第一作者:杨望巾(东北大学)
通讯作者:韩冲教授(东北大学)
论文DOI:10.1021/acs.est.4c05048
近日,东北大学韩冲教授课题组在Environmental Science & Technology上发表了题为“Important yet Overlooked HONO Source from Aqueous-phase Photochemical Oxidation of Nitrophenols”的研究论文(DOI: 10.1021/acs.est.4c05048),探究了大气中典型硝基酚(NPs)的光氧化过程,评估了NPs的脱硝作用对大气中NO2–/HONO来源的贡献,阐明了NPs光氧化的机理。NPs的光氧化过程是一个重要且被忽视的NO2–/HONO来源,其生成NO2–/HONO的源强高于NPs和硝酸盐光解生成NO2–/HONO的源强。该研究结果表明,在外场观测和模型计算中应考虑NPs光氧化生成NO2–/HONO作用,以便更好地评估大气中NO2–/HONO的来源。
本文通过实验室研究发现4-硝基酚(4NP)、2-硝基酚(2NP)和4-硝基儿茶酚(4NC)等大气中最为丰富的NPs可以发生氧化过程生成NO2–/HONO。基于NPs的浓度变化和相对速率法可知,NPs的一级和二级反应速率常数分别为(4.84–7.41) × 10–4 s–1 和(3.14–4.81) × 1010 M–1 s–1,NPs转化生成NO2–/HONO的产率为15.0%–33.5%,NPs氧化产生NO2–/HONO的源强比NPs和硝酸盐光解生成NO2–/HONO的源强高2–400倍。化学组成结构分析表明羟基自由基(•OH)的亲电加成是NPs转化生成NO2–/HONO的主要途径。
HONO在大气化学中起着重要作用,HONO光解是•OH的重要直接来源。外场观测和模型计算结果表明,即使考虑了NO2非均相光化学摄取、含氮物种光解等过程,白天大气中仍存在显著而未知的HONO来源。前人文献发现NPs的氧化过程可以生成NO2–和NO3–等无机含氮产物,然而,仍缺乏NPs转化生成NO2–/HONO的动力学参数,且NPs脱硝过程的机理仍不明确。因此,本文量化了大气中典型NPs光氧化反应生成NO2–/HONO的动力学,以便更好评估该过程对大气NO2–/HONO的贡献率,并探索了NPs光氧化生成无机含氮物种的机理。

Figure 1. Temporal changes in the NPs concentration normalized to the initial NPs concentration (CNPs,t/CNPs,0) (A) and the first-order plots for NPs (B). The k0–10 and k0–30 are the first-order reaction rate constants at 0–10 and 0–30 min, respectively. The black and colorful lines in plot B are the first-order fitting lines at 0–10 and 0–30 min, respectively.
在草酸铁存在条件下,4NP、2NP和4NC逐步被消耗。其中草酸铁是产生•OH、过氧氢自由基(HO2•)等活性氧物种的前体物。反应0–30分钟内NPs的一级反应速率常数为(4.84–7.41) × 10–4 s–1。

