本内容节选自中国保险资产管理业协会(IAMAC)2019-2020年度优秀课题《衍生工具在保险资金运用中的应用研究》。
泰康资产管理有限责任公司陈奕伦、任建畅、王新星、杨轩、左谕。
本节主要讨论针对一个已经构建好的股票组合,尤其是一个基本面投资经理构建的非量化投资组合,可以如何设计套保方案并有效构建套保策略。初始设计套保方案时,一般步骤为:首先,由投资经理提出希望套保的仓位以及期货品种。其次,由股指期货研究员构建模型进行测算,设计出符合投资经理需求且套保效率尽可能高的方案。第三,如果是完全套保,则将整个待套保投资组合视为一个投资组合,如果是部分套保,则根据方案找出一个待套保子组合,并测算套保有效性与组合优化。第四,将套保方案与投资经理进行充分沟通无误后下单交易。最后,事后评估套保有效性的评估以及保证金风险监控等。
下面我们以一个基本面投资经理构建的套保组合为例进行说明。选取某公募基金半年报、年报的实际A股股票持仓组合,每年6月30日、12月31日根据持仓信息调整组合持仓,该组合由基本面基金经理依据主观判断所构建,集中持股并且不做行业中性等约束,以此模拟组合(2015年4月30日-2019年7月31日)的单位净值。该组合前十大重仓股如下:
表3-5 某组合前十大重仓股(20181231)

从风险收益特征可以看到,该组合收益大幅高于沪深300全收益指数,同时由于持仓高度集中,年化波动达到27%,略高于沪深300指数。
表3-6(a) 某组合特征统计(20150430-20190630)

表3-6(b) 沪深300全收益特征统计(20150430-20190630)
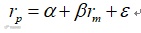
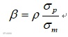
Beta值是业界广泛采用的套保指标,在不考虑无风险收益的情况下,Beta的计算来源于以下回归方程:
Beta值的含义表示期货价格每变动1%,现货价格会变动Beta%。因此,假如待套保的现货价值1亿元,Beta值为0.8,如果完全套保现货持仓风险的话,则需要套保的期货头寸应当为8000万元。由上式可知,由上式可知,若现货组合和股指期货价格变动的相关性越高,则对冲后的残差波动率相对组合波动率越低,对应套保效果越好。

从滚动三个月的贝塔值来看,该组合贝塔值的波动较大,其中IF与IH的Beta值更接近1,IC的Beta值则相对较低,考虑IC的高波动性,可以推断该组合与IC的相关性较低,更适合采用IF或者IH进行套保,若采用IC进行套保,预期套保效果较差。若仅考虑采用单一期货品种进行对冲,选用IF或者IH合约进行对冲较为合适。值得注意的是,在本组合中,无论IF、IH还是IC,均发生过贝塔值突破1的情形,特别在2018年10月初至2019年1月末,该组合相对于IF、IH的贝塔值快速冲高,峰值一度达到1.41与1.51,这意味着如果需要完全贝塔中性对冲的话,将面临着期货空头合约价值大于现货头寸的情况,若缩小对冲比例,则套保效率势必会受到影响,这将会给套保工作带来挑战。

资料来源:WIND资讯、泰康资产管理有限责任公司
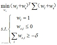
在给定对冲比例的情形下,可以通过最小化套保组合波动方法确定各品种期货比例。具体模型设定如下:
其中,Ws,i为待求解的期货品种权重问题,图片为资产收益率的协方差矩阵,w包括wl和ws,w表示现存的现货投资组合,ws表示期货品种的权重,图片为对冲比例,即期货市值与现货市值的比例。若采用完全对冲,则图片=1。
下面我们测算了利用该模型构建套保组合的历史表现。其中,期货保证金比例按照25%缴纳,每月股指期货合约最后交易日的前一日按照结算价进行展期,同时按照模型给出的优化方案进行股指期货以及股票现货再平衡。为尽量贴合实际情形,假设初始资金为1亿,对冲股指期货的合约手数四舍五入至1手。
测算得到的组合对冲后累计收益率56.66%,对冲后组合的年化波动率仅为12.74%,对冲前组合的年化波动率达到27.16%;对冲后最大回撤14.24%,而对冲前组合最大回撤达到了33.07%。夏普比例亦从对冲前的0.68提升至0.90。取得了不错的对冲效果。
表3-7 对冲策略特征统计(20150430-20190630)

