程)对MOR过程都起到重要作用,且对MOR的影响不同。脉冲伏安测试(P-V)结合其它电化学测试结果表明,触发MOR反应的关键在于催化剂去质子化过程(Ni2+变Ni3+),催化剂的去质子化能力决定了MOR反应的起始电位,催化剂去质子化能力越强对应起始电位越低;双段电流i-t测试法(BCP测试)发现催化剂自发化学反应动力学具有差异,该工作通过进一步设计优化的Optimized BCP-KOH-MA测试法定量分析自发反应动力学过程,揭示了自发反应动力学过程决定了起始电位后续的MOR活性。
2. 该工作通过X射线吸收光谱(XAS)光谱和密度泛函理论(DFT)对催化剂的电子结构进行了进一步分析。结合电化学结果分析表明dx2-y2轨道电子态在整个MOR过程中起到重要作用:dx2-y2轨道最高占据态(或轨道带中心)到费米能级的位置决定了催化剂的去质子化能力,离费米能级越近,催化剂去质子化能力越强,催化剂从而有一个较小的MOR起始电位。由NiO6八面体结构畸变引起的dx2-y2轨道电子态变宽有利于甲醇向催化剂的电子转移,可以有效地加速自发化学反应过程,进而增强后续高电位下的MOR催化性能。
3. 该工作为了开发高效的Ni(OH)2基MOR催化剂提供了新的理论指导,所设计的催化剂在Ni2+状态下的dx2-y2轨道应更接近费米能级,并且在Ni3+状态下其dx2-y2轨道应该有一个大的展宽。
图1 氢氧化镍MOR电化学性能评估及MOR反应过程解析。
首先以氢氧化镍为例,通过电化学测试结果分析,阐释了镍基氢氧化物MOR过程,主要涉及到催化剂的去质子化过程(Ni2+变Ni3+)和中间活性产物(Ni(III)-OOH)和甲醇的自发化学反应过程。

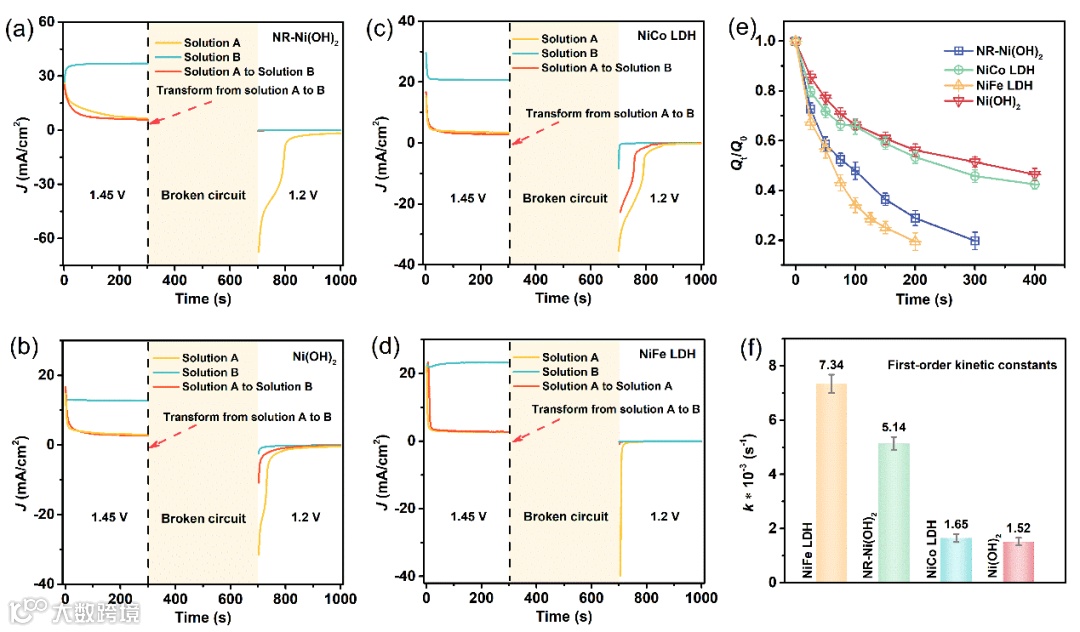
接下来对比了这几种模型催化剂的MOR催化性能。首先发现这几种催化剂MOR反应的起始电位不同,而且发现起始电位的大小顺序与催化剂Ni2+/Ni3+的氧化还原电位的顺序一致,结合MOR反应机制要触发MOR反应首先要发生催化剂的去质子化过程(Ni2+变Ni3+),因此可以推断催化剂去质子化能力决定其起始电位。此外,还可以发现虽然镍铁氢氧化物具有最大的起始电位,但在后续高电位下其电流密度逐渐接近镍钴,塔菲尔曲线也表明了镍铁催化剂拥有最低的塔菲尔斜率。这些结果表明在起始电位之后后续的高电压段区间,自发化学反应过程决定了其MOR性能。

