第一作者:范雅梅、李荣坦
通讯作者:傅强 研究员
通讯单位:中国科学院大连化学物理研究所
论文DOI:doi.org/10.1038/s41467-024-47397-z
本研究发现负载于γ-Al2O3表面的Cu纳米颗粒在室温下可自发分散为Cu单原子。表征结果表明,潮湿环境下氧化物载体表面的羟基化和Cu-OH物种的形成是担载Cu纳米颗粒室温分散的主要原因。O2和H2O共同作用下诱导形成羟基化的Cu物种,加速Cu原子在γ-Al2O3表面的扩散;另一方面,大多数氧化物载体表面(如γ-Al2O3、SiO2和CeO2等)在潮湿气氛中可以羟基化形成丰富的表面OH基团,捕获迁移的Cu物种。气态H2O的“推”(迁移)和“拉”(锚定)效应促进了室温下Cu纳米颗粒向Cu单原子的结构转变,进而增强了其在逆水煤气变换(RWGS)和一氧化碳选择氧化(CO-PROX)反应中的催化活性。本研究揭示了H2O在负载型金属纳米催化剂动态结构演变中的重要作用,开发了一个室温下采用O2-H2O处理实现烧结Cu基催化剂再分散的简易策略,避免了传统的高温再生过程。
负载型金属纳米催化剂在高温苛刻反应条件下容易发生烧结,导致催化剂失活,这是多相催化领域一个不可避免的问题。为逆转烧结过程,研究者们开发了不同策略来重新分散活性金属物种,恢复其催化性能。烧结金属的再分散很大程度取决于金属与载体之间的相互作用,具有不同表面缺陷或官能团(氧空位、OH、杂原子等)的载体通常与负载金属组分之间具有强相互作用进而可以稳定高分散金属物种。此外,动力学因素也起着不可忽视的关键作用。再分散过程常在特定气体环境(如CH3I、O2、NH3等)中进行,这些气体分子可以与金属原子形成迁移物种在载体表面扩散或通过气相迁移来实现动态分散。这些过程往往需要高温条件,探索温和简单条件下的再分散途径仍是一个很大的挑战。
Cu的熔点低(1083 °C),相应的许蒂希温度(Hüttig temperature,174 °C)和塔曼温度(Tammann temperature,405 °C)都比较低,因而赋予了Cu原子较高流动性。这一方面使Cu基催化剂在催化反应过程中易于发生烧结失活,另一方面也为Cu物种在温和条件下的再分散提供了可能。近年来的一些研究发现了Cu颗粒室温分散的现象,但Cu颗粒在室温下再分散的微观机制以及气氛与金属原子/载体之间的动态相互作用对金属再分散过程的影响尚不清楚,因此有待深入研究。
1) 发现负载于γ-Al2O3表面的Cu纳米颗粒在室温下可自发分散为Cu单原子,空气中的O2和H2O是诱导γ-Al2O3表面Cu纳米颗粒发生室温分散的主要因素。
2) O2-H2O协同作用主要表现在两方面:一方面从动力学角度,O2-H2O协同诱导形成Cu-OH物种,推动Cu原子在γ-Al2O3表面扩散(加速迁移过程)。另一方面,从热力学角度,H2O的存在增强了大多数可羟基化的载体表面(如γ-Al2O3、SiO2和CeO2等)羟基化程度,有助于捕获Cu-OH迁移物种(增强锚定能力)。
3) 相比于Cu颗粒,O2-H2O处理形成的高分散Cu物种在逆水煤气变换(RWGS)和一氧化碳选择氧化(CO-PROX)反应中表现出了更高的反应活性,且烧结的Cu催化剂可通过室温下O2-H2O处理实现催化剂再生。
