
第一作者:马科
通讯作者:代成义
通讯单位:西北大学化工学院
论文DOI:10.1021/acscatal.3c04707
随着石油资源的日益紧缺,甲醇制烯烃 (MTO) 工艺作为一种生产低碳烯烃的非石油路线受到了广泛关注。大量研究表明,MTO反应遵循烃池(HCP)机理,其中环戊二烯基物种、多甲基苯(PMBs)和相应的碳正离子已被确定为活性HCP物种。基于HCP机理,双循环机理也被进一步提出,即烯烃循环和芳烃循环。烯烃循环主要生成丙烯和高级烯烃,而芳烃循环主要生成乙烯和少量丙烯。这两个循环都有助于MTO转化。然而,HCP物种作为芳烃循环中的活性中间体,还可以与烯烃或甲醇反应,通过氢转移生成多环芳烃(PAHs)。这些PAHs会使催化剂迅速失活。甲醛作为甲醇氢转移的产物,通过Prins反应与烯烃反应生成二烯。随后,二烯和甲醛发生类似的脱水缩合反应,形成环戊二烯。环戊二烯发生氢转移和扩环生成芳烃,促进芳烃循环。此外,甲醛还会与芳烃偶联,加速芳烃环化为多环芳烃,导致催化剂快速失活。
甲醛催化氧化技术依靠氧化物表面的氧空位(OV)在室温下可将O2活化成表面吸附的活性氧(Oad)物种。Oad物种可以将甲醛完全氧化为CO2。其次,Oad物种也是消除积碳的有效反应物。一个重要的问题是是否可以使用富氧空位的氧化物来活化CO2以提供Oad物种来选择性地消除MTO过程中产生的甲醛并控制积碳的形成,从而延长催化剂寿命并调节MTO反应的产物分布。

Figure 1. XRD patterns of ZrO2, ZnZrOx, and ZnCeZrOx (a) and of SA, ZrO2/SA, ZnZrOx/SA, and ZnCeZrOx/SA (b).

Figure 2. O 1s XPS spectra (a), EPR spectra (b), H2-TPR profiles (c) and CO2-TPD profiles (d) of ZrO2, ZnZrOx, and ZnCeZrOx; CO2-TPD profiles (e) of SA, ZrO2/SA, ZnZrOx/SA, and ZnCeZrOx/SA; CO2-TPSR profiles (f) of ZrO2/SA, ZnZrOx/SA, and ZnCeZrOx/SA.

Figure 3. Schematic diagram (a) of the consumption of lattice oxygen, filling of oxygen vacancies and consumption of filling oxygen in ZnCeZrOx. 1st H2-TPR profiles (b), CO2-TPO profiles (c), and 2nd H2-TPR profiles (d) of ZnCeZrOx.

Figure 4. Methanol conversions and product distribution as a function of time on stream (TOS) in the MTO reaction on SA (a) and ZnCeZrOx/SA (b) under N2 atmosphere and SA (c), ZnCeZrOx/SA (d) under CO2 atmosphere. Reaction conditions: 400 °C, WHSV = 1 h–1, N2 or CO2 =10 mL·min–1.

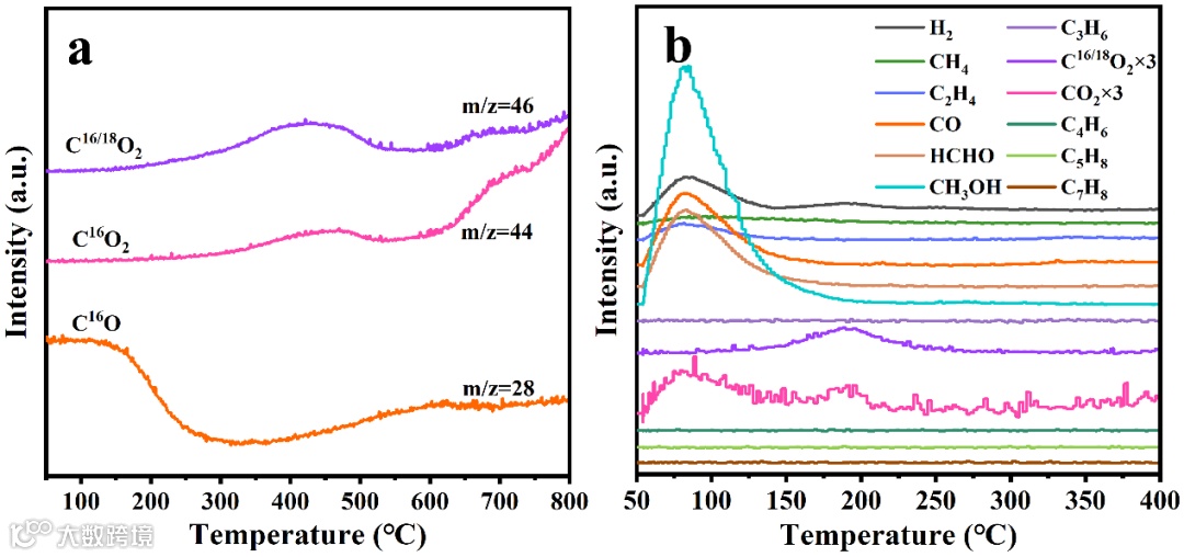
Figure 5. (a) CO-TPSR of 18O-labeled ZnCeZr16/18Ox and (b) CH3OH-TPD curve of 18O-labeled ZnCeZr16/18Ox/SA.

