
第一作者:Wensheng Fang, Ruihu Lu
通讯作者:夏宝玉,王子运,Fu-MinLi
通讯单位:华中科技大学,新西兰奥克兰大学
论文DOI:https://doi.org/10.1002/anie.202319936
揭示动态重构过程并设计先进的铜(Cu)催化剂用于CO2RR生产乙烯为碳中和和促进可再生能源储存铺平道路具有重要意义。在这项研究中,作者首先采用密度泛函理论(DFT)和分子动力学(MD)模拟来阐明电化学条件下催化剂的重组行为并描绘其重组模式。利用对这种重组行为的深入了解,作者设计了一种高效、低配位的铜基催化剂。所得催化剂在 800 mA cm-2 的电流密度下表现出优异的乙烯法拉第效率 (FE),可超过 70%。此外,该催化剂还表现出强大的稳定性,在全电池系统中在 3.5 V 电池电压下可保持 230 小时。该研究不仅加深了对设计高效二氧化碳还原反应(CO2RR)催化剂所涉及的活性位点理解,而且还推进了工业应用的二氧化碳电解技术。
图 1. (a) *CO 吸附与 Cu 位点配位数 (CN) 的关系。(b) 具有不同CN的 Cu 位点的 C-C 耦合能量。(c) 在CO2RR过程中,Cu 和 Cu2O 向不同金属 Cu 态重构的示意图。灰色、红色和棕色球体分别代表 C、O 和 Cu 原子。黑色和红色虚线圆圈分别表示去除 Cu 和 O 后的空位。(d) Cu和 Cu2O 中的 Cu 原子的空间构型。(e) 通过除氧将 CuxO 重构为金属 Cu。(f) Cu 和 Cu2O的低 CN 比的相关性。

图 2. 在 CO2 电解前,不同形貌的铜催化剂的SEM图像:(a) O-Cu、(b) T-Cu、(c) S-Cu、(d) E-Cu、(d) F-Cu和 (f) TS-Cu。

图 3. (a) 在 -0.9 V vs RHE 条件下,电化学还原CO2 期间TS-Cu 的原位拉曼光谱。(b) 在 CO2 电解前后,TS-Cu 催化剂的非原位软 O K-edge XANES。(c) 在 CO2 电解后,不同 Cu 催化剂的 Cu K-edge XANES 光谱。(d) 在 CO2 电解后,Cu配位数的变化与Cu2O多面体晶面的关系。

图 4. (a) 在 TS-Cu 上,不同产物在不同电流密度下的 FE。在 800 mA cm-2 时,在具有不同多面体晶面的 Cu 催化剂上的(b) 乙烯FE 和 (c) ECSA 归一化乙烯部分电流密度。(d) 不同 Cu 催化剂在 Ar 饱和 1.0 M KOH 中的单次氧化扫描。误差线代表三个独立测试中获得的平均值的标准偏差。

图 5. (a) MEA电解槽示意图。(b) 在 MEA 中,乙烯 FE 和电池电压与 TS-Cu 电流密度的关系。(c) 在 MEA 中,TS-Cu 在 3.5 V 电池电压下的稳定性测试。(d) 随着电流密度和法拉第效率的变化,CO2还原生成乙烯的成本分析。
总的来说,本研究使用 DFT 计算建立了低配位铜和乙烯生产之间的关系。MD 模拟表明,与相邻的 Cu 原子相比,重组的 Cu 保留了Cu2O 的配位特征,从而能够创建低配位的 Cu 催化剂。本研究合成了一系列晶面数不断增加的 Cu2O 多面体。EXAFS和原位拉曼均证实了在CO2RR后的Cu2O多面体向金属Cu的转变,后者随着Cu2O多面体面数的增加而显示出配位数减少。此外,研究发现低配位 Cu 的存在可以提高 *CO 吸附和C2H4 生成,这可以使用电化学技术进行验证。TS-Cu 源自具有最高面数的 Cu2O,其表现出卓越的乙烯生产性能,在 800 mA cm-2的电流密度下实现了 72% 的 FE。在 MEA 中,TS-Cu 在 3.5 V的电池电压下持续运行了 230 小时。这项研究为设计高效电催化剂提供了新的蓝图,并可为碳中和技术的进步铺平道路。
第一作者:Fu-Min Li
通讯作者:夏宝玉,陈煜
通讯单位:华中科技大学,陕西师范大学
论文DOI:https://doi.org/10.1002/aenm.202400112
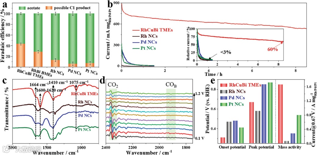
Pt和Pd基准催化剂在乙醇完全氧化方面效率低下,同时容易中毒,这对直接乙醇燃料电池的发展构成了重大阻碍。在这项研究中,作者开发了自支撑超薄 RhCuBi 三金属烯,通过分离和界面工程展示了乙醇电氧化的卓越性能。RhCuBi 三金属烯含有独特的富RhBi晶体/富RhCu无定形异质结构,为乙醇氧化反应 (EOR) 创建了丰富的高活性界面位点。具体而言, C1 路径的法拉第效率高达 43.3%,0.68 V vs RHE 时的峰值质量活性为 1.11 A mgRh−1。此外,RhCuBi三金属烯在 8.5 小时的恒电位电解后仍保留了 60% 的初始质量活性,优于商业 Pd 和 Pt 催化剂(<3%)。原位/非原位红外光谱直接揭示了在 RhCuBi三金属烯上产生的 C1 产物和 EOR 的关键 CH3CO* 中间体。理论计算证实,RhBi 合金,特别是晶格拉伸的结晶/非晶界面位点,有利于乙醇的吸附/活化和CH3CO* 向 EOR C1 途径的脱氢。这一突破为提高燃料电池应用中乙醇电氧化的效率和稳定性提供了广阔的前景。
图 1. a) RhCuBi TME 的 TEM 图像。b) 折叠的 RhCuBi TME 的TEM 图像。RhCuBi TME 的 c) AFM 图像和 d) 像差校正 HAADF-STEM 图像。d1, d2) (d) 中两个非晶区的 FFT 图案。d3、d4) (d) 中两个结晶区域的FFT 图案和放大的 HAADF-STEM 图像。对应于(d) 图的 e) Rh(绿色)、Bi(黄色)、f) Rh(绿色)和 Cu(蓝色)的集成EDX 元素mapping图像。

