
第一作者:朱鹏熹
通讯作者:丁汉平,董培,丁冬
通讯单位:爱达荷国家实验室,乔治美森大学,俄克拉荷马大学
论文DOI:10.1038/s41467-024-47595-9
无氧甲烷脱氢芳构化反应可以在基于钼-沸石的热化学催化剂上有效共产生氢气和苯,这是一种非常有前景的天然气升级技术。然而,甲烷的低转化率、选择性差和催化剂的低耐久性限制了其在工业上的广泛应用。这里,通过添加铂-铋(Pt-Bi)合金团簇到沸石上,形成的三金属催化剂能够显著提升甲烷活化和碳碳键的耦合反应,从而同时增加转化率和选择性。这种双金属合金团簇与钼具有明显的协同效应:沸石外表面的钼碳化物(Mo2C)上形成的CH3*能够在Pt-Bi颗粒表面有效地进行C-C耦合,形成C2化合物,这是低聚化的关键中间体。这一反应过程与沸石孔内Mo的催化作用是并行发生的。在710°C的实验条件下,该催化剂实现了18.7%的甲烷转化率和69.4%的苯选择性。在95%甲烷/5%氮气的原料下,催化剂表现出了良好的稳定性,2小时后仅有9.3%的活性下降,并能在氢气再生后迅速恢复至98.6%的活性。增强的催化效率得益于钼的协同效应和合金的配位作用,这一点通过深入的机制研究和密度泛函理论(DFT)计算得到了证实。
芳烃,特别是BTX芳烃(苯、甲苯和二甲苯),是粘合剂、涂料、包装和服装等广泛消费产品的重要基础材料。传统的芳烃生产主要通过石脑油蒸汽裂解、催化重整和焦炉轻油等方法,这些过程需要大量合成气,并产生大量二氧化碳(CO2)排放,增加了化学过程的复杂性。相对而言,甲烷非氧化脱质子化反应,即甲烷脱氢芳构化(MDA)反应,通过这一化学过程直接将天然气转化为芳烃和氢气,已被广泛研究以去碳化化工生产。
在钼/沸石催化剂上通过这一过程实现了有前景的转化率和选择性,为直接甲烷转化开辟了单金属催化剂的新途径。此外,轻芳烃的高选择性取决于沸石的形状选择性。Mo2C与ZSM-5的结合在烷烃芳构化中展示了独特性能,这种催化剂家族在组成和性能上具有高度灵活性,如钼的含量、Si/Al比例和温度的调节,可以实现不同的甲烷转化率和苯的选择性。然而,高转化的热力学限制和严重的结焦问题仍然是这个催化剂应用的主要障碍。最近的研究发现,Pt-Bi双金属催化剂在中等温度下能够实现超过90%的C2选择性,表明Pt位点活跃于甲烷的活化,而Bi则促进C2物种的形成和催化剂的稳定性。这提示我们,通过设计包含不同金属的多功能Mo-X催化剂系统,可能结合各种金属的优点,以达到理想的性能。
1. 本工作通过初湿浸渍法成功制备了负载在ZSM-5上的铂-铋/钼三金属(铂-铋/钼)催化剂,并显著提升了甲烷活化和碳碳键的耦合反应,进而实现了转化率和选择性的提升。
2. 铂-铋与钼之间的协同作用提高了低聚化的C2关键中间体的形成,进而促进了在沸石中的布朗斯特酸位点上进行芳构化,生成芳烃和苯;Pt-Bi合金有助于在反应过程中更好地保持Mo物种在沸石通道内的稳定性,有助于提高催化剂的稳定性。
