
第一作者:于斐涵
通讯作者:梁大鑫1,杜敏疏2,刘峰2,3
通讯单位:1东北林业大学生物基材料科学与技术教育部重点实验室;2西北工业大学材料学院;3西北工业大学分析测试中心。
论文DOI:https://doi.org/10.1016/j.apcatb.2024.124340
在无金属木材衍生N掺杂碳电催化剂上进行CO2的电化学还原(ECR)为将CO2转化为高附加值化学品和燃料提供了一条新途径。然而,木材衍生电催化剂的催化性能严重依赖于杂原子掺杂的形式和比例,如何寻找和获得最优掺杂条件是催化剂设计的关键。基于大量实验的传统“试错法”存在耗时、精度低、成本高等弊端,更高效、普适的理性设计方法亟待提出。本文将Marcus理论与热-动力学相关性结合,建立了N掺杂同ECR反应热-动力学的定量关联,并基于“大驱动力-小能垒”预测了最优掺杂状态。以杨木为原材料,制备了具有最佳N掺杂、高比表面积和丰富纳米孔道结构的木材衍生N掺杂碳催化剂,其在-0.71 V (vs. RHE) 的低过电位下具有 86.78% 的CO选择性、高活性(jCO=-5842.90 mA g-1)和良好稳定性。该工作展示了基于催化反应热-动力学相关性设计电催化剂的优势,有望为高性能电催化材料研发提供新思路。
在电催化反应中,需施加的热力学过电位越大,其本征活性越低。而过电位与反应中间体吸附能密切相关,依据反应电流-中间体吸附能的“火山型曲线”进行催化剂设计的思路被广泛采用,但需指出过电位仅提供了电催化反应的热力学阈值,忽视了动力学过程与反应能垒,不能有效指导电催化剂设计。西北工业大学刘峰教授课题组长期关注凝固、固态相变、材料加工与材料设计中的热-动力学,提出了热-动力学相关性,并基于该相关性设计高性能材料。而电化学/电催化反应的热-动力学相关性迄今未得到充分重视,尽管早在1956年,Rudolph A.Marcus就以重组能λ作为桥梁,建立了电子转移过程中的热-动力学关联,即Marcus理论。如何将Marcus理论与热-动力学相关性相结合?基于何种准则(相关性)确定最优参数?同时,如何通过实验实现最优调控,获得最佳性能?
(1) 全新的理论:将Marcus理论与热-动力学相关性结合,绘制了“热力学驱动力-动力学能垒-N掺杂”曲线(简称T-K-N曲线),拓展了Marcus理论的应用。
(2) 通用的理念:将本研究中制备的催化剂与他人报道的其他N掺杂碳催化剂的数据填入T-K-N曲线,发现其均很好地匹配,体现了该热-动力学相关性设计理念的普适性。
(3) 卓越的性能:在过电位为-0.71 V时,满足最优掺杂条件的PB-NC4催化剂具有86.78% 的CO法拉第效率、极高的反应活性(jCO = -5842.90 mA g-1)与良好稳定性。
热-动力学分析
在石墨碳(100)晶面上搭建了不同N掺杂形式和掺杂比例的催化剂,并利用第一性原理计算分别获得了它们的热力学驱动力和动力学能垒(图1)。需指出,热力学上,1 a%吡啶N相较于4 at%吡啶N更具优势(图1-a),然而动力学上,二者却截然相反(图1-c),这体现了依据单一热力学或动力学设计电催化剂的局限性。

图1. ECR反应热力学与动力学(过渡态)计算数据。
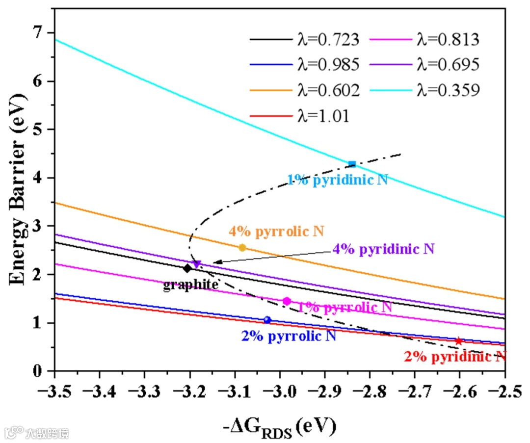
然后,将所获得的热/动力学数据带入Marcus方程,绘制了“热力学驱动力-动力学能垒-N掺杂”曲线(简称T-K-N曲线,图2),并依据“大驱动力-小能垒”准则预测最优掺杂为2 at%吡啶N掺杂。

图2. “热力学驱动力-动力学能垒-N掺杂”曲线(T-K-N曲线)。
催化剂表征
选择我国广泛种植的杨木作为生物质碳源,三聚氰胺作为N源,FeCl3作为活化剂,合成了一系列具有不同N掺杂的催化剂。成分分析(图3)表明随着FeCl3含量的增加,样品中的N含量不断提升,其中PB-NC4和PB-NC5的吡啶N含量约为2 at%(图3-g)。此外,为了避免FeCl3活化剂在样品中引入Fe-N-C活性位点,对其进行“中毒实验”(图3-h)。

