
第一作者:赵而玲
通讯作者:凌涛,彭振,Chia-Hsin Wang
通讯单位:天津大学
论文DOI:10.1021/acscatal.4c04444
金属硫族化合物是一种有前景的可见光吸收半导体,具有优异的光电性能和可调的能带结构,有望提高光催化全解水效率。然而,它们在光催化中的应用受到析氧反应(OER)动力学缓慢和严重光腐蚀的阻碍。这些关键问题与光生空穴的行为有关,难以参与OER反应的光生空穴会氧化催化剂本身,加重催化剂的光腐蚀问题。本工作通过微观动力学分析表明高反应势垒和光催化剂表面的低浓度空穴是造成OER动力学瓶颈的关键。本工作通过在ZnSe催化剂上创建p型表面态,打破了其在全解水方面的光催化OER限制。这项工作中获得的理论和实验结果为金属硫族化合物的OER提供了突破性的见解,并为未来设计用于全解水的光催化剂提供了明确的指导。
受自然光合作用的启发,颗粒光催化剂的太阳能驱动的整体水分解提供了一种可再生和可扩展的方式来生产绿色氢气(H2)。金属硫族化物是有前景的可见光吸收半导体,有望显著提高光催化剂的STH转换效率。然而,它们在全解水中的应用长期受到OER动力学缓慢和严重光腐蚀问题的阻碍。尽管研究者投入了大量的研究工作来推进金属硫族化合物的整体水分解,但能够按化学计量产H2和O2并完全抑制光腐蚀的案例仍然非常有限,目前还没有理论和实验研究揭示空穴介导的OER的瓶颈,这极大地阻碍了金属硫族化合物在全解水方面的进一步进展。本工作以p型ZnSe作为模型系统,通过理论结合实验研究了OER机理,并揭示了OER的动力学瓶颈是光催化剂表面的高反应势垒和低空穴浓度。最终,设计的p-ZnSe在无助剂条件下,实现了高效的光催化全解水性能。进一步的原位XPS测试表明,由于OER反应的极大促进,ZnSe的光腐蚀问题被成功地抑制。
1. 本工作基于详细的微观动力学计算,首次揭示了ZnSe上光催化OER的瓶颈是高反应势垒和到达光催化剂表面的低空穴浓度,为光催化剂的设计提供了直接指导。
2. 构建p型表面态的ZnSe光催化剂,有效降低OER反应势垒和提高催化剂表面上的空穴浓度,打破OER对光催化全解水的限制,并实现了金属硫族化物在无助剂条件下按化学计量比同时产生H2和O2。
3. 通过原位XPS测试和理论计算证实,p型表面态有利于光生空穴在反应位点的积累,提高OER反应速率,进而有效抑制光催化剂中的空穴介导自腐蚀问题。
首先通过密度泛函理论计算和微观动力学研究了ZnSe催化剂表面上OER机制,并确定其速率决定步骤(O-O耦合),结果表明高反应能垒(Ea)和催化剂表面的低空穴浓度(Ch+)是限制OER反应动力学两大关键因素。这一发现解决了之前实验观察中的谜团,即单独引入OER助催化剂来降低Ea并不能显著促进金属硫族化合物光催化剂上的OER过程。此外,金属空位已被确定为半导体中空穴的捕获位点。因此,构造Znv有望同时降低Ea并增加Ch+,以促进ZnSe上的OER。

图1 ZnSe光催化OER机理的理论研究
受上述理论发现的启发,通过离子交换法制备了ZnSe纳米线,并在NaOH中处理不同时间以产生Znv。EPR测试表明,随着在NaOH中处理时间的延长,g=2.00337信号的强度显著增加(图2a),表明ZnSe纳米线上产生了更多的Znv。UV-Vis光谱和PL光谱进一步支持了这一结果(图2b、2c)。定量元素估算分析表明,生成的Znv浓度范围为0.36~8.65%,主要分布在ZnSe-Znv纳米线上1.90~9.72 nm的表面深度内(图2d)。HAADF-STEM测试表明,空位的富集导致ZnSe-Znv纳米线上的表面层变得无序(图2e)。

图2 ZnSe-Znv纳米线光催化剂的结构表征
根据在微观动力学分析结果,ZnSe表面上的Ch+对OER动力学有很大影响。因此,以2,2,6,6-四甲基-1-哌啶氧基(TEMPO)作为探针分子进行了EPR测试,结果如图3a所示,随着ZnSe-Znv纳米线上Znv浓度的增加,对应于TEMPO的EPR信号强度降低,表明到达ZnSe-Znv纳米线表面的空穴数量增加(图3b)。之后,我们试图找出表面Znv层的物理起源,以显著提高ZnSe-Znv纳米线表面的空穴数量。模特-肖特基测试表明原始ZnSe纳米线是一种n型半导体,随着表面空穴浓度的增加,表面层逐渐从n型转变为p型(图3c)。此外霍尔效应和场效应晶体管(图3d-e)进一步证实了这一结论,这种p型表面层可以与内部ZnSe形成同质结,同质结的内置电场将有效地将空穴从内部光催化剂提取到其p型表面,从而显著增加Ch+(图3b)。