采用不同温度下的煅烧处理拟薄水铝石前驱体制得γ-Al2O3载体,记作AlOOH-T(其中T代表煅烧温度,分别为500 °C和900 °C)。利用湿浸渍法在γ-Al2O3上负载了质量分数为2 wt.%的Cu纳米颗粒(Cu NPs),标记为2Cu/AlOOH-T。紫外-可见光谱(UV-Vis)中约570 nm处的吸收峰是金属态Cu NPs的特征表现(图1a)。暴露在空气中放置一周后金属Cu物种的吸收峰消失(图1a),同时观察到归属于Cu2+物种的600 - 800 nm范围内出现新的宽吸收峰出现,表明Cu NPs可能转化为较小的Cu物种。原位UV-Vis光谱实验监测了2Cu/AlOOH-900样品在室温下暴露于空气各组分(包括N2、Ar、CO2、O2、Ar-H2O和O2-H2O)时的Cu物种结构演变。如图1a所示,在N2、Ar和CO2气氛中,金属Cu NPs的特征吸收峰保持稳定;而在O2、Ar-H2O和O2-H2O气氛中金属Cu NPs的特征吸收峰减弱甚至完全消失。原位紫外结果表明,室温下空气中Cu NPs的再分散可能是由氧化性气体组分如O2、H2O以及二者共同作用所致。

图 1 (a) 室温下2Cu/AlOOH-900样品经不同气氛(空气、N2、Ar、CO2、O2、Ar-H2O和O2-H2O)处理30分钟后的原位紫外光谱图。(b) 室温下2Cu/AlOOH-900样品经不同气氛(O2、Ar-H2O和O2-H2O)处理24小时后的EPR谱图。(c)2Cu/AlOOH-900,(d)室温O2处理24小时、(e)室温Ar-H2O处理24小时、(f)室温O2-H2O处理24小时后的HAADF-STEM图像。
原位UV-Vis探究了固定波长570 nm处Cu物种在O2、Ar-H2O和O2-H2O气氛中的演变,曲线的斜率(-ΔKM/Δt)可用于衡量Cu NPs在不同气氛中分散速率的差异。如图2a所示,不同气氛下早期阶段(1000秒)的再分散速率依次为O2-H2O(4.5 × 10-4)> Ar-H2O(1.8 × 10-4)> O2(2.1 × 10-5),表明O2-H2O气氛加速了Cu NPs再分散过程。随后,进行了准原位X射线吸收光谱(XAS)实验,以确定在O2、Ar-H2O和O2-H2O气氛中Cu的化学状态。如图2b所示,2Cu/AlOOH-900的扩展X射线吸收精细结构(EXAFS)谱中位于2.2 Å的峰归属于Cu-Cu键,表明新鲜样品中以金属Cu为主。在O2-H2O中处理4小时,Cu-Cu键的峰消失,同时在1.5 Å处典型的Cu-O特征峰出现。而在O2和Ar-H2O中即使处理时间延长至8小时,金属Cu的特征峰仍存在。这些结果进一步表明,在O2-H2O气氛可加速Cu纳米颗粒再分散为Cu单原子。

图2(a)不同气氛中处理的2Cu/AlOOH-900样品的原位UV-Vis光谱。(b) 2Cu/AlOOH-900样品在O2、Ar-H2O和O2-H2O气氛中处理4小时和8小时,以及铜箔和氧化铜(CuO)标准样品的准原位EXAFS光谱图。(c) 2Cu/AlOOH-900样品在O2、Ar-H2O和O2-H2O气氛中处理4小时和8小时准原位Cu 2p谱图。(d)基于Cu 2p计算的不同气氛下Cu-OH比例与预处理时间的关系。
在新鲜2Cu/AlOOH-900样品中,观察到位于932.4 eV的Cu 2p3/2峰(图2c),这归属于Cu+/Cu0物种。经过4小时的O2、Ar-H2O和O2-H2O气氛处理后,Cu 2p3/2主峰移至933.4 eV,可归属为CuO中Cu2+物种的特征峰。而在O2和Ar-H2O处理4小时的样品中,Cu 2p3/2谱图中932.4 eV处的峰表明样品中主要存在Cu+物种。而经Ar-H2O和O2-H2O气氛处理4小时的样品中,除了Cu+/Cu2+外,Cu 2p3/2谱图中还出现了935.6 eV的特征峰,对应于羟基化Cu(Cu-OH)物种(图2c)。