神奇的指数函数
北京航空航天大学物理学院 郝维昌



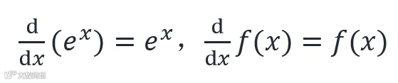
1. 指数函数求解微分方程:


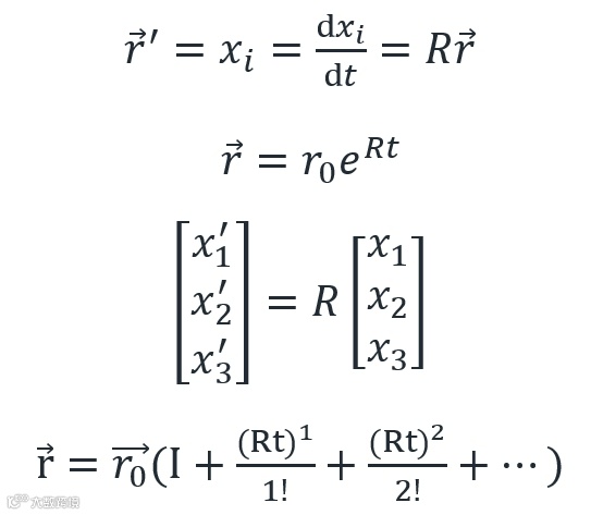
,无穷小转动为

是矢量,因此R为矩阵,驱动初始位置为
的矢量做无穷小转动:


形式完全一致

为Hilbert空间的矢量(复空间),H是哈密顿矩阵,与上面的反对称矩阵相对应哈密度矩阵必须是厄米矩阵。驱动量子体系含时演化,是无穷小酉变换。
声明
“邃瞳科学云”直播服务
扫描二维码下载
邃瞳科学云APP
邃瞳科学云神奇的指数函数
北京航空航天大学物理学院 郝维昌



1. 指数函数求解微分方程:


,无穷小转动为

是矢量,因此R为矩阵,驱动初始位置为
的矢量做无穷小转动:


形式完全一致

为Hilbert空间的矢量(复空间),H是哈密顿矩阵,与上面的反对称矩阵相对应哈密度矩阵必须是厄米矩阵。驱动量子体系含时演化,是无穷小酉变换。
声明
“邃瞳科学云”直播服务
扫描二维码下载
邃瞳科学云APP