该主动管理的投资组合在运用股指期货进行对冲时,对冲比例在60%至100%之内波动,对冲品种基本以IF为主,IH、IC对冲占比相对较少。

目前行业内通常采用套保效率来评价股指期货对冲策略的套保有效性,套保效率计算公式如下:
可以看到采用股指期货对冲后,由于该投资组合持仓高度集中,且该组合重仓股难以被沪深300、上证50以及中证500股指期货的价格变化所解释,该组合在测算期间平均套保效率为71.4%,17年下半年,该组合套保效率大幅下滑至最低41.3%。
实务操作过程中,针对某给定的投资组合,股指期货投研人员还会经常面临针对组合中的部分股票套保的情形。沿用上文的方法,可以将该问题描述为求解以下规划问题:
仍以前面所举的某投资经理管理的投资组合为例,假定该投资经理希望对其2018年12月31日的全部持仓组合进行对冲,对冲比例为50%,利用上述模型可求得其现货投资组合需要对冲的头寸权重如下:
表3-8 部分对冲的情形示例

模型最终建议的现货股票持仓中套保的比例为50.1%,期货做空头寸49.6%,均满足要求。值得注意的是,利用该模型测算得到的对冲比例和现货持仓权重以及在指数中的占比并不完全成比例,比如本例中的投资组合前三大重仓股贵州茅台、
泸州老窖以及五粮液合计仅套保了4.3%的权重,主要原因是这三只重仓股的个股特质风险较高,与三大股指期货的走势相关性较低。

参与新股网下配售策略可以获取较高的收益,破发风险相对较低,因而受到大家的广泛关注,打新收益的高低主要受到三个因素的影响:
第一:底仓收益。由于参与新股网下配售对持仓市值有一定要求,目前要求参与单一市场的底仓门票股过去20个交易日市值不低于6000万元。如果持有的底仓在持有期间发生大幅下跌,打新产品就将蒙受损失。
第二:打新市场收益率。主要由打新的中签率和新股上市后的涨跌幅决定。
第三:产品规模。产品规模越大,打新收益率就会受到相应倍数的稀释。在打新方案的设计中,首先最重要的是做好打新底仓的构建。打新底仓的构建原则是在买入股票的前提下,尽可能做到不亏损。市场上一般有两种处理方式:第一种方案为尽可能选择大市值、高分红、低波动的股票,例如工商银行、中国石油等,这类股票波动小,所以遇到下跌时能相对较好的抵御下跌风险,但如果遇到极端行情(如股灾),底仓组合仍然无法避免亏损,以上证50全收益指数为例,该指数2004年至2018年的15年中有9年出现了下跌,年度亏损在10%以上的年份达到了6年;第二种方案是利用多因子模型构建一篮子股票组合并同时做空一定比例的股指期货进行对冲,这种方法的优势是底仓的净值可以做到几乎与大盘的涨跌无关,底仓盈亏取决于一篮子股票的收益是否战胜了相应的股指期货涨跌幅。综合而言,第二种方案是更为稳健且积极的底仓构建方案。
目前A股有上证50、沪深300和中证500三个品种的股指期货合约,鉴于参与打新的底仓规模和收益权衡的
角度,建议选用上证50股指期货作为对冲标的,从过往期指的升贴水情况来看,上证50、沪深300、中证500的贴水幅度依次增加,贴水是对冲套利的天敌,会大幅蚕食对冲收益,中证500股指期货历史上曾有过年化40%以上的贴水,而同期上证50股指期货合约基差情况明显好于其余合约。
综合而言,选用上证50股指期货作为对冲标的是较为稳健的选择。下面我们测算了上证50股指期货对冲多因子模型选股构建的上证50增强组合后的历史表现。其中现货增强组合按照双周频进行调仓与再平衡,每次调仓时现货增强组合占账户净值比重80%,剩余20%用作保证金,选股范围为全部上交所股票,考虑到套保期现匹配要求,需保证中证800成分股权重占比90%以上。期货合约选用当月及下月合约进行滚动展期,对冲现货增强组合90%的敞口。上证50现货增强组合2010年1月1日至2019年6月30日实现年化收益率9.36%,同期上证50全收益指数年化收益率4.12%,年化超额收益率5.23%。

图3-22 现货增强组合相对于上证50的增强效果(20100101-20190630)
资料来源:Wind资讯,泰康资产管理有限责任公司
上证50股指期货合约于2015年4月16日上市交易,下面我们模拟了加入期货对冲之后的策略表现,并将同期上证50全收益指数的表现作为对比,可以发现实际上无论从单位净值表现还是从回撤幅度,对冲策略表现均明显优于裸多头,提升整体账户净值。

图3-23 底仓对冲策略表现(20150430-20190630)

图3-24 底仓对冲策略分年度收益(20150430-20190630)
由于该量化对冲策略双周频再平衡一次,保证金比例按照账户初始设定重置为20%,可以看到双周频调仓的情形下保证金比例基本处于15%-25%之间,需要中途调整保证金的频率除15年股灾期间较为频繁外,其余
时间段基本不超过2次。实盘账户管理过程中需实时监测保证金,当市场大幅上涨时,应当卖出部分现货,同时减少对应期货空头头寸,使得保证金比例维持在安全范围内。当市场快速下跌时,监测持仓上交所权益持仓市值是否低于6000万的门槛水平,应从保证金账户中适度出金并购入现货。