随着处理时间从4小时延长到24小时,Ar-H2O和O2-H2O中Cu-OH的比例分别从4.4%逐渐增加到7.1%,以及从14.3%增加到21.7%。与在Ar-H2O和O2中处理的样品相比,O2-H2O处理样品中Cu-OH物种占总Cu物种的比例明显更高,这表明在O2-H2O中容易形成Cu-OH物种(图2d)。若Cu NPs首先在O2中氧化成CuO,然后在室温下暴露于Ar-H2O中处理24小时,Cu-OH物种的比例达到10.4%,这比直接暴露于Ar-H2O中形成的Cu-OH物种占比(7.1%)要高,但低于暴露于O2-H2O的Cu-OH物种比例(21.7%)。上述结果表明,Cu NPs在O2-H2O中的再分散可能通过以下途径发生:首先,Cu被氧化成Cu-O物种,随后再被羟基化成原子级的Cu-OH物种,并最终被载体捕获。结合EPR、XAS和UV-Vis表征结果,可以推断Cu-OH物种的形成是促进Cu NPs再分散的关键。

图3 AlOOH-900与Cu(OH)2物理混合后加水搅拌24小时前后的(a)XRD谱图和(b)EPR谱图。(c)AlOOH-900与Cu(OH)2物理混合物和(d)加水浸渍搅拌24小时后的EDX mapping图。AlOOH-900与Cu(OH)2物理混合物加水浸渍搅拌24小时后的HADDF-STEM图(e)比例尺为100 nm和(f)比例尺为10 nm。(g)迁移物种对Cu纳米粒子再分散过程的影响机制图。
以上实验结果表明Cu-OH物种的形成可促进Cu颗粒的室温再分散。据此分析,易形成Cu-OH的Cu前驱体更易发生Cu颗粒的室温再分散。将尺寸近似的商品化Cu、CuO和Cu(OH)2颗粒与AlOOH-900载体颗粒物理混合后,室温下在Ar-H2O气氛中处理24小时。EPR结果表明(图3a),以Cu(OH)2为前驱体在单位时间产生的高分散Cu2+的量远高于Cu颗粒和CuO,进一步证明了Cu-OH的生成才是实现Cu颗粒快速分散的关键。图3b表明,这一再分散过程在液相水体系中可以得到加强。SEM-Mapping(图3c,d)和HADDF-STEM(图3e,f)结果表明,Cu(OH)2高分散在AlOOH-900载体表面。上述结果表明,与其他Cu中间体(如CuOx)相比,Cu-OH物种的形成有助于Cu室温下的快速迁移(图3g),这也是Cu纳米颗粒在潮湿环境条件下容易发生再分散的原因。与此同时,H2O处理还会促使AlOOH-900载体表面羟基化程度增加,这也可能对再分散过程造成影响。
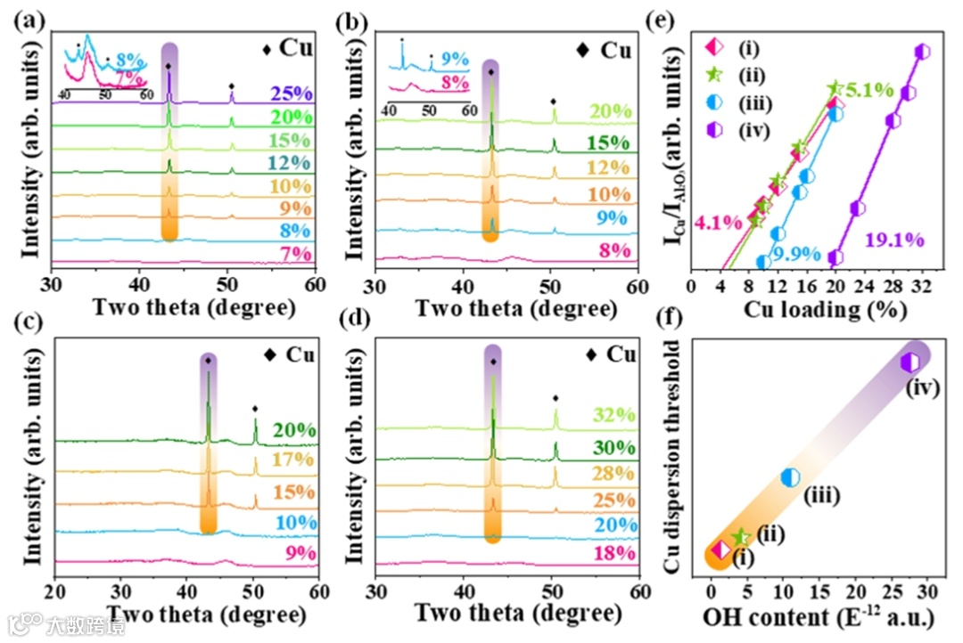
根据谢有畅等人提出的自发单层分散理念,在一些情况下催化剂能够以原子或团簇等形式单层分散在载体表面上而无法通过XRD检测到。单层活性组分所具有的最高量定义为分散阈值,负载量高于该阈值时就可以在XRD中观察到活性组分的衍射峰。基于XRD外推法计算了xCu/AlOOH-900载体经O2和O2-H2O气氛处理后Cu在其上分散阈值的变化(图4a, b和e),结果表明O2-H2O气氛处理可提高Cu在AlOOH-900表面的分散阈值(从4.1%提高到5.1%)。随着载体表面OH化程度的提高,Cu的分散阈值进一步提高(图4c, d, e和f)。以上结果充分证明了γ-Al2O3载体表面的OH与Cu的分散密切相关,OH含量越高有利于Cu的分散。

