*本文内容选自《场外衍生品知识读本》第四章《场外期权》。

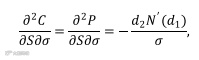
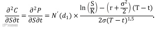
Charm公式为:
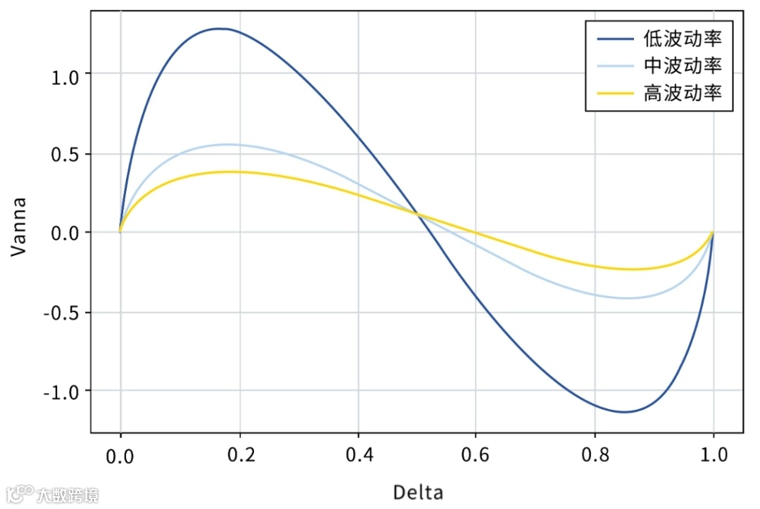
对于普通的香草期权来说。Delta的绝对值在0%,50%,100%附近的时候,期权的Vanna和Charm都趋近于0。Delta相同的时候,较低的波动率和较短的到期时间对应着(绝对值)较大的Vanna和Charm。事实上,Vanna值也可以表示Vega对于标的价格的敏感性,它与Delta对于波动率的敏感性在数学上是一致的。
在实际的场外期权交易中,交易商一般希望保持Delta中性,期权的Vanna和Charm可以在一定程度上帮助交易商确定在标的价格没有变化的情况下Delta敞口的稳定程度。一般来说,波动率较高或者到期时间较长时,Vanna和Charm相对较小,波动率变化和时间流逝对于期权Delta的影响相对会较小,交易商进行动态对冲时可以保留更小的Delta敞口以尽量减少标的价格变化对损益的影响;反之,如果波动率较低或者到期时间较短,Delta对于波动率变化和时间流逝会比较敏感,此时交易商需要考虑Delta的自然衰减或者隐含波动率突然变化对Delta带来的影响,在动态对冲时需要预留部分Delta敞口以应对这一变化。

表2 看涨香草期权随到期时间变化期权Charm分布