历史回测期间未发生风险度超过100%的情形。历史上风险度最高达到88%,发生在2015年6月8日,当日上证50创下当年收盘新高,且单日涨幅高达4.68%。此后账户风险度基本控制在70%以下的较安全区间。

我们考虑初始权益规模6400万元,另外1600万元作为账户初始保证金,初始规模8000万,回测中未发生20个交易日日均持仓市值低于6000万的情形,满足打新条件。

多变的金融市场难免出现尾部风险——尾部风险这里主要指金融市场由于突发事件或重大变化的影响而出现大幅波动,其波动幅度到达了历史涨跌幅分布的尾端。大幅波动的行情,或称尾部风险的发生,将极大地影响投资者管理投资组合的能力。大幅度下跌和波动过程中,传统的风险管理手段往往失效,以加大持仓资产种类和个股数量、分散化风格暴露和行业暴露等方法都无法抵御市场系统性大幅下跌的影响。这将严重打断投资者财富增长的节奏,使投资组合的净值损失在很长时间难以恢复——例如2008年全球金融危机就是一次尾部风险的释放,很多长期投资组合在这一个过程中损失超过50%。
在这种大幅波动的行情中,资产管理行业非常容易受到冲击。又如在2015年6月到9月这段时间,由于A股前期大幅上涨积累了巨大的资产泡沫,6月开始股票市场大幅下跌,多次出现千股跌停的局面。这个时候如果希望大幅减仓,避免市场继续下跌的风险,对于机构投资者的交易体量来说,是非常困难的事情。

图3-28 A股两市涨停家数与跌停家数(2015年6月至9月)
例如在2015年6月19日,上证综指当日跌幅达到6.42%,尾部风险出现,同时A股走出了较为明确的下跌趋势。这一天很多机构投资者希望快速减仓,但由于当日991只股票封死在跌停板上,占两市股票数量的36%,因此投资者并不能通过卖出股票有效降低仓位。

但与此同时,股指期货并未跌停,此时如果能够运用股指期货进行套期保值交易,一方面能够对冲股票市场的下跌风险,实际上分流了股票市场的抛售压力和风险;另一方面由于当时股指期货市场流动性更好,套期保值比直接卖掉大量股票现货所带来的冲击成本更低。
不到一个月后,2015年7月9日,A股超跌反弹,上证综指单日上涨5.76%,当天涨停股票1286只,很多机构投资者希望加仓但买不进去;次日周五,大面积涨停再次出现,上证综指上涨4.54%,涨停1324只,仓位还是加不上;周末过后,周一虽然上证综指涨幅有所回落,单日上涨2.39%,但涨停股票数量反而上升至1552只,连续三日A股大涨,机构投资者却很难进行有效的加仓操作,使专业投资者被迫成为“壁上观”的看客。期间投资者若通过认购场外开放式基金的方式加仓,实际上相当于将难题转移到公募基金管理人手里;若基金管理人加仓不及时,也会跑输市场,起不到加仓的作用。

图3-30 2015年7月9日开始上证综指连续大涨三天
股指期货合约的恰当运用,同样可以对冲建仓困难或不及时造成的风险。按照银保监会规定,保险机构可以确定与加仓目标股票组合相关性最强的股指期货,并且计算出对冲Beta与期货头寸数量,通过做多股指期货实现加仓,同时最大限度地降低大规模交易所带来的冲击成本。日后待市场企稳,再将现货个股买入组合,同时平仓股指期货多头合约。个股的建仓推迟相当于由股指期货合约进行了成本锁定。
由此来看,股指期货不但是常规的风险管理工具,同时在极端市场行情中,也可以实现对资产组合的快速有效风险管理。
另外,由于目前国内50ETF场内期权已经上市,也可以通过买入保护性看跌期权对现货头寸进行风险管理。具体来说,如果预期市场下跌幅度较大,并且投资者不希望因为判断失误丧失组合上涨的收益,可以采取买入看跌期权进行对冲。一般来说,考虑对冲成本因素,期限较远的平价期权以及轻度价内的看跌期权是比较好的对冲标的。

图3-31 看跌期权多头与股票组合对冲盈亏示意图
资料来源:广发证券发展研究中心
这里我们模拟一种简单的情景假设,例如持有现货为上证50ETF,投资者希望通过买入最远月份的平价看跌期权对可能的下跌形成保护。我们按照5%的固定仓位买入看跌期权,则在2015年6月至9月A股大幅下跌过程中,上证50ETF净值下跌30%,而叠加了看跌期权多头的组合仅下跌6%,下行风险得到有效控制。