图4(a)xCu-AlOOH-900样品经O2处理,(b)xCu-AlOOH-900经O2-H2O处理,(c)xCu-AlOOH-900-H2O2经O2处理,(d)xCu-AlOOH-500经O2-H2O处理后样品的XRD和(d)Cu分散阈值与γ-Al2O3载体表面OH关系图。
TEM结果表明h-BN和Si3N4表面初始尺寸近似的Cu纳米颗粒(约为6 nm)经过室温O2-H2O处理24小时后,在h-BN载体表面几乎没有观察到Cu颗粒,而在Si3N4载体表面仍存在大量未分散的Cu颗粒(图5a-d)。这些载体的H-D交换实验表明,O2-H2O处理显着增加了h-BN载体表面上的OH含量(图5e)。Si3N4载体表面几乎没有OH,经O2-H2O处理后载体表面的羟基化程度也没有增加(图5e)。对载体的拓展性实验结果表明,在绝大多数可羟基化的载体表面,包括SiO2、ZrO2、TiO2、CeO2、MCM-41、SSZ-13和Beta分子筛等,Cu颗粒都可发生室温再分散。而经O2-H2O处理后仍不能被羟基化的载体表面,如纳米BN及某些碳材料等不能发生Cu的室温再分散过程。上述结果清楚地证明只有可被羟基化的载体表面才可实现Cu纳米颗粒的室温再分散(图5f)。

图5(a)2Cu/BN、(b)2Cu/Si3N4、(c)2Cu/BN经O2-H2O处理24小时以及(d)2Cu/Si3N4经O2-H2O处理24小时的TEM图。(e)BN和Si3N4载体经O2和O2-H2O处理24小时后的H-D交换曲线。(f)水促进的Cu纳米颗粒室温分散机制图。
如图6a所示,450 °C的RWGS反应稳定性测试中新鲜的2Cu/AlOOH-900催化剂对CO2的转化速率为5 mmolCO2/gcat·h,而O2-H2O处理后的催化剂将CO2转化率提高了7倍左右(~ 34 mmolCO2/gcat·h)。随着反应时间的延长,CO2的转化速率逐渐降低,9小时内CO2的转化速率由34降低到10 mmolCO2/gcat·h,表明高分散的Cu物种在反应过程中发生了聚集。终止反应并将催化剂暴露于室温O2-H2O气氛处理或暴露空气24小时后,二次稳定性测试中CO2的转化速率又恢复到了初始状态(~ 33 mmolCO2/gcat·h)。120°C下O2-H2O处理前后的5Cu/CeO2催化剂催化CO-PROX反应性能随时间的变化结果如图6b所示。O2-H2O处理的5Cu/CeO2催化剂在反应过程中转化率和选择性随着时间的延长逐渐降低,反应12小时内CO转化率从78%降低到72%,O2选择性从74%降低到56%。在反应中发生烧结而导致催化剂性能的降低,通过在室温下进行简单的O2-H2O处理可以轻松实现催化剂的再生。以上反应结果表明,Cu基催化剂在反应过程中容易发生烧结和失活,O2-H2O处理可以作为烧结Cu基催化剂再生的一种简易手段。

图6 (a)450 °C 时2Cu/AlOOH-900及O2-H2O处理后的2Cu/AlOOH-900催化剂RWGS反应稳定性能测试图。(b)120 °C 时5Cu/CeO2及O2-H2O处理后的5Cu/CeO2催化剂CO-PROX反应稳定性能测试图。
