
第一作者:李一帆、黄爱鉴
通讯作者:吕瑞涛、陈晨、陈昶
通讯单位:清华大学材料学院、清华大学化学系
论文DOI:https://doi.org/10.1038/s41467-024-52494-0
近日,清华大学材料学院吕瑞涛课题组和清华大学化学系陈晨、陈昶等人使用气流体纺丝技术结合热解策略制备了一种具有主族金属Na官能团修饰的Cu-N-C柔性碳纤维膜催化剂,使用该材料作为空气阴极的锌空电池实现了高稳定性的放电/充电稳定性循环。含 Na 官能团在Cu-N4位点附近的引入,促进了Cu-N4位点对O2吸附与活化。同时,含 Na 官能团的存在显着降低了部分载体C原子所带的正电荷,从而降低了载体的碳腐蚀,进一步提高了催化剂的催化稳定性。以该催化剂作为空气阴极的锌空气电池表现出超过 5000 h 的长期放电/充电循环稳定性。同时,该催化剂在柔性固态锌空电池和纽扣全固态锌空电池的应用中也显示出令人满意的循环稳定性,在可穿戴设备和微电子设备的应用也展示一定的应用前景。
近年来,锌空气电池(ZABs)已成为最有前途的储能装置之一,这主要是由于其理论能量密度高(1084 Wh kg-1)以及所使用的材料丰富且对环境无害。然而,ZABs放电过程中4e−转移氧还原反应(ORR)的动力学缓慢,需要高活性和稳定的催化剂来加速该过程。虽然使用贵金属基催化剂(Pt、Ir、Ru等)可以获得令人满意的催化活性,但其高成本和较差的耐用性迫使研究人员探索其他非贵金属替代品。
到目前为止,在探索贵金属基ORR催化剂的替代品时,主要有两个挑战需要解决:(1)非贵金属基催化剂的活性。目前,原子分散的非贵金属-氮-碳(M-N-C)催化剂因其高原子利用率和低成本而受到广泛的研究关注。其中最引人注目的是Fe-N-C催化剂,其在ORR中的活性通常优于其他非贵金属催化剂,甚至可与Pt/C催化剂相媲美。然而,由于Fenton效应,Fe位点不可避免地会与ORR过程中形成的H2O2发生反应,导致其快速失活。一些研究人员试图通过使用其他过渡金属元素取代Fe来解决这一问题,但要赶上Fe基催化剂的ORR活性性能极具挑战性。(2)非贵金属基催化剂的稳定性。到目前为止,高活性ORR/ZABs催化剂的开发已经被广泛研究,但它们的操作稳定性很容易被忽视。M-N-C催化剂的稳定性不仅需要考虑所选金属活性中心本身不易失活(以避免副反应),还需要考虑碳基底的腐蚀导致金属活性中心的损失。
(1) 主族金属官能团调控CuNa-CF催化剂的催化活性。为了克服Cu中可及d轨道有限以及Cu-N-C氧吸附能较差的问题,作者在Cu附近引入含Na功能团。经过Na功能团修饰后,可以明显观察到Cu-N4位点上电荷转移增强,电荷积累增多。且-COONa修饰后Cu-3d轨道与*OOH中间体的重叠度增加,对O2分子具有更好的活化作用。
(2) 主族金属官能团调控CuNa-CF催化剂的稳定性。作者在Cu-N-C位点附近引入了含Na的官能团,使部分载体C所带正电荷减少,从而使碳基质不易受到氧物质的腐蚀,进一步阻止Cu中心的溶解,为CuNa-CF催化剂的稳定运行提供了保障。
(3) CuNa-CF催化剂实现了前所未有的高ORR/ZABs活性和稳定性。CuNa-CF催化剂的ORR半波电位高达0.89 V,且以CuNa-CF催化剂作为空气正极的锌空电池表现出了超过5000小时的超长充放电稳定性。
(4) 气流体纺丝技术实现了该材料的批量生产,适合规模化生产。且获得的催化剂也表现出良好的柔韧性,适合作为各种液态锌空电池、柔性固态锌空电池以及纽扣状全固态锌空电池的空气阴极材料进行规模化生产。
受大自然的启发,细胞色素c氧化酶(由血红素铜氧化酶组成)在动物细胞中广泛用于将氧气转化为水。作者选用Cu代替贵金属作为氧电催化反应的主要活性位点,并结合主族金属Na对氧气的亲和作用,采用气流体纺丝-热解策略合成了过渡金属Cu和主族金属Na原子共掺的双金属催化剂。其中,含 Na 官能团的引入优化了Cu-N4位点的电子结构,解决了传统 Cu-N4-C 催化剂的氧吸附能较差不适合用作 ORR 催化剂的障碍,实现了高效的ORR催化活性,同时Na 官能团的引入,也对部分载体C原子所带的正电荷进行了调节,减轻了载体的碳腐蚀,从而实现了该催化剂的高反应稳定性。