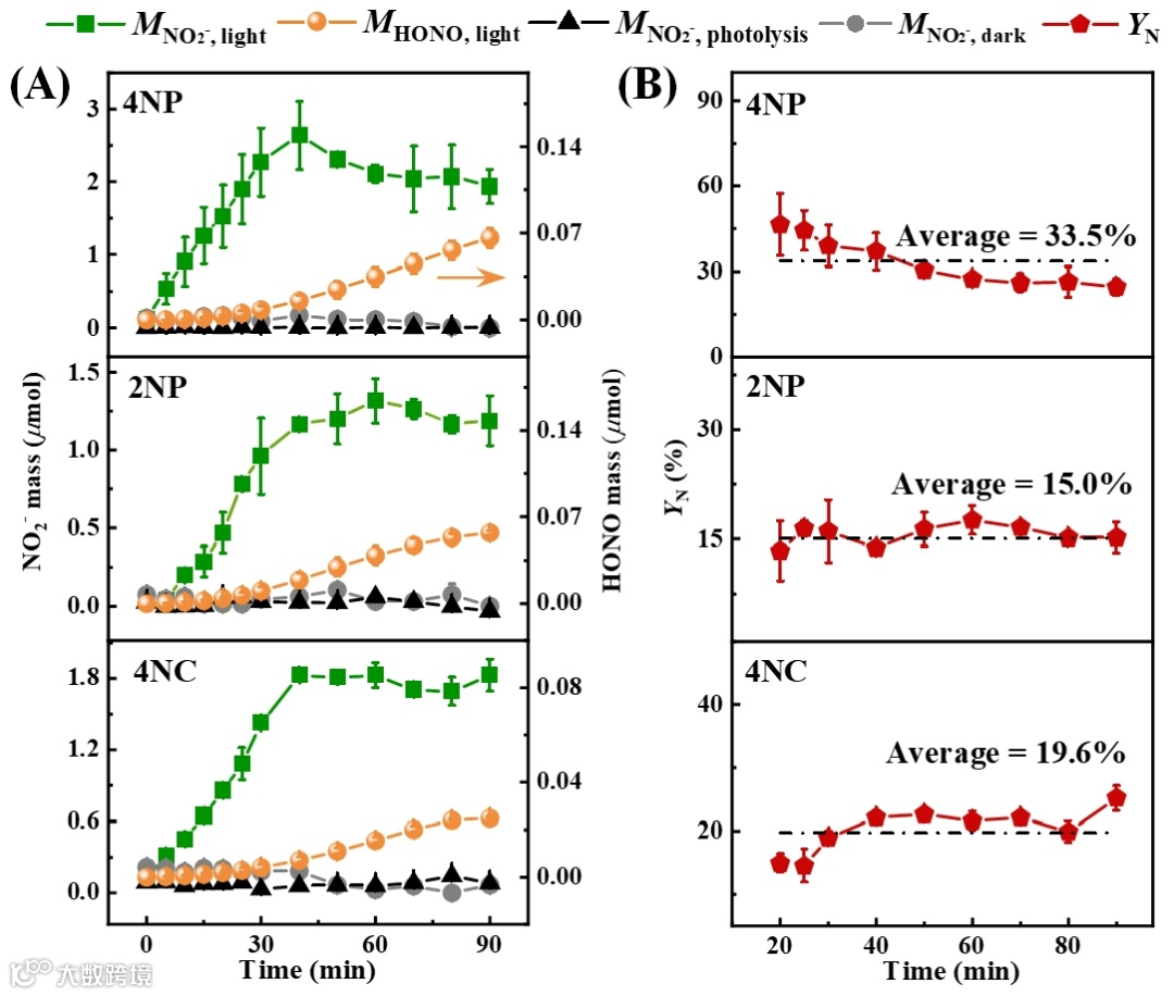
Figure 2. NO2–/HONO formations by the reaction of NPs + Fe(III)-oxalates and by the photolysis of NPs (A);YN by the photochemical reaction of NPs + Fe(III)-oxalates (B).MNO2-,light, MNO2-,photolysis and MNO2-,dark are the aqueous NO2– formation by the photochemical reaction, the photolysis of NPs, and the dark reaction, respectively (left ordinate); MHONO,light is the HONO formation by the photochemical reaction (right ordinate); and YN is the yield of NO2–/HONO. Numbers in plot B represent the average YN.
在光照条件下,NPs与草酸铁的光化学反应生成了1.17–2.64 μmol的液相NO2–和0.025–0.066 μmol的气相HONO。NPs转化生成NO2–/HONO的产率为15.0%–33.5%。

Figure 3. Proposed pathways for the photochemical reaction of 4NP + Fe(III)-oxalates.