3. 本文结合一系列实验表征与理论计算结果证明,Pt-Bi双金属合金促进甲烷活化和芳构化途径的合理原则,从而形成具有良好活性和稳定性的热化学催化剂,用于MDA应用。
本文双金属Pt-Bi合金与Mo物种之间的协同作用在沸石外表面创造了一个新的(A–B–D)基本反应路径,如图1所示。这一路径与沸石内部的传统(A–C–D)路径相互并行,后者通过酸性质子-Mo-C位点进行。在外表面,Mo2C上C-H键的活化导致甲烷的解离吸附,形成表面的烷基中间体(CH3*)。这些CH3*快速转移到Pt-Bi颗粒表面,接着发生C-H键的断裂形成CH2*,然后两个CH2*物种优先进行C-C耦合反应,而非进行深度脱氢。这种反应方式不仅提高了C2产品的选择性,也延长了催化剂的寿命。同时,Pt-Bi合金还有效地降低了Mo物种的迁移性,有助于在反应过程中保持Mo物种在沸石通道内的稳定。

图1 在MDA反应中激活C-H键和C-C键耦合的初级反应途径的示意图
在图2A-C中展示了Pt-Bi合金、Mo离子、沸石表面及其孔隙的分布情况。观察结果显示,ZSM-5沸石表面大约三分之二被白色闪亮的纳米粒子覆盖,这些是渗透进来的金属粒子。通过能量色散X射线光谱(EDS)分析(图2D)可知,Mo、Pt和Bi元素分布均匀,其中Pt-Bi粒子的直径约为30纳米,明显大于ZSM-5沸石中十元环(10MR)的孔径(约5.5埃),因此这些粒子主要位于沸石的外表面。Pt和Bi的分布图(图2E)显示了Pt-Bi作为一种金属间合金的结构。进一步研究ZSM-5上Pt-Bi粒子的合金结构时,采用了X射线光电子能谱(XPS)技术来分析氧化态。结果显示(图2F-G),在单独的Pt、Bi和Pt-Bi合金中,Bi 4f和Pt 4f的结合能发生了变化,在合金中Bi 4f的结合能相对于Bi–ZSM-5向低值移动;而Pt 4f的结合能相对于Pt–ZSM-5向高值移动。这些变化表明,合金结构中的Pt和Bi之间存在电子的转移,即所谓的配体效应,这种效应使Pt在结合表面烷基物种时表现得更像单个原子,从而更有效地形成甲基自由基。这种反应方式更有利于CH2-CH2的耦合反应,而不是C-H键的不可控断裂。

图2 新制备的Pt-Bi/Mo/ZSM-5催化剂的表面形貌和氧化态分析
如图3A对比了不同Bi含量的Pt-Bi/Mo催化剂,以确定最佳配比和Pt-Bi的作用。与1%Mo-ZSM5相比,Pt/1%Mo-ZSM5催化剂的甲烷转化率和苯选择性略有提高,这得益于焦炭形成速率的抑制。Bi含量从0.3%增至0.8%时,甲烷转化率和苯选择性由于Pt-Bi合金逐渐形成而进一步提高。尽管在接触时间的变化中观察到催化稳定性有所改善,但Bi含量从1.0%增至1.5%并未进一步提高活性。这是因为金属Bi覆盖了Pt-Bi合金,从而降低了反应活性。因此,Pt-Bi/Mo催化剂中Bi的最佳比例为0.8。