Fig. 1: Schematic illustration of the synthesis of CuNa-CF catalyst. The dual metal site catalyst with transition Cu atom and main-group Na-containing functional group encapsulated in the flexible carbon nanofibers (CuNa-CF) was synthesized by using pyrolysis followed solution blow spinning technology. Uniformly dispersed chlorophyllin sodium copper complex-polyacrylonitrile (CSCC-PAN) membrane can be scalable produced by using solution blow spinning strategy.
作者以叶绿素钠铜络合物为杂原子金属前驱体,聚丙烯腈作为碳前驱体,采用气流体纺丝技术制备了具有均匀叶绿素钠铜络合物分散的聚丙烯腈纳米纤维膜。经过在空气预氧化和在氩气氛围内煅烧过程后,成功获得了具有一定柔性的 CuNa-CF 催化剂膜。

Fig. 2: Structural characterization of the CuNa-CF catalyst. a Scanning electron microscope image of the CuNa-CF membrane. b Aberration-corrected high-angle annular dark-field scanning transmission electron microscopy (AC-HAADF-STEM) image, some of Cu atoms are marked by red circles. c HAADF-STEM image of the CuNa-CF catalyst and the corresponding energy dispersive X-ray spectroscopy elemental mapping images for C, N, O, Cu, and Na. d HAADF-STEM image of the CuNa-CF catalyst and the corresponding scanning transmission electron microscopy-electron energy loss spectroscopy (STEM-EELS) mapping (e) taken from the orange boxed area in (d). f the corresponding EELS spectrum of the 0.5 nm × 0.5 nm selected small area in (e).
扫描电子显微镜和透射电子显微镜揭示了表面光滑,平均直径约为 220 nm 的CuNa-CF碳纳米纤维错综复杂地相互交织,形成互连的 3D 网络结构。X 射线衍射分析结果中未发现对应于 Cu的明显衍射峰,表明 Cu 原子在热解步骤中没有团聚且均匀分散在碳纤维中。随后,作者使用像差校正的高角度环形暗场扫描透射电子显微镜直接观察到了对应于 Cu 原子的均匀和密集分散的亮点(用红色圆圈标记),揭示了 Cu 原子在 CuNa-CF 中的原子水平上分散,相应的 EDS图像也证明了 C、N、O、Cu 和 Na 元素在CuNa-CF 中的均匀分布。为了进一步确认 CuNa-CF 催化剂中 Cu 和Na 原子之间的相邻关系,作者采用HADDF-STEM 图像和选定的小区域(0.5 nm × 0.5 nm)的相应 EELS 光谱探测了Cu 和 Na 原子的信号,为相邻 Cu和 Na 原子的存在提供了直接证据。

Fig. 3: X-ray absorption spectroscopy characterization of CuNa-CF and other samples. a Cu K-edge X-ray absorption near-edge structure spectra. b Fourier transformed extended X-ray absorption fine structure (EXAFS) spectra in R space. c Wavelet transformed EXAFS spectra for Cu foil, CuPc-CF, CuNa-CF, CuO, CuPc, and CSCC. d, e Fourier transformed EXAFS fitting curves for CuPc-CF and CuNa-CF, respectively. Insets in d and e show schematic models of the CuPc-CF catalyst and CuNa-CF catalyst, respectively (Cu atom is green, Na atom is purple, O atoms are pink, N atoms are blue, C atoms in the layer where the Cu site is located are dark gray, and C atoms in the layer below Cu site are light gray).
X 射线吸收光谱证明了在CuNa-CF和对比样品CuPc-CF中,Cu 原子带正电且氧化态在 0 到 +2之间,且催化剂中不存在 Cu 纳米颗粒。Cu原子与4个N原子配位,形成Cu-N4结构。同时, Cu 原子和底层碳晶格中的C原子之间也存在相互作用。