进一步通过脉冲伏安法(P-V)测试了不同催化剂的去质子化能力(Ni2+变Ni3+),结果表明催化剂去质子化能力和催化剂MOR反应的起始电位呈负相关,结合MOR反应机制可知催化剂去质子化能力决定了MOR的起始电位,去质子化能力越大,起始电位越低。

通过双段电流i-t测试(BCP测试)以及Optimized BCP-KOH-MA测试对自发反应动力学过程进行了定性和定量分析,结果表明这些催化剂的反应动力学符合以下规律:NiFe LDH > NR-Ni(OH)2 > NiCo LDH > Ni(OH)2,可以发现其与塔菲尔斜率的规律一致,表明自发反应动力学过程决定了起始电位后续的MOR性能。
这些结果表明催化剂去质子化过程和自发反应动力学过程在MOR过程中均起到重要作用,这两个过程分别决定了催化剂MOR的起始电位以及后续的MOR催化性能。

图5 不同催化剂结构信息及其dx2-y2轨道电子态分析。
众所周知,催化剂费米能级附近的电子态决定了其催化性能,所以接下来进一步分析了催化剂电子态结构。结合镍基氢氧化物的MOR反应机理和催化剂NiO6八面体分子轨道能级图,可知MOR过程主要与催化剂dx2-y2轨道电子得失有关。所以进一步通过Ni-K边XANES谱以及DFT计算分析了不同催化剂的结构和dx2-y2电子态差异。结果表明dx2-y2轨道最高占据位置到费米能级的位置以及dx2-y2轨道带中心位置到费米能级的位置顺序均符合以下顺序:NR-Ni(OH)2 < NiCo LDH < Ni(OH)2 < NiFe LDH,可以发现此顺序和催化剂去质子化能力保持一致;此外eg*带和dx2-y2轨道带宽的顺序则为:NiFeOOH > NR-NiOOH > NiCoOOH > NiOOH,该顺序与催化剂自发反应动力学顺序保持一致。所以可以发现氢氧化镍基催化剂的dx2-y2轨道电子态决定了其整个MOR过程的反应活性。