此外,我们将三金属1%Pt0.8%Bi-1%Mo/ZSM-5与2%Mo/ZSM-5基准催化剂进行了比较。结果显示,Pt-Bi/Mo/ZSM-5的转化率比典型单金属2%Mo/ZSM高出约25%。这主要得益于未饱和的Pt-Bi位点和由整体效应产生的独特活性中心促进了在Mo2C上CH3的形成。结果图3C显示了不同金属组成催化剂的选择性,三金属催化剂具有最好的苯选择性。这种提高归因于Pt-Bi与Mo之间的协同效应。由Mo2C在沸石外表面形成的CH3中间体可以有效地移动到Pt-Bi颗粒表面进行C-C耦合,形成C2化合物,这是后续低聚反应的关键中间体。这种协同效应比单纯增加Mo含量更有效,因为后者可能会导致催化剂更快速的降解。
图3D说明了连续运行8小时后催化剂的稳定性。转化率下降12.2%,并保持在约16% ,C6产率达到10%以上。因此,这种组合显示了良好的耐用性。图3E为本研究中开发的催化剂的性能与之前基于沸石或其他基材的光催化和热化学催化剂的结果进行了比较。本研究中的Pt-Bi/Mo催化剂在710°C和90分钟后表现出极佳的性能,甲烷转化率约为18.7%,苯选择性约为69.4%。

图3 三金属Pt-Bi/Mo/ZSM-5催化剂的热催化性能
图4A中的绿色虚线框中强调了在反应过程中,Mo碳化物会从内部向外表面迁移且位于外表面的Mo物种容易形成焦炭。因此,活性Mo物种向沸石外表面的迁移是影响催化剂使用寿命的一个关键因素。此外,随着Si/Al比例的提高,沸石中酸性质子-Mo位点和布朗斯特酸位点(BASs)的数量减少,从而导致苯的相对选择性降低。Mo物种流动性的变化进一步放大了这种选择性的改变。以Mo/ZSM-5催化剂为对照组,图4A和4B显示,随着Si/Al比例从25增至140,一些酸性质子-Mo位点及BASs消失,导致苯的相对选择性下降。对于Pt-Bi/Mo/ZSM-5催化剂,我们设想了两种可能情况(见图4C):一是Pt-Bi合金可能增强了Mo物种在沸石通道内的保留,如红色虚线框所示,减轻了随着Si/Al比率增加而导致的C6H6选择性衰减;二是Pt-Bi合金可能促进酸性质子-Mo位点的迁移,如绿色虚线框所描述,加剧了C6H6选择性的衰减。图4D表明,与Mo/ZSM-5催化剂相比,Pt-Bi/Mo/ZSM-5的C6H6选择性衰减更低(42.3%对48.8%),说明Pt-Bi合金减缓了部分活性Mo物种从内部向外表面的迁移。

图4 验证假设:添加Pt-Bi合金到Mo/ZSM5催化剂中,对Mo物种流动性的影响
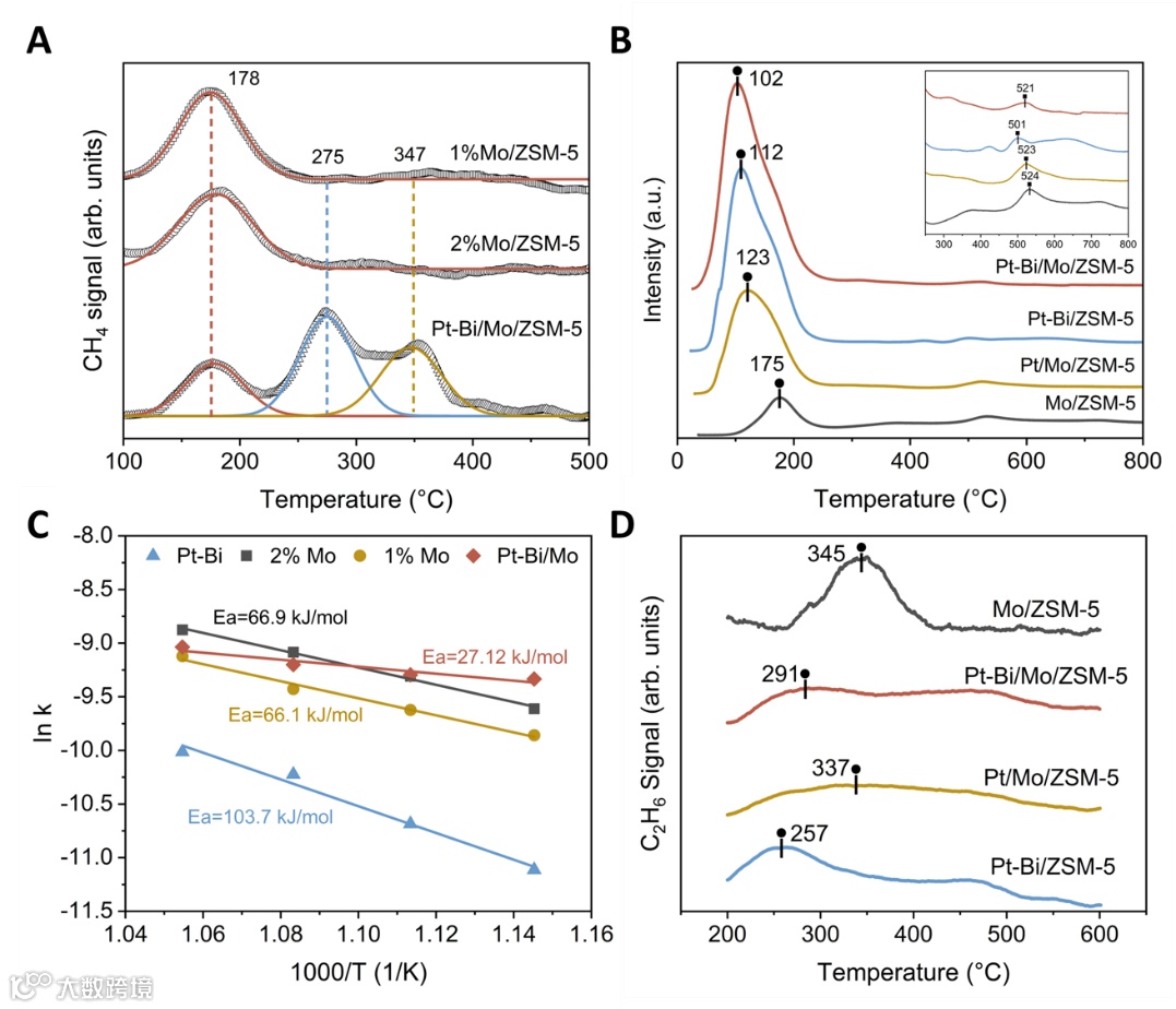
影响反应动力学的两个主要因素是:催化活性位点的数量和活化能(Ea)。通过温度程序解吸(TPD)可以有效分析不同分子种类的解吸动力学(图5A)。通过分析峰面积,与2%Mo/ZSM-5相比,Pt-Bi/Mo的CH4表面覆盖率增加了55%;与1%Mo/ZSM-5相比增加了56%。这一发现与之前讨论的甲烷转化率结果是一致的。