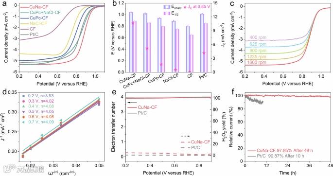
Fig. 4: Electrochemical tests of CuNa-CF and other reference catalysts. a Oxygen reduction reaction polarization curves without iR correction for CuNa-CF, CuPc+NaCl-CF, CuPc-CF, NaCl-CF, CF, and commercial 20% Pt/C catalysts in O2- saturated 0.1 M KOH solution at 1600 rpm with a scan rate of 5 mV s−1 (the resistance of the solution was 40 ± 5 Ω). b Comparison of onset potential (Eonset), half-wave potential (E1/2), and kinetic current density (Jk, at 0.85 V, V versus RHE) for different catalysts. c Linear sweep voltammetry (LSV) curves of the CuNa-CF catalyst at different rotation speeds (400, 625, 900, 1225, and 1600 rpm). d Koutecky-Levich plots and corresponding electron transfer numbers for the CuNa-CF catalyst at different potentials (0.2 V, 0.3 V, 0.4 V, 0.5 V, 0.6 V, and 0.7 V, V versus RHE). e H2O2 yield and electron transfer number of the CuNa-CF catalyst and Pt/C catalyst measured by the rotating ring-disk electrode (RRDE). f Long-term electrochemical stability of the CuNa-CF catalyst and Pt/C catalyst.
在 O2-饱和 0.1 M KOH 电解质中,CuNa-CF 催化剂表现出最高的ORR活性和最正的半波电位 (E1/2,0.89 V)。通过与对比样品CuPc-CF和CuPc+NaCl-CF催化剂的性能对比,可以得出结论,CuNa-CF催化剂具有高效ORR活性的原因可以归因于主族金属Na官能团对Cu-N4位点的电催化活性调节作用。同时,通过对在不同转速下的RDE测试和RRDE测试结果分析,CuNa-CF催化剂展示出了优异的四电子转移选择性。且经过长达48小时ORR电催化稳定性测试,CuNa-CF展示出了良好的催化稳定性,最终相对电流保持高达97.85%。

Fig. 5: Durability of the CuNa-CF catalyst in rechargeable zinc-air batteries. a Discharge/charge cycling curves of CuNa-CF air cathode liquid-state zinc-air battery (ZAB). b Schematic illustration of the flexible solid-state ZAB. c Cycling stability of flexible solid-state ZAB with CuNa-CF membrane as the air cathode, and the insets are digital photos of the flexible solid-state ZAB in various states (flat/bent/revert flat). d Simplified schematic of the button-type all-solid-state ZAB. e Operating stability of button-type all-solid-state ZAB using CuNa-CF membrane as the air cathode.
以CuNa-CF为阴极的锌空电池展示出了超过5000小时的放电/充电稳定性。得益于CuNa-CF膜的高柔性和可裁剪性,该材料在固态柔性锌空电池和全固态纽扣锌空电池中也展示出了优异的放电/充电稳定性。

Fig. 6: Density functional theory (DFT) calculations for ORR catalysis. Atomistic structures of (a) Cu-N4 and (b) Cu-N4-COONa configurations. c Charge density differences of Cu-N4-COONa, the isosurface levels are set to 0.002 e Å−3, where charge depletion and accumulation were depicted by cyan and yellow, respectively. It can be seen that there is charge accumulation on the C around COONa. d Adsorption energies for O2 on Cu-N4 and Cu-N4-COONa sites. The calculated Gibbs free energy evolution diagrams for ORR through a 4e− pathway on active sites of (e) Cu-N4 and (f) Cu-N4-COONa under electrode potential of U = 0 V, where the elementary reaction in red dotted line represents the potential limiting step. g Projected density of state (PDOS) analysis of Cu-3d orbital with OOH intermediates on Cu-N4 and Cu-N4-COONa. Charge density differences and Bader charge transfer are illustrated inside. h The crystal orbital Hamilton population (COHP) analysis of Cu active sites and O atoms of OOH intermediates, the integrated crystal orbital Hamilton population (ICOHP) values (in eV per bond) are listed.
为了更深入地揭示 CuNa-CF 催化剂高稳定性和活性的来源,作者使用密度泛函理论对催化剂结构和催化反应进行了分析。作者发现经过邻近的主族Na官能团修饰后,在 Cu-N4 位点可以观察到电荷转移和更多的电荷积累,对催化剂导电性的提升具有重要意义。此外,主族官能团的引入优化了Cu-N4对氧气的吸附和活化,有利于ORR反应的发生。含 Na 官能团的引入也可以减轻碳腐蚀并稳定 Cu-N4位点,从而实现长效氧电催化稳定性。
从大自然中汲取灵感,作者通过简便的气流体纺丝技术结合热解过程合成了一种原子分散的 Cu-N-C 催化剂。为了提高 Cu-N-C 催化剂的本征活性,作者在 Cu-N4 活性中心附近引入了含主族金属Na官能团。结果表明,含Na官能团的引入促进了 O2 在 Cu-N4 位点的吸附和活化,从而提高了其本征活性。同时,含Na官能团的引入可以减轻碳腐蚀并稳定 Cu-N4 位点,从而提高其稳定性。因此,CuNa-CF 催化剂表现出显著的 ORR 活性,特别是当用作锌空电池的空气阴极催化剂时,锌空电池表现出超过 5000 小时的放电/充电循环稳定性。该利用主族元素官能团调控Cu-N-C催化剂的理念和策略不仅拓展和丰富了主族元素在电催化应用方面的研究,而且为未来设计兼顾活性和稳定性的非Fe基M-N-C氧电催化剂提供了指导,也为开发高性能非贵金属基锌空电池的空气阴极催化剂提供了可靠的方法。
Li, Y., Huang, A., Zhou, L.et al. Main-group element-boosted oxygen electrocatalysis of Cu-N-C sites for zinc-air battery with cycling over 5000 h. Nat Commun 15, 8365 (2024).
https://doi.org/10.1038/s41467-024-52494-0