图3. XPS图谱及其分析(a-g),PB-NC4“中毒实验”中的LSV曲线(h)。
XRD和拉曼光谱(图4)表明随着FeCl3含量的增加,石墨化程度不断提高,且未发现氮化物的特征峰,表明形成了C-N位点(图4-a)。拉曼光谱中D和G波段的峰值强度之比逐渐降低和G带显著左移也证实了这一结论(图4-b)。SEM和TEM分析(图5)表明杨木的纳米级有序孔道被保留在催化剂中,促进了传质。

图4. XRD图谱与拉曼光谱。

图5. SEM 图像(a-f),PB-C(g)和 PB-NC4 (h,i)的 TEM 图像。
ECR性能测试
图6-a表明PB-NC4在-0.71 V(vs. RHE)时具有最佳CO产物选择性(FECO=86.78%),并优于已报道的大多数N掺杂碳催化剂(图7-c)。且具有极高的ECR反应活性(jCO = -5842.90 mA g-1)(图7-a)和良好耐久性(图7-b)。且本文与他人所报道的N掺杂碳催化剂数据在T-K-N曲线中具有良好匹配(图7-d),体现了基于热-动力学相关性设计电催化剂的有效性和普适性。

图6. ECR反应活性和产物选择性。

图7. ECR反应活性、稳定性及其与其他N掺杂碳催化剂的对比(c),催化剂性能与理论T-K-N曲线的匹配(d)。
基于Marcus理论和催化反应的热-动力学相关性,绘制了“热力学驱动力-动力学能垒-N掺杂”曲线,并预测了最优N掺杂条件。以杨木为原材料,制备了具有最佳N掺杂和丰富纳米孔道的木材衍生N掺杂碳催化剂,其具有优异ECR特性。本文提出的Marcus理论和热-动力学相关性相结合设计电催化剂的理念,不仅考虑了催化剂的本征性能,还考虑了催化剂与反应环境(电解质的溶剂化效应、pH值等)的共同作用。据此,有望通过设计或调控催化反应热力学或重组能改变催化反应动力学,并基于“大驱动力-小能垒”准则设计和筛选高性能催化剂,具有重要意义。
文献信息:https://doi.org/10.1016/j.apcatb.2024.124340
于斐涵:2024年硕士毕业于东北林业大学梁大鑫课题组,主要研究方向为:基于催化反应热-动力学相关性设计高性能生物质衍生电催化剂,现将赴西北工业大学刘峰课题组攻读博士学位。
梁大鑫:首批全国高校黄大年式教师团队骨干。目前的研究工作主要集中于以下两个方面:(1)木材、纤维素、壳聚糖等天然可降解高分子材料的改性及功能化;(2)高性能催化剂的设计合成及其作为高选择性催化转化材料在生物质能源和环境方面的基础研究。以通讯作者在Nano. Lett.、Appl. Catal. B-Environ. Energy、ACS Appl. Mater. Interfaces、Compos. Part B-Eng.、Adv. Sustain. Syst.等期刊发表论文55篇,其中中科院一区论文19篇(含封面论文1篇);以第一发明人申请发明专利8项,获授权5项;参与编写科学出版社中文专著2部;主持国家级、省部级等各类项目10项。Carbon Capture Science & Technology(IF=10.4)生物质板块副主编,国际碳捕集协会(IACC)委员,生物质产业碳中和技术联盟东北区负责人。
杜敏疏:西北工业大学材料学院副教授。主要研究方向为:基于催化反应热-动力学的高性能电催化材料设计,单体碰撞电化学及其应用。近年来,在Adv. Mater.、J. Am. Chem. Soc.、Appl. Catal. B-Environ. Energy、Anal. Chem.、Sensor Actuat. B-Chem、J. Mater. Chem. A等期刊发表论文40余篇;主持国家级、省部级等各类项目10余项,参与国家重点研发计划、国家自然科学基金重点项目、国家社会科学基金等。
刘峰:西北工业大学材料学院教授、博士生导师,西北工业大学材料分析测试中心主任,德国洪堡学者,中国科协全国委员。主要研究方向为:非平衡相变过程控制与组织形成理论;非平衡凝固理论与技术;非平衡凝固与固态转变的统一理论;热力学和动力学相关性;非晶及纳米等先进亚稳材料制备及稳定性研究;先进钢铁材料、高强度铝镁合金制备等。迄今,带领团队发表SCI 论文300 余篇,包括本领域TOP1期刊Acta Mater. 40余篇,著名综述Inter. Mater. Rev. 3篇。获陕西省科学技术一等奖一项、二等奖两项。主持及参与国家自然科学基金杰出青年科学基金、重大项目2项、重点项目3项、面上项目3项,国家重点研发计划2项,中组部“万人计划”领军人才1项,973专题1项,霍英东青年教师基金等30余项基金及人才项目。
欢迎关注我们,订阅更多最新消息
“邃瞳科学云”推出专业的自然科学直播服务啦!不仅直播团队专业,直播画面出色,而且传播渠道多,宣传效果佳。
“邃瞳科学云"平台正在收集、整理各类学术会议信息,欢迎学会、期刊、会议组织方择优在邃瞳平台上进行线上直播,希望藉此帮助广大科研人员跨越时空的限制,实现自由、畅通地交流互动。欢迎老师同学们提供会议信息(会有礼品赠送),学会、期刊、会议组织方商谈合作,均请联系潘经理:18612651915(微信同)。
投稿、荐稿、爆料:Editor@scisight.cn