图 2. RhCuBi TME 在电化学恒电位电解前后的 a) Rh 3d、b) Cu 2p 和 c) Bi 4f XPS 谱。

图 3. a) 在 Ar 饱和的 1 M KOH + 1 M 乙醇中,RhCuBi TME 和商业催化剂在 50 mV s−1 下的正向 CV 曲线。b) RhCuBi TME 和商用催化剂的 EOR 起始/峰值电位和质量活性。c) RhCuBi TME 和商业催化剂的 EOR 塔菲尔图。d) RhCuBi TME 和商用催化剂在 0.68 V vs RHE 下的 EIS 曲线。e) Rh ME、RhCu BME、RhBi BME 和 RhCuBi TME 的 ECASA。f) 不同样品在 50 mV s−1 下的ECASA 标准化正向CV 曲线。

图 4. a) 在 RhCuBi TME、RhBi BME 和商业催化剂上,EOR 的 Cl 途径和 C2 途径的 FE。b) RhCuBi TME 和商业催化剂在 0.68 V vs RHE 下记录的 CA 曲线。插图:基于 CA 曲线的衰减百分比。c) 稳定性测试后,RhCuBi TME和商用催化剂的FT-IR光谱。d) 在 RhCuBi TME 上的 EOR 电位分辨原位 ATR-IR 光谱。e) 在 RhCuBi TME 和商业催化剂上,EGOR的起始/峰值电位和质量活性。

图 5. 在 a) Rh (111)、RhBi (111) 和晶格拉伸的 RhBi (111) 表面上,Rh 原子的部分态密度曲线。在 Rh (111)、RhBi (111) 和晶格拉伸的 RhBi (111) 表面上, b) Rh 原子的 d带中心,ΔECH3CH2OH*,以及 c) EOR 自由能图。
总之,本研究报道了自支撑超薄 RhCuBi TME 的合成,该 TME 具有特殊的富RhBi晶体/富RhCu非晶异质结构,并在 EOR 中表现出优异的性能。与商用 Pt 和 Pd 基准催化剂相比,RhCuBi TME 的 C1 途径的 FE 高达 43.3%,起始氧化电势位移分别为 130 和 150 mV,EOR 质量活性提高了2.6 倍和 3.5 倍。此外,Rh 固有的高氧亲和力和原位形成的 Rh/Cu(OH)x/Bi(OH)y 界面有助于提高 RhCuBi TME 的 EOR 稳定性。对测试后催化剂的 FT-IR 分析揭示了 CH3CO* 氧化方向在 EOR 途径中的决定性作用,以及乙醇在 RhCuBi TME 表面的增强吸附。原位 ATR-IR 分析直接证实了 C1 产物的生成,进而证实了 RhCuBi TME 上乙醇 C─C 键的断裂。理论计算证实了RhBi合金和晶格拉伸的晶/非晶界面位点对乙醇分子的吸附/活化以及CH3CO*沿C1途径氧化成CH2CO*的促进作用。RhCuBi TME 出色的 EOR 性能以及高 EGOR 性能,进一步凸显了 Rh 基纳米材料在能源电催化技术中的潜在应用前景。
本文仅用于学术分享,不做盈利使用,如有侵权,请联系后台小编删除
欢迎关注我们,订阅更多最新消息
“邃瞳科学云”推出专业的自然科学直播服务啦!不仅直播团队专业,直播画面出色,而且传播渠道多,宣传效果佳。
“邃瞳科学云"平台正在收集、整理各类学术会议信息,欢迎学会、期刊、会议组织方择优在邃瞳平台上进行线上直播,希望藉此帮助广大科研人员跨越时空的限制,实现自由、畅通地交流互动。欢迎老师同学们提供会议信息(会有礼品赠送),学会、期刊、会议组织方商谈合作,均请联系王女士:18612651915(微信同)。
投稿、荐稿、爆料:Editor@scisight.cn