通过温度程序还原(TPR)方法(图5B),显示了Mo催化剂的还原表现出两个主要峰值,分别在175°C和534°C,对应MoO3还原为MoO和MoO还原为金属Mo的过程。当Pt被加入到Mo/ZSM-5中后,这两个峰值位置发生了变化,并且第一个峰显著地向低温移动,这表明Pt的加入促进了钼氧化物的还原,进而生成活化的碳氢原子。引人注目的是,加入Bi到Pt/Mo中进一步降低了钼氧化物的还原温度,第一个峰从123°C降至102°C,这显示了Pt-Bi双金属通过配体效应增强了Mo的还原性。这种调整通过改变双金属合金的电子性质,优化了反应物的吸附和活化过程。
图5C展示了反应速率常数的自然对数(Arrhenius曲线)与反应温度倒数之间的关系。数据表明,1%Mo/ZSM5(66.1 kJ/mol)和2%Mo/ZSM5(66.9 kJ/mol)的活化能非常接近,说明催化剂中不同的活性负载并未影响反应的能垒,因为相同的组分具有相同的过渡态来断裂甲烷中的C-H键。然而,Pt-Bi/Mo催化剂的活化能有显著降低。这一显著差异强有力地证明了Pt-Bi与Mo之间的协同作用显著提升了反应动力学。
为分析反应过程中C2中间体的解吸行为,进行了C2H6-TPD实验。如图6D所示,Mo/ZSM-5的解吸温度最高,说明在Mo2C位点上的C2H6发生了进一步脱氢,生成了CH2、CH和C等物种。相比之下,Pt-Bi/Mo/ZSM-5的解吸温度低于Mo/ZSM-5,这表明Pt-Bi颗粒有助于促进沸石表面Mo-C位点上的表面烷基物种解吸,进而形成甲基自由基。这些甲基自由基(CH3*)随后被转移到Pt-Bi颗粒表面,优先进行C-C耦合,之后在布朗斯特酸位点(BASs)上进行C2中间体的低聚,而不是继续断裂C-H键。

图5 研究促进反应动力学机制的基本表征
如图6所示,所有表面上CH4的第一个C-H键的激活都是高度吸热的,能垒在0.5~0.6 eV之间。由于CH3和H在Mo2C (001)上强烈的结合,该反应在Pt-Bi (111)表面上的吉布斯自由能要低约0.9 eV,从而使反应不那么吸能。随后的CH3分解在这两种表面上有显著不同:在Mo2C (001)上变为放热过程(-0.54 eV),而在Pt-Bi (111)上则略为吸热(0.14 eV)。后续步骤,如H和CH2在Mo2C (111)上重组生成气态H2和吸附的C2H4则变为吸热过程。相反,在Pt-Bi (111)上这些步骤在热力学上更有利。对于Pt-Bi-MoC复合模型,反应自由能低于Pt-Bi (111)和Mo2C (001)。这种降低得益于边缘的Mo位点在C-H键激活时锚定和稳定CH3基团,且随后的C2H4形成将遵循与Pt-Bi (111)相似的路径。因此,Pt-Bi-MoC不仅提高了反应性,而且随着反应的进行,迁移到Pt-Bi的碳质物种更可能继续形成C2H4。