图3 ZnSe-Znv纳米线的空穴数和电子性能的测量
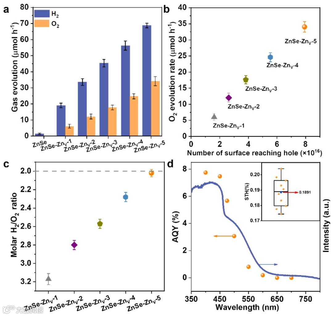
我们评估了ZnSe纳米线在无任何助催化剂的纯水中的全解水性能。最佳催化剂ZnSe-Znv-5纳米线的H2和O2产率分别为68.7 mmol h-1和34.1 mmol h-1,优于最近报道的大多数金属硫族化物光催化剂。此外发现ZnSe-Znv纳米线上产生的O2量随着到达光催化剂表面的空穴数的增加而增加。这些实验结果与计算结果吻合,即高Ea和低Ch+确实是ZnSe上OER反应的瓶颈。此外,ZnSe-Znv纳米线上的H2/O2摩尔比随着Znv浓度的增加而降低,最佳催化剂ZnSe-Znv-5纳米线的H2/O2摩尔比约为2。
金属硫族化物光催化剂在全解水中面临的另一个关键挑战是空穴介导的光腐蚀问题。在本工作中,空穴在OER中的有利参与有望从根本上抑制关键的空穴介导光腐蚀。原位XPS测试结果表明,原始ZnSe光催化剂的Se 3d光谱随着反应的进行,逐渐出现了Se0氧化峰,而ZnSe-Znv-5纳米线的Se 3d XPS光谱几乎没有变化,证实了其有效地抑制了光腐蚀问题。

图4 ZnSe和ZnSe-Znv纳米线光催化全解水性能

图5 ZnSe和ZnSe-Znv纳米线光催化全解水过程中的稳定性测试
本工作通过在ZnSe表面上创建p型Znv表面层,打破了ZnSe光催化剂在可见光驱动的全解水方面的光催化OER限制。结果表明表面Znv层可以降低OER决速步骤的能垒,同时提高光催化剂表面的空穴数量。最终,p-ZnSe催化剂在无助剂条件下表现出创纪录的全解水性能。此外,通过提高表面的Ch+可以促进OER反应速率,并成功地解决关键的光腐蚀问题。这项工作中获得的理论和实验结果为金属硫族化物的OER反应提供了突破性的见解,并为未来设计用于全解水的光催化剂提供了明确的指导。
凌涛,天津大学材料学院教授。2009年于清华大学材料科学与工程系获得博士学位,2009年10月起就职于天津大学。2017年入选国家自然科学基金优秀青年基金,2019年入选天津市自然科学基金杰出青年基金。开发气相离子交换、热力学控制和外延生长等方法,解决高活性过渡族金属、负载型贵金属及氧化物催化剂三维表面原子结构;利用理论计算结合实验的方法揭示催化剂表面原子结构与性能的关系,获得多种稳定高效的能源新材料。以第一/通讯作者在Nature Energy、PNAS、Nature Communications (3篇)、Science Advances、Advanced Materials (7篇)、Angewandte International Edition、Nano Letters、Advanced Functional Materials、Advanced Science、Nano Energy等期刊发表论文50多篇。
课题组主页:http://mse.tju.edu.cn/info/1144/1499.htm
赵而玲,天津大学材料科学与工程学院博士研究生。从事半导体纳米材料的合成及其光/电催化特性研究。以第一作者在Advanced Science、Green Chemistry、Nano research等发表SCI学术论文5篇;参与发表SCI论文10余篇。
欢迎关注我们,订阅更多最新消息
“邃瞳科学云”推出专业的自然科学直播服务啦!不仅直播团队专业,直播画面出色,而且传播渠道多,宣传效果佳。
“邃瞳科学云"平台正在收集、整理各类学术会议信息,欢迎学会、期刊、会议组织方择优在邃瞳平台上进行线上直播,希望藉此帮助广大科研人员跨越时空的限制,实现自由、畅通地交流互动。欢迎老师同学们提供会议信息(会有礼品赠送),学会、期刊、会议组织方商谈合作,均请联系18612651915(微信同)。
投稿、荐稿、爆料:Editor@scisight.cn