Figure 6. Investigation of the coke-elimination effect of CO2 over SA and ZnCeZrOx/SA catalysts (a) and TG curves of SA before and after N2 and CO2 treatment (b). GC-MS chromatograms of soluble deposited coke species on (c) SA and ZnCeZrOx/SA after MTO reaction for 3 h under N2 and CO2 atmospheres and (d) after adding 0.1 g of ZnCeZrOx to the deactivated SA before and after CO2 treatment.

Figure 7. In-situ IR spectra of SA under N2 (a) and CO2(b) atmosphere and ZnCeZrOx/SA in N2 (c) and CO2(d) atmosphere during the MTO reaction.
总之,这项工作提出了一种抑制积碳的策略。使用ZnCeZrOx/SA在CO2气氛下进行MTO反应。结果表明,CO2在富含OV的ZnCeZrOx上形成的Oad物种可以显著抑制积碳。催化剂寿命是单一SA的3.4倍,低碳烯烃选择性达到87.1%。在OV浓度和Oad物种的量之间以及Oad物种的量和积碳速率之间观察到线性关系。同位素标记实验、GC-MS和原位FTIR研究的结果表明,Oad物种选择性氧化甲醛,从而阻止甲醛和烯烃通过Prins反应生成PAHs。此外,Oad物种消除了部分积碳前驱体(PMBs和PMNs)。该策略同时抑制芳烃循环并改变芳烃循环与烯烃循环的比例,从而实现了59.6%的高丙烯和丁烯选择性。这项工作强调了OV在CO2参与MTO反应中的重要作用,为提高催化剂寿命和调节产物分布提供了可行的策略。
马晓迅, 西北大学化工学院二级教授, 博士生导师。国家碳氢资源清洁利用国际科技合作基地主任、陕北能源先进化工利用技术教育部工程研究中心主任、陕西省洁净煤转化工程技术研究中心主任、陕北能源化工产业发展协同创新中心主任。主要研究方向为碳氢资源清洁高效转化利用、CO2捕集与转化利用、粉-粒流化床/喷动床技术、烟气脱硫/脱硝技术、化工过程优化和全生命周期分析等领域的科学研究与技术开发。主持在研或完成国家自然科学基金重点项目、国家 863 计划、国家国际科技合作、科技支撑计划等国家级项目/课题10余项, 发表论文 300 余篇, 获授权国家发明专利 100余件、省部级科技奖一、二等奖等三项。
代成义,西北大学化工学院教授,博士生导师,陕西省高层次人才引进计划特聘专家,主持在研或完成国家重点研发计划项目课题 2 项、国家自然科学基金面上项目 1 项, 国家自然科学基金青年项目 1 项,获辽宁省优秀博士学位论文。主要研究方向为:金属分子筛双功能催化剂的设计合成及应用;C1催化转化制高附加值化学品。在Advanced Functional Materials, ACS Nano, ACS Catalysis, Chemical Engineering Journal等期刊发表论文60余篇;获授权国家发明专利20余件,国际专利1件。
马科,西北大学化工学院,代成义教授2021级硕士研究生。主要研究方向为甲醇制烯烃。研究生期间以第一作者及共同第一作者在ACS Catalysis、Fuel发表论文2篇。
声明
“邃瞳科学云”直播服务
扫描二维码下载
邃瞳科学云APP

