
第一作者:操亨、朱晓娣
通讯作者:朱晓娣、鲍骏
通讯单位:中国科学技术大学 国家同步辐射实验室
论文DOI:10.1021/acscatal.4c02857
光催化CO2还原可利用太阳能在光催化剂作用下将CO2和H2O催化转化成高附加值化学品,在缓解能源危机和解决因CO2浓度高导致的环境问题中均具有巨大潜力。光催化 CO2还原全反应主要包括CO2还原和 H2O 氧化两个半反应,是发生在光催化剂表面上涉及质子耦合的多电子转移的复杂过程。理想情况下(不考虑竞争反应和副反应等),只有这两个半反应良好匹配,才有望更大限度地利用光催化剂中的光生电子和空穴,从而实现CO2转化率的提升和产物选择性的调控。然而,目前该领域绝大多数的研究通常聚焦在CO2还原半反应过程,严重忽视了质子给体H2O氧化半反应在光催化CO2还原全反应中扮演的重要角色。因此,本工作通过调节催化剂表面结构,在CdS模型材料表面构建了一种Cd空位介导的Cu-S活性位点对,选择性地促进质子供体H2O分子的活化解离以调控光催化CO2还原全反应的性能。活性测试表明,相比Cd1−xS,具有Cu-S对活性位点的Cu/Cd1−xS表现出显著提高的CO选择性(接近100%)和CO产率。利用原位漫反射红外吸收光谱和DFT理论计算等研究手段揭示了来自H2O氧化半反应的质子供应在促进Cu/Cd1−xS光催化CO2还原全反应性能中的可能机理。本工作呈现了质子供应对调控光催化CO2还原活性和选择性的重要作用,并呼吁同行研究者从光催化全反应的角度设计和开发高效、高选择性的CO2转化光催化剂。
1. 本工作以CdS光催化剂为模型材料,利用Cd空位介导策略在其表面成功构筑了原子级分散的Cu-S活性位点对,显著促进了促进了光催化CO2还原性能。
2. 通过原位漫反射红外光谱、DFT理论计算和一系列实验表征,揭示了Cd空位介导的Cu-S对活性位点具有选择性促进H2O解离和质子供应的能力,降低了近邻Cd位点上吸附态含碳物种的质子耦合两电子转移过程速控步的反应能垒,实现了光催化CO2还原制CO选择性和产率的提升。
本文利用缺陷介导策略,在富含Cd空位的CdS模型材料表面引入Cu物种,成功构筑了具有Cd空位介导Cu-S活性位点对的Cu/Cd1−xS催化剂(图1)。HAADF-STEM照片(图1a-c)和XAFS结果(图1e,f)证明了2价Cu物种的单原子级分散状态,减弱的EPR信号(图1d)表明引入的Cu占据了部分Cd空位,EXAFS结果(图1f)证实了Cu-S配位的形成。

图1. 材料结构表征。
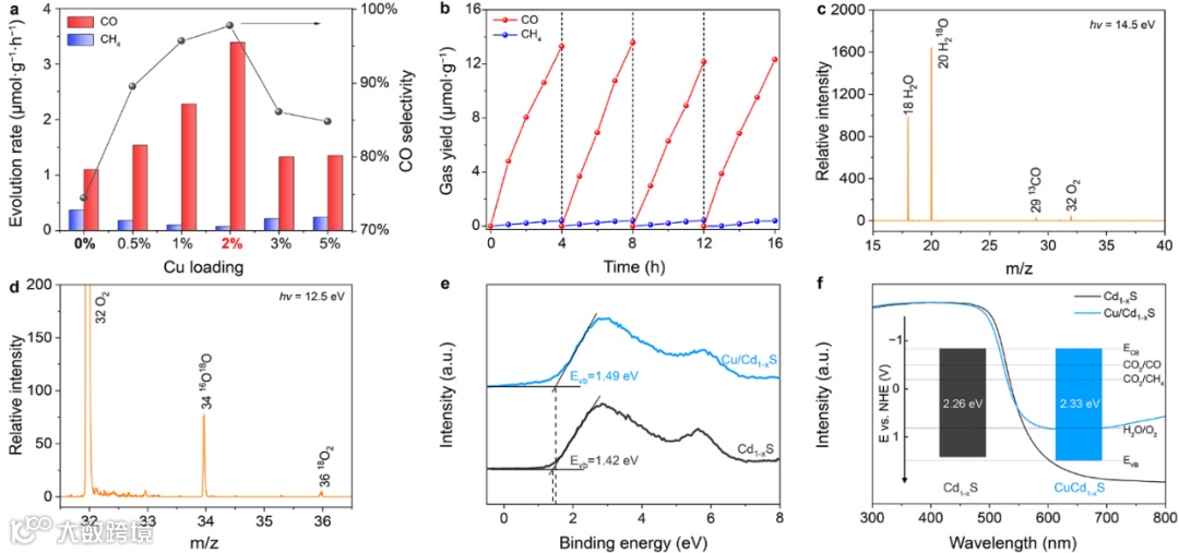
光催化CO2还原性能测试结果(图2a)表明,相比Cd1−xS,具有Cu-S活性位点对的Cu/Cd1−xS光催化还原CO2制CO的选择性和产率随着Cu引入量的增加呈火山型曲线变化。其中2% Cu/Cd1−xS表现出最优的CO选择性(98%)和最高的CO产率(3.4 μmol g-1 h-1),并具有很好的稳定性(图2b);此外,还通过同位素标记实验,利用同步辐射光电离质谱(图2c,d)证明了主要产物CO和O2确实来源于以H2O为质子供体的光催化CO2还原全反应。图2e,f给出了Cd空位介导的Cu-S活性位点对对Cd1−xS能带结构的影响。