上述案例采用了与场内期权对应的上证50ETF作为现货持仓,但在大多数情况下,股票现货组合与上证50指数相关性可能不高,此时需要借助券商等机构,签订特定的场外衍生品协议,形成对冲保护,这一过程相对场内交易时效性要差一些。
而上述案例,如果采用上证50股指期货(IH)主力合约进行套期保值,其净值曲线大致如下。可以看到,采用股指期货进行套期保值,组合净值波动更小,风险的可控性更强,但由于期货相对于期权来说是线性衍生工具,如果在套期保值操作后股票指数继续上涨,那么期权对冲组合将获得一定额外收益,而期货对冲组合净值则保持相对平稳。
图3-33 股指期货套期保值组合案例
资料来源:Wind资讯
资产价格的波动在金融市场中被看做是一种风险。因此在保险公司对投资组合进行管理时,特别是在长期配置时,可能会从目标收益、目标风险、目标日期等角度出发。
如果投资者对组合波动风险非常重视,那么有可能会从目标风险出发对资产配置组合进行管理。目标风险在确定投资目标时会以投资风险作为优化对象,例如可以通过一定的方法控制投资组合的波动率、回撤率等。
这里控制风险的方法主要有几类,一是通过定量资产配置的优化方法实现,例如在优化目标中加入波动率约束或下行风险约束;二是直接进行仓位调节,当市场波动上升时降低仓位,当市场波动下降时提高仓位,但是这种方法对于保险公司存在大量流动性差的非标资产来说,很难适用;因此还存在第三种方案,就是通过在投资组合中加入衍生工具,通过衍生品调节组合风险,实现控制目标。
最简单的一个例子是,假设投资者按指数权重配置了大量沪深300指数成分股,其中有一部分限售不能卖出。此时如果需要将组合波动率控制在20%左右,那么可以通过在组合中加入沪深300股指期货实现目标波动率。当市场波动率较高时,适当配置期货空头,对冲掉一部分现货头寸,降低组合整体波动;当市场波动率较低时,适当配置期货多头,提高组合波动率。我们采用沪深300股指期货主力合约进行了测算,假设每30天进行一次期货头寸数量调整,结果如下:

图3-34 加入沪深300股指期货调节组合目标波动率——波动情况对比
资料来源:Wind资讯
可以看出,通过在组合中加入沪深300股指期货并进行定期调仓,有效降低了组合波动率,提高了组合收益率。如果希望组合波动率能够进一步稳定在目标波动率附近,可以通过更加精细化和高频化的调仓方式来实现。
对于其他更为复杂的股票组合或者债券组合,也可以通过前述计算组合Beta的方法,确定调仓过程中期货头寸的数量,这里不再赘述。总而言之,通过衍生品对投资组合进行管理,可以有效降低组合波动,或将波动控制在一定目标范围。

图3-35 加入沪深300股指期货调节组合目标波动率——收益情况对比
资料来源:Wind资讯
表3-9 加入沪深300股指期货调节组合目标波动率——组合风险收益情况

基于期权的组合保险(OBPI)策略是衍生品在投资组合中的一类重要应用,该策略采用价值底线+期权的模式,即一定比例资金投资于无风险资产实施保本,剩余资金购买匹配的期权资产并产生潜在收益。该策略在海内外被保本基金广泛使用。在保险公司中,OBPI也广泛应用于投资连接险以及变额年金的对冲管理。

图3-36 一个典型的OBPI策略型产品结构示例
资料来源:广发证券发展研究中心
这里举一个简单的OBPI实例:在2017年10月9日,投资者有一笔需要保本的资金采用OBPI策略,将99.7%的资金投资于一笔上交所的28天逆回购(GC028),将在11月15日到期获得年化4%的投资收益;同时由于看好A股市场,将其余0.3%资金用于购买上证50ETF看涨期权。2017年10月9日,上证50ETF(510050.SH)收盘价2.750元,假设按收盘价买入11月22日到期的、执行价为2.650元的50ETF看涨期权,其组合净值曲线如下。由于买入看涨期权,组合除了通过逆回购实现保本,还额外获得了期间由于期权标的物上涨所带来的一些收益。

图3-37 一个简单的OBPI策略净值曲线
资料来源:Wind资讯
【免责声明】本文信息仅用于投资者教育之目的,不构成对投资者的任何投资建议,投资者不应当以该等信息取代其独立判断或仅根据该等信息做出决策。文中观点为作者个人观点,不代表中证报价投教基地观点和立场。本文信息力求准确可靠,但对这些信息的准确性或完整性不作保证,亦不对因使用该等信息而引发或可能引发的损失承担任何责任。