
第一作者:卢秀芳,张诚平
通讯作者:Kam Tuen Law, 罗健平
通讯单位:香港科技大学物理系,新加坡国立大学化学系
论文DOI:doi.org/10.1038/s41467-023-44439-w
在保持时间反演对称性下依然表现出二阶非线性输运的材料可用于射频(RF)整流,但实际应用要求在室温下运作,且需对环境中微瓦级的RF信号具有灵敏度。在本工作中,我们发现Rashba 材料BiTeBr表现出巨大的非线性响应,且该响应能持续到350 K及以上。通过对非线性响应与电导率之间的标度率(scaling law)和非线性响应的对称性研究,我们发现偏斜散射(skew scattering)是引起BiTeBr中非线性响应的主要机制。此外,通过调节费米能级,非线性响应的符号可以切换。理论分析表明,大的Rashba自旋轨道相互作用(SOI)是观察到的非线性响应的微观起源。在无外置偏压的条件下,我们的BiTeBr整流器能够在室温整流0.2到6 GHz的频率范围内的无线电信号,且在极低功率(-15dBm)下依然具有灵敏度。我们的工作表明了,具有大的Rashba自旋轨道相互作用的材料有望在室温下呈现非线性响应,使它们成为获取高频和低功率环境电磁能量的候选材料。
随着无线技术和便携设备的迅速普及,电磁辐射已经成为电子设备的一种有前景的能源来源。由于基于肖特基二极管的射频(RF)能量收集器需要在外部偏压下才能工作,且其收集2.4到5.9 GHz之间的Wi-Fi信号具有挑战性。因此,探索在高频率下无需依赖外部偏压的替代整流机制来收集电磁能量具有很大的吸引力。
二阶非线性霍尔效应(NLHE)由于在能量收集、无线通信等方面的潜在应用而成为凝聚态物理研究的新分支。与传统或异常霍尔效应不同,它不需要破坏时间反演对称性,但通常需要贝里曲率偶极子(BCD)。二阶非线性包含两个部分:由交流信号产生的二次谐波电压,以及由整流效应产生的直流电压。且基于NLHE的整流过程不受热电压阈值或跃迁时间的限制。然而,阻碍实际应用的一个缺点是BCD对带结构敏感,通常随着温度升高而迅速减小。此外,BCD需要破坏中心反演对称性和三重旋转对称性,这限制了用于二阶非线性效应研究的材料范围。因此,探索在室温下能够稳健运作的不依赖于BCD的二阶非线性输运机制至关重要。源自偏斜散射的二阶非线性响应已在具有三重旋转对称性的系统中观察到,例如拓扑绝缘体Bi2Se3。但其并未表现出稳健的室温响应。原则上,具有显著Rashba能带劈裂的Rashba材料可能产生可观的二阶非线性响应,然而基于Rashba能带劈裂的二阶非线性响应未有实验报道。
1)本工作在BiTeBr中测到了室温的二阶非线性输运响应。
2)深入研究了该非线性响应的主导机制是偏斜散射(skew scattering)。
3)非线性响应的符号可以通过调节费米能级进行切换。
4)该非线性响应可以在无外置偏压的条件下,室温整流0.2到6 GHz的频率范围内的无线电信号,且在极低功率(-15dBm)下依然具有灵敏度。
图1. BiTeBr的晶体结构、器件结构、偏斜散射的原理示意图和BiTeBr器件基本电学性质。
BiTeBr的晶体结构在面内有三重旋转对称,导致在面内没有贝里曲率偶极子。然后其沿着c方向是对称性破缺的。这和BiTeBr中较强的自旋轨道耦合一起导致大的Rashba能带劈裂。

图2. BiTeBr表现出强的非线性响应,该响应一直持续到350K。

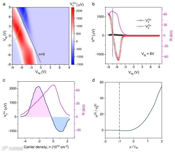
图3. 通过调节栅极电压可以调节非线性响应的符号。

图4. 非线性响应与电导率之间的标度率(scaling law)的研究。
通过对非线性响应与电导率之间的标度率(scaling law)的研究,表明BiTeBr中的非线性响应的微观机制是偏斜散射(skew scattering)。

图5. BiTeBr器件的室温无线射频整流。
本工作展示了在Rashba 材料BiTeBr中测到一个大的二阶非线性响应。该响应与BiTeBr中大的Rashba能带劈裂有关,这为选择在室温以上保持大的非线性响应的材料提供了一种简单的方法。这个原则可以应用于具有手性布洛赫电子的广泛范围的Rashba材料,以及具有设计的Rashba界面的二维异质结构中,从而扩大了在室温下表现非线性响应的材料范围。
Lu X. F. et al, Nonlinear transport and radio frequency rectification in BiTeBr at room temperature. Nature Communications 15, 245 (2024).
本文仅用于学术分享,不做盈利使用,如有侵权,请联系后台小编删除
欢迎关注我们,订阅更多最新消息
“邃瞳科学云”推出专业的自然科学直播服务啦!不仅直播团队专业,直播画面出色,而且传播渠道多,宣传效果佳。
“邃瞳科学云"平台正在收集、整理各类学术会议信息,欢迎学会、期刊、会议组织方择优在邃瞳平台上进行线上直播,希望藉此帮助广大科研人员跨越时空的限制,实现自由、畅通地交流互动。欢迎老师同学们提供会议信息(会有礼品赠送),学会、期刊、会议组织方商谈合作,均请联系王女士:18612651915(微信同)。
投稿、荐稿、爆料:Editor@scisight.cn