图2. 光催化CO2还原活性和能带结构表征。
原位漫反射红外光谱研究(图3)显示,具有Cu-S活性位点对的Cu/Cd1−xS催化剂表面的端羟基振动峰(3729cm-1)显著增强,表明Cu-S活性位点对能够能更有效地解离活化吸附态的H2O分子,进而产生更多的质子与羟基,促进涉及质子耦合多电子转移过程的光催化CO2全反应过程。

图3. 原位红外表征。
DFT理论计算(图4)进一步表明,Cd空位介导的Cu-S活性位点对显著降低了吸附态H2O分子解离活化的反应能垒以及近邻Cd位点上吸附态CO2分子催化转化制CO反应速控步的反应能垒,从而实现了CO选择性和产率的显著提升。基于以上实验和理论结果,本文提出了具有Cd空位介导的Cu-S活性位点对的Cu/Cd1−xS光催化还原CO2性能显著提升的可能机理(图5)。

图4. 理论计算模拟。

图5. 反应过程示意图。
本工作通过缺陷介导策略,在CdS模型材料表面成功构筑了Cd空位介导的Cu-S活性位点对,实现了光催化CO2还原制CO选择性和产率的显著提升,并证明了来自H2O氧化半反应的质子供应在调控光催化CO2光还原性能中的重要作用。原位漫反射红外光谱等一系列实验研究和DFT理论模拟共同揭示了Cd空位介导的Cu-S活性位点对选择性地促进了H2O分子的解离活化,可更有效地为近邻Cd位点上的吸附态含碳物种的PCET过程供给质子,从而提升了光催化还原CO2制CO的选择性和产率。这项工作提供了通过调节氧化半反应中的质子供应来促进二氧化碳光还原的独特见解,并提出了从全反应的角度设计开发高效光催化剂的呼吁,以加快推进太阳能驱动二氧化碳转化的实际应用。
操亨:中国科学技术大学国家同步辐射实验室博士后。主要依托同步辐射光源和红外自由电子激光等大科学装置,利用相关实验方法开展光催化温室气体转化的机理探究。目前以第一(含共同)作者在Angew. Chem. Int. Ed.、Nano Lett.、ACS Catal.等学术期刊上发表SCI论文数篇。
朱晓娣:中国科学技术大学国家同步辐射实验室副教授、硕士生导师,红外自由电子激光表界面反射吸收红外光谱实验站负责人。致力于依托红外自由电子激光和同步辐射光源等大科学装置建立原位/工况实验方法和表征技术,并开展其在能源催化领域的应用研究。目前已在 Adv. Mater., Adv. Sci., Appl. Catal. B: Environ., ACS Catal.等学术期刊上发表SCI论文30余篇,著有英文专著章节1 章,申请国家发明专利6项(已授权4项)。近5年主持国家自然科学基金、中央高校基本科研业务重要方向培育基金、双一流经费专项资金等4项,主要参与国家重点研发计划催化专项和国家重大科研仪器设备研制专项 2 项。
鲍骏:中国科学技术大学国家同步辐射实验室研究员、博士生导师。主要研究方向为能源催化、同步辐射及自由电子激光实验技术。发展了一系列基于同步辐射和自由电子激光的原位催化表征及材料基因组学技术,如同步辐射红外显微谱学催化剂高通量筛选系统、红外自由电子激光时空域分辨原位谱学表征方法等,并对用户开放。在能源催化领域,开展了合成气催化转化、CO2/CH4光电催化、低碳烷烃制烯烃等研究。迄今,已在Nature. Comm., J. Am. Chem. Soc., Angew. Chem. Int. Ed., ACS Catal.等期刊发表论文150多篇,受邀参与撰写英文专著2部,获授权发明专利12项。主持承担基金委、科技部、中科院、教育部等多项课题研究,部分成果实现技术转让。
课题组主页:https://team.ustc.edu.cn/Baogroup/zh_CN/index.htm
欢迎关注我们,订阅更多最新消息
“邃瞳科学云”推出专业的自然科学直播服务啦!不仅直播团队专业,直播画面出色,而且传播渠道多,宣传效果佳。
“邃瞳科学云"平台正在收集、整理各类学术会议信息,欢迎学会、期刊、会议组织方择优在邃瞳平台上进行线上直播,希望藉此帮助广大科研人员跨越时空的限制,实现自由、畅通地交流互动。欢迎老师同学们提供会议信息(会有礼品赠送),学会、期刊、会议组织方商谈合作,均请联系潘经理:18612651915(微信同)。
投稿、荐稿、爆料:Editor@scisight.cn