图6 氢氧化镍dx2-y2轨道电子态对整个MOR过程的影响。
最后,通过分析电化学测试结果、XAS测试结果以及理论结算可以得出,dx2-y2轨道电子态决定了催化剂去质子化过程以及自发反应动力学过程,从而决定了整个MOR的性能。dx2-y2轨道最高占据位置(或者dx2-y2轨道带中心位置)到费米能级的位置越近,越利于催化剂去质子化,从而导致低的MOR起始电位;dx2-y2轨道展宽程度越大,越利于自发反应动力学过程的发生,从而提升后续的MOR性能。
为了开发高效的Ni(OH)2基MOR催化剂,要求催化剂在Ni2+状态下的dx2-y2轨道应更接近费米能级,并且在Ni3+状态下其dx2-y2轨道应该有一个大的展宽。这项工作为开发下一代高效的Ni(OH)2基MOR催化剂提供新的设计范式。
第一作者:
李君华,四川大学材料科学与工程学院博士三年级,导师为吴家刚教授。目前研究方向亲核试剂电氧化,纳米吸附剂、光催化剂、电催化剂的研究与制备。
通讯作者:
席识博博士,新加坡科技研究局(A*STAR)下属的化工,能源与环境可持续发展研究院(ISCE2)的scientist III,并担任新加坡国立大学新加坡光源(SSLS)XAFCA实验室负责人。博士毕业于高能物理研究所同步辐射实验室。研究活动聚焦于同步辐射光束线建设和优化维护,并在软X射线和硬X射线吸收谱方法学、吸收谱数据处理解析和吸收谱理论计算等方面有丰富经验。在工作期间,搭建了具有国际领先水平的原位催化吸收谱表征实验站。培训并维护了新加坡本地的吸收谱用户群体。迄今为止,在各大主流科学期刊(包括Science,Nature及其各大子刊)上发表文章两百余篇,引用数超过一万,H因子为55。
薛军民教授,新加坡国立大学材料系主任,主要研究能源储存、环境清洁和应用生物医学等方面的功能纳米材料的合成,出版学术专著3部, 作为通信作者在Nature, Nature Comm, Energy Environment & Science, Advanced Materials, Advanced Energy Materials, Advanced Functional Materials,ACS Nano等国际重要学术期刊发表多篇文章,美国陶瓷学会高级会员,担任多种国际重要学术期刊编委,多次担任国际会议分会场主席,指导研究生50余人。
王晓鹏,四川大学(正高级)特聘研究员,博士生导师,国家级青年人才,主要从事电解制氢、燃料电池、锂电池相关方面的研究等。目前以第一作者或者通讯作者发表SCI论文20篇,包括Nature(1), Nat. Commun. (3), Energy Environ. Sci. (2), Angew. Chem. Int. Ed. (3), J. Am. Chem. Soc., Adv. Mater., Adv. Energy Mater等,总引用率3000余次,单篇文章最高引用率800余次。相关成果被国内外多家知名媒体专题报道,包括中国新闻网、科技日报、美国科学促进会(AAAS)主办的科学报道媒体EurekAlert!、材料学领域的知名媒体Materials Square、Universe3000等。
吴家刚,教授,博士生导师。四川大学国际合作与交流处处长、国家级青年人才入选者、ACS Applied Materials & Interfaces副编辑。研究领域主要涉及无铅压电陶瓷及器件、多铁材料、介电材料、新能源材料(如制氢等)。作为第一/通讯作者在Nat. Commun.、J. Am. Chem. Soc.、Adv. Mater.、Angew Chem.、Chem. Rev.、Chem. Soc. Rev.、Prog. Mater. Sci等高水平期刊上发表论文200余篇;SCI总引用次数大于15000次,SCI引用大于100次30篇,单篇最高SCI引用1200余次,12篇入选ESI高被引论文;获准国家发明专利6项。应邀在Springer Nature出版社独著Advances in Lead-Free Piezoelectric Materials英文专著一部,应邀在Wiley出版社作为唯一主编出版Piezoelectric Materials: From Fundamentals to Emerging Applications。主持国家自然科学联合基金重点、优秀青年、牛顿高级学者、面上等项目。曾获得国家优青、英国皇家化学学会会士、中英人才-牛顿高级学者基金、爱思唯尔(Elsevier)中国高被引学者 (2019年-2023年度,连续六年)、全国宝钢优秀教师、四川省学术和技术带头人、高等教育(本科)国家级教学成果奖一等奖(排名第7)、高等教育(研究生)国家级教学成果奖二等奖(排名第12)、四川省天府万人计划科技菁英、中国电介质物理优秀青年奖、中国硅酸盐学会优秀博士学位论文奖指导教师等资助或荣誉。现担任ACS Applied Materials & Interfaces副编辑、Int J Appl Ceram Tec副编辑、中国物理学会电介质物理专业委员会副主任兼秘书长、《硅酸盐学报》第八届编辑委员会委员、中国材料研究学会超声材料科学与技术分会理事会常务理事等。
一、导师介绍:
王晓鹏,研究员、博士生导师。2019年博士毕业于新加坡国立大学(导师:薛军民教授),2019-2024在新加坡国立大学从事博士后研究(合作导师:薛军民教授),2023年4月加入四川大学材料科学与工程学院。主要从事电解制氢、燃料电池、锂电池相关方面的研究等。目前以第一作者或者通讯作者发表SCI论文20篇,包括Nature(1), Nat. Commun. (3), Energy Environ. Sci. (2), Angew. Chem. Int. Ed. (3), J. Am. Chem. Soc., Adv. Mater., Adv. Energy Mater等,总引用率3000余次,单篇文章最高引用率800余次。Google Scholar:https://scholar.google.com.sg/citations?user=jP8H0XUAAAAJ&hl=zh-CN
二、研究方向:
1. 析氢/析氧电催化剂;
2. 电解制氢槽及燃料电池装置设计;
三、申请条件:
1. 已经或将要取得国内外大学或研究机构的材料、化学、物理等相关博士学位;
2. 具有独立科研工作能力,有较强的英语阅读和写作能力,在国际学术期刊上发表过高质量研究论文;
3. 课题组拥有充足的研究经费,专注于前沿课题研究,欢迎对科研工作充满热情、具有较强执行力的博士生加入我们团队!
三、岗位待遇:
四、应聘方式:
请将应聘材料(个人基本信息、学习与研究经历、研究成果和论文列表)发送至邮箱:wangxiaopeng0620@163.com。邮件标题请注明“博士后申请+本人姓名”。本招聘长期有效。
欢迎关注我们,订阅更多最新消息
“邃瞳科学云”推出专业的自然科学直播服务啦!不仅直播团队专业,直播画面出色,而且传播渠道多,宣传效果佳。
“邃瞳科学云"平台正在收集、整理各类学术会议信息,欢迎学会、期刊、会议组织方择优在邃瞳平台上进行线上直播,希望藉此帮助广大科研人员跨越时空的限制,实现自由、畅通地交流互动。欢迎老师同学们提供会议信息(会有礼品赠送),学会、期刊、会议组织方商谈合作,均请联系潘经理:18612651915(微信同)。
投稿、荐稿、爆料:Editor@scisight.cn