Figure 4. Mass of NO2– and hydroquinone formed by the reaction (A); the yield of NO2– and hydroquinone (B) and the contribution of pathway 1 to NO2– formation (C). Numbers in plot B represent the average yield of NO2– and hydroquinone.
高效液相色谱-质谱的结果表明NPs转化生成NO2–/HONO的途径与•OH的亲电加成相关。途径1(图3的pathway1)中,•OH在硝基官能团相连的碳位上发生亲电加成,同时硝基官能团脱落,导致氢醌和NO2–/HONO的生成。该反应途径对NO2–/HONO生成的贡献高达61.9%–94.0%。

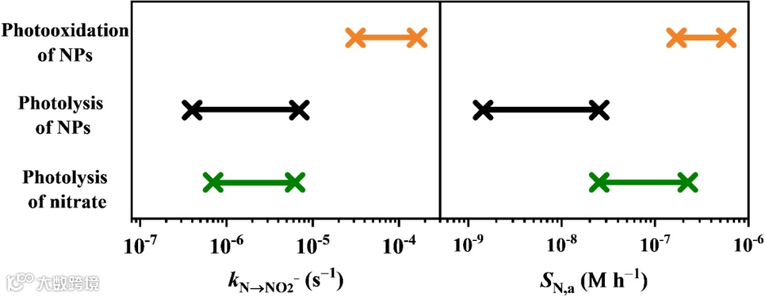
Figure 5. kN→NO2– and SN,a by the photooxidation of NPs, and photolysis of NPs and nitrates.
根据本文和文献结果,对比了NPs光氧化、NPs光解和硝酸盐光解等典型HONO来源过程。发现NPs氧化过程对大气中NO2–/HONO的贡献显著高于NPs和硝酸盐光解对大气中NO2–/HONO的贡献。
该工作重点量化了NPs氧化过程的动力学,明确了NPs光化学氧化生成NO2–/HONO的机理。对NPs脱硝的深入研究可以加深对大气中HONO来源的理解,并可能弥补模拟和观测研究之间存在的NO2–/HONO来源的差距。
韩冲:教授,博士生导师,担任东北大学资源与环境研究所所长//系主任,辽宁省一流学科环境科学专业带头人,中国生态学学会污染生态专业委员会委员,虚拟仿真实验教学创新联盟环境科学与工程类专业工作委员会委员。是国家级青年人才、中国生态学学会污染生态学优秀青年学者、辽宁省青年拔尖人才、沈阳市领军人才、加拿大环境与气候变化部Visiting Fellow、日本“樱花科学”俱乐部成员。研究领域为大气环境化学与污染防治,在大气氮化学、碳质气溶胶化学及环境和健康效应、挥发性有机物//臭氧催化净化等方面取得了创新性研究成果。以第一或通讯作者在PNAS、EST、ESTL、ACP等期刊发表近50篇SCI学术论文。主持了国家海外高层次青年人才计划、国家自然科学基金、辽宁省兴辽英才计划、中日国际合作等10余项科研项目。获得了中国发明协会发明创业奖创新奖、沈阳市中青年科技英才培养工程奖、东北大学优秀指导教师、中国科学院优秀博士学位论文奖、中国科学院院长特别奖等奖励。
杨望巾:东北大学讲师,博士,研究方向为大气氮化学。以第一作者在环境领域期刊Environ. Sci. Technol.、Atmos. Chem. Phys.、Sci. Total Environ.、Environ. Sci. Technol. Lett. 等发表学术论文10余篇。主持国家自然科学基金(青年)、辽宁省自然科学基金联合基金、中央高校基本科研业务专项资金等5项科研项目。获得了东北大学优秀博士学位论文、中国冶金教育学会优秀博士学位论文、东北大学优秀博士后等奖励。
欢迎关注我们,订阅更多最新消息
“邃瞳科学云”推出专业的自然科学直播服务啦!不仅直播团队专业,直播画面出色,而且传播渠道多,宣传效果佳。
“邃瞳科学云"平台正在收集、整理各类学术会议信息,欢迎学会、期刊、会议组织方择优在邃瞳平台上进行线上直播,希望藉此帮助广大科研人员跨越时空的限制,实现自由、畅通地交流互动。欢迎老师同学们提供会议信息(会有礼品赠送),学会、期刊、会议组织方商谈合作,均请联系潘经理:18612651915(微信同)。
投稿、荐稿、爆料:Editor@scisight.cn