
单原子催化剂的活性位点在动态的光催化过程中会经历明显的微观结构与电子结构的变化。但是动态的金属原子的活性位中心并没有被很好的理解。本文发现锂金属原子作为活性位中心,在光辐照的条件下,会在单层或者双层的氮化碳当中移动,进而导致锂局部环境的变换,从而影响相应的光催化活性。光催化H2O2的产量高达0.4%的浓度,远远高于废水处理需要的浓度,因此具有潜在的重要的环境方面的应用。
绿色合成H2O2被认为是比较可行的方法,光催化产H2O2直接利用太阳能作为能量输入来源,可以避免工业方法的能耗问题,因此光催化产H2O2已经成为目前光催化领域的重要研究问题之一。光催化产H2O2需要催化剂的参与,因此设计具有高活性的光催化剂是高效制备H2O2的基本前提,目前设计光催化剂体系基本上围绕构建S/Z异质结等手段,或者调控光催化剂基本组成的特殊性能,比如自旋、磁性、极化或者缺陷等。
本研究构建了轻质锂金属单原子与g-C3N4耦合的光催化剂体系,该体系不依赖于传统的金属单原子与载体的强相互作用,而是依托轻质锂金属单原子在光辐照的条件下会诱导锂金属原子的运动,来强调动态的活性位点问题。
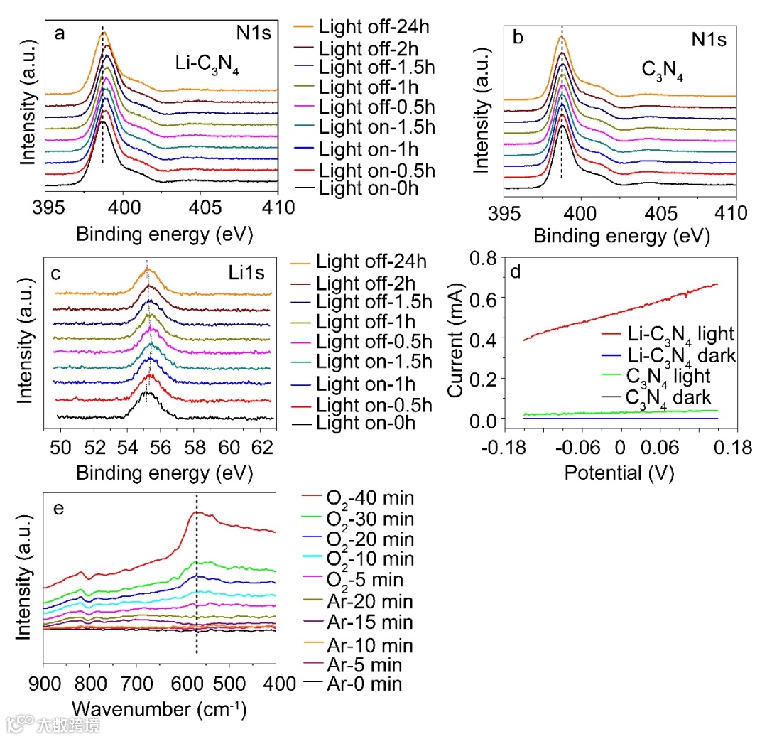
金属锂原子耦合g-C3N4构建Li-C3N4光催化体系的制备路线图。通过透射电子显微镜明场像、HAADF-STEM低倍及高倍成像、EELS元素图、EELS谱图和高分辨 XPS论证了Li-C3N4光催化剂的微观结构,证明了存在Li元素以及无团聚态的锂。

谱学及电化学手段表征了金属锂配位环境的变换以及活性位中心问题。

理论计算研究了金属锂原子在g-C3N4的层间及层内扩散问题。

Li-C3N4催化剂结构示意图以及优异的光催化活性。通过与文献报道的数据进行对比,发现金属锂原子作为动态活性中心可以极大地提升光催化产H2O2性能,而且H2O2产量高于目前所有的文献报道值。

第一性原理计算反应的路径及潜在的光催化机制问题。
本文制备了金属锂单原子催化剂,载体是g-C3N4,与常规的特意设计单原子与载体的强相互作用不同,本文侧重于设计轻质的、易驱动的锂金属原子作为活性位中心,在光驱动形成的微电场环境下,会在g-C3N4载体上面移动,从而导致其局部的配位环境发生变化,正是由于这种动态的变化,光催化产H2O2性能有了大幅度的提升,因此本文值得借鉴的地方是,受锂离子电池当中锂金属离子在电场条件下的迁移运动,构建了具有动态活性位的锂单原子光催化剂体系,从而实现了光催化产H2O2的应用。
Chunqiang Zhuang, Yuan Chang, Weiming Li, Shijie Li, Peng Xu, Hang Zhang, Yihong Zhang, Can Zhang, Junfeng Gao, Ge Chen, Tianyang Zhang, Zhenhui Kang, and Xiaodong Han, Light-Induced Variation of Lithium Coordination Environment in g-C3N4 Nanosheet for Highly Efficient Oxygen Reduction Reactions, ACS Nano, 2024, Accepted Manuscript.
https://pubs.acs.org/doi/10.1021/acsnano.4c00217
庄春强,北京工业大学副研究员,博士生导师。北京市高层次人才,北京市特聘专家。主持国家自然科学基金面上项目,青年项目,北京市自然科学基金面上项目。参与北京市卓越青年科学家计划项目,国家111创新引智基地建设项目,国家重大仪器项目,国家重点研发项目。发表包括自然子刊(Nat. Common.),德国应用化学(Angew. Chem. Int. Ed.)等在内的SCI学术论文60余篇,授权美国专利1项。
主要研究领域:原位电子显微学(原位通气、原位液体、原位加电、原位加力、原位加热等),光催化、电催化材料设计。课题组经费充足,国际交流频繁,实验平台国际一流,欢迎有梦想、有理想、有追求、动手能力强的研究生和博士生加入。
邮箱:chunqiang.zhuang@bjut.edu.cn
声明
“邃瞳科学云”直播服务
扫描二维码下载
邃瞳科学云APP

