

第一作者:洪雨微,邱佳燕
通讯作者:郑汉良,朱钢国
通讯单位:浙江师范大学
论文DOI:https://doi.org/10.1038/s41467-024-50081-x
使用简单氟源构筑复杂多氟结构可以显著提升含氟化合物合成效率,具有重要的应用价值。本文报道了一种以商业化CF2HSO2Na为C1氟源直接构筑四氟异丙基[(CF2H)2CH]的策略,实现了可见光催化简单烯烃的氢四氟异丙基化与炔烃的碳四氟异丙基化反应,为生命科学与材料科学中具有重要应用价值的四氟异丙基取代化合物的合成提供了一种经济、高效、广谱的方法。详细的控制实验表明,反应经历了一种少见的还原自由基-极性交叉(RRPO)介导的三重自由基二氟甲基化历程。这种C1-to-C3氟烷基可控延长策略的发展为传统难以合成的多氟化合物的构筑提供了新思路,显著拓展了氟烷基化策略的应用范围。
氟原子的引入可以改变分子的构象、脂溶性、酸性和生物活性,广泛应用于含氟药物和新材料研发。和常见的三氟甲基和二氟甲基相比,四氟异丙基[(CF2H)2CH]是近年来新兴的一类含氟基团,其不仅具有CF2H相似的氢键特性,还表现出更强的吸电子能力、蛋白结合能力和代谢稳定性,展现了优异的应用前景(图1)。由于缺乏相应的四氟异丙基化试剂,四氟异丙基化合物的合成还非常少见,因此,发展经济、高效、广谱的四氟异丙基构筑策略非常重要。

图1. 四氟异丙基的应用价值与构筑策略
(1) 利用商业化二氟甲基试剂CF2HSO2Na为C1氟源,通过罕见的还原自由基-极性交叉(RRPO)介导的三重自由基二氟甲基化历程,一步高效地实现了四氟异丙基构筑。
(2) 本文发展的C1-to-C3氟烷基化策略具有优异的普适性,适用于烯烃的氢四氟异丙基化与炔烃的碳四氟异丙基化,且可用于复杂分子的后期修饰,为药物与材料的多氟修饰提供了一种简便方法。
为解决具有重要应用价值的四氟异丙基难以构筑的问题,浙江师范大学化学与材料科学学院朱钢国课题组采用商品化的CF2HSO2Na为C1合成子,通过可见光催化的连续自由基二氟甲基化/还原脱氟历程,实现了四氟异丙基结构的直接构筑。作者首先对反应条件进行了优化,结果表明,以5 mol% 4DPAIPN为可见光催化剂,使用4.0当量CF2HSO2Na,4.0当量LiOH为碱,乙腈为溶剂,添加10.0当量水,蓝光照射下室温反应24小时,肉桂酸乙酯的氢四氟异丙基化产率可达79%(表1)。

表1. 模板反应的条件优化
随后,该课题组研究了烯烃的氢四氟异丙基化反应的底物适用范围(图2)。各种肉桂酸酯均能以良好的收率生成氢四氟异丙基化产物。其它贫电子烯烃也能顺利发生该反应。采用CF2DSO2Na为自由基前体,同样能以优秀的收率生成全氘代四氟异丙基化合物。反应也适用于生物活性分子的后期结构修饰,为含氟药物研发提供了更多可能。

图2. 烯烃氢四氟异丙基化反应的底物适用范围
在此基础上,改用4CzIPN为可见光催化剂,该课题组还实现了炔酮的5-endo碳四氟异丙基化反应,一步构筑了α-四氟异丙基取代的环戊酮(图3)。各种芳基炔酮都能参与反应,以良好至优秀的产率、优异的非对映立体选择性生成相应产物。反应还能实现螺环和双环结构的精准构筑,进一步提高了其应用价值。

图3. 炔酮的5-endo碳四氟异丙基化反应的使用范围
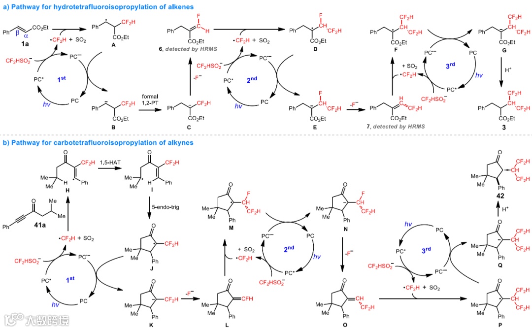
通过详细的控制实验,课题组提出了如下连续还原自由基-极性交叉历程(图4)。以肉桂酸酯1a的氢四氟异丙基化反应为例,在首个可见光催化循环中,CF2HSO2Na被激发态光催化剂氧化脱砜产生•CF2H,接着,对1a加成产生苄基自由基A。A被低价态光催化剂还原,再发生形式上的1,2-质子迁移生成α-二氟甲基取代的碳负离子B,随后,发生β-氟离子消除产生单氟烯烃6。通过类似的自由基二氟甲基化/SET还原/β-氟离子消除历程,6被转化为二氟甲基烯烃7。最后,经历自由基二氟甲基化/SET还原/质子化串联过程生成产物3。芳基炔酮的反应则由自由基二氟甲基化/1,5-氢迁移/5-endo环化串联反应启动,接着,自由基J被SET还原、再经过β-氟离子消除生成单氟烯烃K,随后发生上文类似的还原自由基-极性交叉历程产生α-四氟异丙基取代的环戊酮。

图4. 可能的反应机理
本工作发展了一种四氟异丙基化新策略,即以商品化的CF2HSO2Na为C1源,通过连续三次自由基二氟甲基化,实现了四氟异丙基化合物的直接构筑。该方法能够同时适用于烯烃与炔烃的四氟异丙基化,合成了一系列官能团化的四氟异丙基化合物。反应具有优秀的官能团兼容性,能适用于复杂分子的后期结构修饰。该C1至C3组装氟烷基化策略为发展新型可控氟烷基化反应提供了新思路。
郑汉良,浙江师范大学化学与材料科学学院青年教师,校双龙学者特聘教授,硕士生导师,入选浙江省青年人才托举计划。主要从事物理有机化学、氟化学研究。以第一作者或者通讯作者在J. Am. Chem. Soc., Angew. Chem. Int. Ed.等期刊发表论文20余篇。
朱钢国,浙江师范大学化学与材料科学学院教授,博士生导师,浙江省“万人计划”科技创新领军人才。主要从事自由基化学、有机氟化学、金属有机化学和生理活性天然产物合成研究,已在Angew. Chem. Int. Ed., Nat. Commun.等期刊发表论文100余篇,授权发明专利10余件,先后主持国家自然科学基金5项、浙江省自然科学基金杰出青年项目、重点项目等省部级项目5项,曾获Thieme Chemistry Journal Award、浙江省科学技术奖三等奖和浙江省高校优秀科研成果奖一等奖。
欢迎关注我们,订阅更多最新消息
“邃瞳科学云”推出专业的自然科学直播服务啦!不仅直播团队专业,直播画面出色,而且传播渠道多,宣传效果佳。
“邃瞳科学云"平台正在收集、整理各类学术会议信息,欢迎学会、期刊、会议组织方择优在邃瞳平台上进行线上直播,希望藉此帮助广大科研人员跨越时空的限制,实现自由、畅通地交流互动。欢迎老师同学们提供会议信息(会有礼品赠送),学会、期刊、会议组织方商谈合作,均请联系潘经理:18612651915(微信同)。
投稿、荐稿、爆料:Editor@scisight.cn