吕瑞涛,清华大学长聘教授,博士生导师,材料学院副院长。2009年在清华大学获得博士学位,2009年至2013年先后在清华大学、日本九州大学和美国宾夕法尼亚州立大学从事博士后研究,2013年2月加入清华大学材料学院工作至今。主要从事碳基低维材料缺陷设计及性能调控研究,侧重于晶格缺陷的可控构筑、构型解析以及在超灵敏分子探测、清洁能源催化等领域的应用。在Science等期刊上发表论文190多篇,曾获2014年“清华大学学术新人奖”,入选2016年“北京市科技新星计划”,2017年获英国炭素学会Brian Kelly Award,同年获国家优秀青年科学基金项目资助,2019年获教育部高等学校科学研究优秀成果(自然科学)一等奖,2022年获中国材料研究学会科学技术奖(基础研究)一等奖,2023年获高等教育(本科)国家级教学成果二等奖。

陈晨,清华大学化学系,教授,博士生导师,国家杰出青年科学基金获得者。2006 年在北京理工大学获得学士学位,2011 年在清华大学获得博士学位,2011 年至 2014 年在美国加州大学伯克利分校、劳伦斯-伯克利国家实验室从事博士后研究工作,2015 年在清华大学化学系任教至今。主要从事无机材料、催化、新能源等领域的研究工作。在 Science、Nat. Chem.、Nat. Catal.、Nat. Commun.、J. Am. Chem. Soc.、Angew. Chem. Int. Ed.、Adv. Mater.、Chem、Joule 等学术期刊发表论文 100 余篇。2018 年获得北京市杰出青年科学基金支持,荣获中国化学会青年化学奖;2019 年获得国家杰出青年科学基金支持;2021-2023 年入选科睿唯安“高被引学者”。

陈昶,2020年获得中国科学院大学博士学位,同年加入清华大学化学系陈晨教授课题组从事博士后研究。专注于预定制明确配位结构的单原子/双原子/多原子催化剂的开发,并探索其在氧气和二氧化碳等小分子电催化还原反应研究,以及在燃料电池、金属空气电池和电解水器件中的应用。目前以一作/通讯作者身份在Nat. Commun.、J. Am. Chem. Soc.(2篇)、JACS Au、Applied Catalysis B: Environmental等国际顶级期刊发表论文十余篇,已授权国家专利1项。
欢迎关注我们,订阅更多最新消息
“邃瞳科学云”推出专业的自然科学直播服务啦!不仅直播团队专业,直播画面出色,而且传播渠道多,宣传效果佳。
“邃瞳科学云"平台正在收集、整理各类学术会议信息,欢迎学会、期刊、会议组织方择优在邃瞳平台上进行线上直播,希望藉此帮助广大科研人员跨越时空的限制,实现自由、畅通地交流互动。欢迎老师同学们提供会议信息(会有礼品赠送),学会、期刊、会议组织方商谈合作,均请联系18612651915(微信同)。
投稿、荐稿、爆料:Editor@scisight.cn