
第一作者:李佳玉(吉林大学博士生)
通讯作者:李国栋(吉林大学),高瑞芹(宁波理工学院), 李秋菊(第三军医大学)
作者单位:吉林大学,清华大学,宁波理工学院,第三军医大学等
本研究通过原位表征技术和密度泛函理论(DFT)计算揭示了金属氧化物半导体中晶格氧在氢气传感反应中的关键作用。研究发现,晶格氧不仅参与了传感过程,而且其参与程度可以通过氧p带中心的位置进行调节。这些发现对于理解氢气传感机制和开发高性能气体传感材料具有重要意义。
此外,Ge掺杂SnO2纳米纤维表现出极高的氢气响应值(S = 39.2 对于 500 ppm H2),良好的选择性和快速的响应(< 2 s 对于 0.1% H2),可以满足实际应用需求。
图1: 结构表征。展示了SGO和SO的XRD图谱、拉曼光谱、Sn 3d XPS能谱、TEM图像和元素分布图,揭示了Ge掺杂导致的晶格收缩、结构畸变和氧空位浓度的增加。

图2: 气敏性能。展示了SGO基传感器对不同浓度H2的响应-恢复曲线、线性相关性、对1000 ppm H2的响应-恢复时间、对H2的选择性以及动态循环稳定性和长期稳定性,证明了SGO基传感器优异的氢气检测性能。

图3: 电子结构。通过能带图、O 1s XPS能谱和O2-TPD曲线,分析了SGO和SO的电子结构及其对吸附氧的影响,揭示了Ge掺杂如何通过调节能级结构增加了吸附氧的数量。

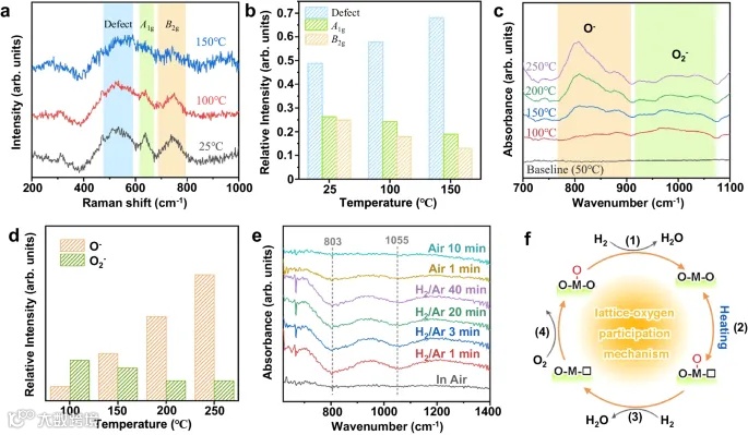
图4: 动态反应过程。利用原位拉曼光谱和原位DRIFTS分析了SGO在不同温度和不同气氛下的表面状态变化,揭示了晶格氧在氢气传感反应中的动态转化过程。
1. 利用原位拉曼光谱和原位DRIFTS证实了晶格氧在氢气传感反应中的直接参与,为气体传感机制的理解提供了新的视角。
2. 通过DFT计算,阐明了晶格氧参与程度的调节机制,为设计新型气体传感材料提供了理论指导。
3. Ge掺杂SnO2纳米纤维展现出高达39.2的氢气响应值、良好的选择性和快速的响应(< 2 s 对于 0.1% H2),可以满足实际应用需求。
在本论文中,作者采用了密度泛函理论(DFT)计算来深入理解材料的电子结构和气体传感机制。
密度泛函理论(DFT)计算

图 5:论文中通过DFT计算来支持实验观察结果,并进一步探索了晶格氧在气体传感反应中的作用。DFT计算表明,Ge掺杂能够引起SGO晶格的畸变,从而影响氧p带中心的位置。这种变化有助于调节晶格氧向表面吸附氧的转化,进而影响气体传感反应的效率。
计算结果还显示,SGO的氧逃逸能量显著低于SO,表明晶格氧更容易从SGO中释放出来,形成活性的吸附氧物种,这与实验中观察到的高氢气响应值相一致。
标题:Essential role of lattice oxygen in hydrogen sensing reaction
DOI:10.1038/s41467-024-47078-x
李国栋,吉林大学化学学院教授,博士生导师。2001年于吉林大学化学学院取得理学博士学位。1999-2001香港科技大学访问学者,2001年起就职于吉林大学化学学院。发现了最细的单壁碳纳米管及其超导性质。在Nature、Science等杂志上发表SCI论文100余篇。相关成果曾获教育部自然科学一等奖(2012年,第二完成人)和上海市自然科学奖一等奖(2015年,第四完成人)。
欢迎关注我们,订阅更多最新消息
“邃瞳科学云”推出专业的自然科学直播服务啦!不仅直播团队专业,直播画面出色,而且传播渠道多,宣传效果佳。
“邃瞳科学云"平台正在收集、整理各类学术会议信息,欢迎学会、期刊、会议组织方择优在邃瞳平台上进行线上直播,希望藉此帮助广大科研人员跨越时空的限制,实现自由、畅通地交流互动。欢迎老师同学们提供会议信息(会有礼品赠送),学会、期刊、会议组织方商谈合作,均请联系王女士:18612651915(微信同)。
投稿、荐稿、爆料:Editor@scisight.cn