图6 能量景观和DFT优化配置,其中在Pt-Bi (111)(红色虚线)、Mo2C (001)(黑色虚线)和Pt-Bi-MoC(实绿线)表面上CH4转化为C2H4
本研究成功展示了双金属Pt-Bi合金簇与Mo之间的协同作用,显著提高了催化剂的性能和寿命。1%Pt-0.8%Bi/1%Mo/ZSM5催化剂在710°C下,对95% CH4流的转化率为18.7%,苯的绝对选择性为69.4%,且催化剂还表现出良好的稳定性。催化剂经过系统的合成和测试表明,双金属Pt-Bi合金和Mo物种之间的协同作用起着关键作用。首先,活化能显著降低以促进反应动力学。除了通过沸石笼中的Mo位点的常规反应路径外,沸石表面的三金属催化剂簇添加了另一条可控的反应链路径,例如吸附、解离、耦合和芳构化。另外,Pt-Bi的协同效应在缓解焦炭问题上也非常重要。Pt-Bi合金可能增强了反应过程中Mo物种在沸石通道内的保留,从而抑制了C6H6选择性的衰减率。总之,这项工作提供了一种用于MDA反应的三金属催化剂,其Pt-Bi和Mo之间的协同效应为设计高效耐用的热化学催化剂提供了一些新的见解。
朱鹏熹,乔治梅森大学董培助理教授课题组博士研究生,研究方向为甲烷脱氢芳构化和固体氧化物电池、电解池。
董培,乔治梅森大学助理教授,曾在南开大学获得微电子专业本科学位,博士毕业于莱斯大学,主要研究领域是先进材料的设计与合成,能源,和生物医学。
丁冬,爱达荷国家实验室高级研究员,本科、博士毕业于中国科学技术大学,佐治亚理工博士后,主要从事固体氧化物电池,催化剂,先进制造等科研工作。
丁汉平,俄克拉荷马大学大学助理教授,研究方向主要是电化学能量转化和储存,电催化剂,天然气热催化升级。丁教授毕业于吉林大学和中国科学技术大学,并在南卡罗来纳大学获得机械工程博士学位,毕业后在科罗拉多矿业大学进行博士后研究(2014-2017),爱达荷国家实验室作为Research Scientist从事催化剂和固体氧化物电解池方面的工作。2022年,加入俄克拉荷马大学航空机械系,组建独立课题组,目前已获得美国能源部的重大科研支持从事电解池制氢,二氧化碳转换,和电催化剂甲烷升级等项目。
课题组主页: https://sites.create.ou.edu/ding/
欢迎关注我们,订阅更多最新消息
“邃瞳科学云”推出专业的自然科学直播服务啦!不仅直播团队专业,直播画面出色,而且传播渠道多,宣传效果佳。
“邃瞳科学云"平台正在收集、整理各类学术会议信息,欢迎学会、期刊、会议组织方择优在邃瞳平台上进行线上直播,希望藉此帮助广大科研人员跨越时空的限制,实现自由、畅通地交流互动。欢迎老师同学们提供会议信息(会有礼品赠送),学会、期刊、会议组织方商谈合作,均请联系潘经理:18612651915(微信同)。
投稿、荐稿、爆料:Editor@scisight.cn