高温氧化分散(Oxidative redispersion)在多相催化中长期被用来实现烧结金属催化剂的再生以及高分散金属单原子和团簇催化剂的制备。然而这些过程往往需要高温条件,探索简单温和条件下的分散策略仍是一个很大的挑战。这个工作巧妙利用H2O气氛的作用,形成Cu-OH物种以及载体表面的高度羟基化,从而实现了Cu在室温下的快速迁移分散。这个工作带给我们几点思考和启示:(1)气氛诱导结构演变的过程中,除了热力学因素,动力学因素也是不可忽视的。动力学上的促进作用可能会产生意想不到的变化,如结构变化的阈值温度会大幅度降低(室温),误导催化反应活性位结构的确认;(2)气氛诱导负载型催化剂结构演变的过程中,气氛不仅仅会与负载组分相互作用,也可能会诱导载体的重构进而影响负载组分,这一点往往也是容易被忽略的;(3)H2O可能是催化反应过程中无法避免的组分(反应物、产物、杂质或是溶剂等),在涉H2O的催化过程中,不仅需要考虑H2O参与反应过程,还需要关注H2O对活性位结构的影响。
第一作者介绍
范雅梅,2019年硕士毕业于华南理工大学,现为中国科学技术大学与中国科学院大连化物所联合培养博士研究生,导师为傅强研究员。博士阶段的研究方向主要从事于负载型金属纳米颗粒的再分散机制研究。论文结果以第一作者先后发表在Nature Commun., ACS Catal., Inorg. Chem., Eur. J. Inorg. Chem.等期刊。
李荣坦,2016年本科毕业于中国科学技术大学化学物理系,2023年博士毕业于中国科学院大连化学物理研究所(师从包信和院士和傅强研究员),同年留组开展博士后研究,主要从事金属/氧化物与氧化物/氧化物界面催化及表界面结构动态演变及原位表征的研究。先后以第一作者(包含共一)在Nat. Commun., J. Am. Chem. Soc., ACS Catal., Chem. Commun., Nano Res.等期刊发表论文7篇,获得大连化学物理研究所优秀博士后(三等)和中国博士后科学基金会第74批面上资助。
通讯作者介绍
傅强,中国科学院大连化学物理研究所研究员,博士生导师,纳米与界面催化研究中心主任,中国化学会会士。获得国家自然科学基金杰出青年基金资助,入选创新人才推进计划和第四批国家“万人计划”,获得全国创新争先奖牌(团队,核心成员)、辽宁省自然科学一等奖、国家自然科学一等奖等奖励。目前担任Journal of Physical Chemistry Letters副主编,以及多家国际期刊的编委会成员。主要研究方向为催化与表界面化学,发展和利用先进的表面与界面研究方法在原子和分子层次上理解多相催化和电化学反应过程,探讨多相催化和能源化学中的微观反应机制并实现表界面调控。尤其重视发展和利用多种先进的表界面表征手段(XPS,STM,PEEM/LEEM,AFM,同步辐射技术,光谱技术等)原位、动态、实时监测气固和液固界面结构变化和反应过程。具体包括界面效应(如SMSI作用,界面限域效应等)在重要催化反应(如甲烷干重整,CO加氢,CO2加氢,氨合成,CO氧化等)中的作用,模型氧化物体系中的CO和H2等分子活化机制,电化学器件(离子电池,超级电容器等)的在线表界面表征,近常压表面表征新技术的开发等方向。课题组长期招收优秀博士生和博士后,待遇优渥,研究所科研和生活配套设施齐备,有意者可将个人简历发送至qfu@dicp.ac.cn。
欢迎关注我们,订阅更多最新消息
“邃瞳科学云”推出专业的自然科学直播服务啦!不仅直播团队专业,直播画面出色,而且传播渠道多,宣传效果佳。
“邃瞳科学云"平台正在收集、整理各类学术会议信息,欢迎学会、期刊、会议组织方择优在邃瞳平台上进行线上直播,希望藉此帮助广大科研人员跨越时空的限制,实现自由、畅通地交流互动。欢迎老师同学们提供会议信息(会有礼品赠送),学会、期刊、会议组织方商谈合作,均请联系王女士:18612651915(微信同)。
投稿、荐稿、爆料:Editor@scisight.cn