
第一作者:刘琼 博士
通讯作者:陈嵘 教授、周琨 教授
通讯单位:武汉纺织大学
论文DOI: 10.1002/advs.202400934
光催化CO2转化为碳氢化合物对环境保护和能量转化具有双重意义,是当前的研究热点。但CO2转化效率低、催化剂选择性差、催化反应机制不明确等问题是目前研究的瓶颈。针对以上问题,陈嵘教授团队以BiOCl为研究对象,通过过渡金属(Pt、Pd和Au)共催化调节催化剂表面*CO吸附和*H供给,进而调控中间体*CHO的形成与其后续反应,实现了BiOCl光催化CO2还原催化活性和C2碳氢产物选择性的提升。进一步结合原位红外表征技术及DFT理论计算,揭示了催化剂表面结构-性能对应关系,从分子层面探究了催化反应过程与机制。该论文的研究结果对于光催化CO2还原催化剂的设计及催化机理研究具有一定指导意义。
在从CO2到C2烃的反应途径中,主要的限制是具有挑战性的C─C偶联过程。理论计算和实验研究表明,通过OC─CHO偶联途径形成C─C键在热力学和动力学上都比*CO二聚形成*OCCO更有利。催化剂对*CO的适度吸附强度是保证其进一步加氢成*CHO的关键,这是*OC─CHO途径所必需的。同时,*H的作用也不容忽视。首先,H2O裂解形成*H (H2O+*+e−→*H+OH−),随后,*H参与*CO2的加氢反应,生成关键中间体*CHO。*CHO可以与*H连续反应生成CH4 (*CHO+*H→CH4),或者C-C偶联生成C2烃(*CHO+*CO→C2)。因此,调控*CO和*H在催化剂表面的吸附和覆盖对于调节*OC─CHO二聚体的形成,同时抑制*CHO进一步氢化生成CH4至关重要。
基于不同的过渡金属具有不同的*H和*CO吸附能以及H2O解离能力,陈嵘教授课题组以BiOCl为研究对象,提出了通过过渡金属(Pt、Pd和Au)共催化调节催化剂表面*CO吸附和*H供给,进而调控中间体*CHO的形成与其后续反应,实现了BiOCl光催化CO2还原催化活性和C2碳氢产物选择性的提升。进一步结合原位红外表征技术及DFT理论计算,揭示了催化剂表面结构-性能对应关系,从分子层面探究了催化反应过程与机制。
图1. 理论计算M/BiOCl表面*CO吸附能和H2O的解离自由能,1% M/BiOCl (M = Pt, Pd, Au)样品的XRD和XPS图谱
DFT理论计算结果表明,M/BiOCl对中间体*CO的吸附性能与表面负载金属的特性密切相关,表面金属对*CO的吸附越强,相应金属负载的BiOCl的CO吸附能力越强。此外,在BiOCl表面引入Au, Pd和Pt后,加速了H2O解离,促进*H供给。XRD和XPS结果表明,1% M/BiOCl (M = Pt, Pd, Au)与BiOCl的标准卡片一致,表面负载的Pt、Pd、Au为零价。

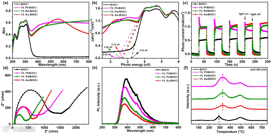
实验结果表明,M/BiOCl (M=Pt,Pd,Au) 表面的金属活性位促进了光催化CO2还原CH4和C2H6的生成。不同M/BiOCl具有不同的产物选择性,其中,Pt/BiOCl的CH4选择最高,Au/BiOCl的C2H6选择性最高。

Au、Pd和Pt引入后提升了BiOCl的光电化学性能和对CO的吸附性能,不仅利于光催化CO2还原催化活性的提升,而且能促进多个e−/H+转移过程的化学反应,生成C1和C2碳氢产物。

M/BiOCl对*CO的吸附强度和表面*H的覆盖程度极大地影响了*CHO的反应途径,从而影响CH4 (*CHO+*H→CH4)和C2(*CHO+*CO→C2)产物的选择性。对于Pt/BiOCl,Pt共催化位点可以有效地参与H2O解离,传递更多的*H,促进*CHO的连续质子化(ΔG = 0.10和- 0.37 eV),而不是*CHO与*CO偶联形成*OC─CHO (ΔG = 0.91 eV)。因此,CH4选择性更高。Pd/BiOCl和Au/BiOCl较低的*H供应使得*CHO或*CHOH质子化能垒高。尤其是,*CHOH在Au/BiOCl上进一步加氢生成*CH需要克服很高的能垒(1.35 eV),这极大地抑制了CH4的形成,C2烃产物具有更高的选择性。

原位FTIR实验也进一步检测到了不同样品表面上对应关键中间体的信号,验证了理论计算的结果。
本研究通过构建M/BiOCl,利用表面过渡金属的性质差异调控BiOCl表面的*CO吸附性能以及*H的供给,实现了其光催化CO2还原碳氢产物的选择性生成。进一步结合理论计算与原位表征,分析了表面金属调控BiOCl表面*CO吸附以及对H2O离解能力的规律,以及其影响光催化CO2还原催化反应过程及产物选择性的机制。
陈嵘教授,武汉纺织大学省部共建纺织新材料与先进加工技术国家重点实验室二级教授、博士生导师。湖北省“楚天学者计划”楚天学者特聘教授、享受国务院政府特殊津贴专家、湖北省新世纪高层次人才工程第一层次人选、教育部新世纪优秀人才支持计划入选者、湖北省有突出贡献的中青年专家、湖北省杰出青年基金获得者、全国石油和化工教育“教学名师”。2007-2021年武汉工程大学任教,先后担任化工与制药学院副院长、湖北省新型反应器与绿色化学工艺重点实验室主任、化学与环境工程学院院长、化工新材料研究院执行院长、国家级环境与化工清洁生产实验教学中心主任。2022年全职引进到武汉纺织大学国家重点实验室工作。主要研究方向为微纳米结构无机功能材料的精准合成及其在环境催化与吸附、纺织以及生物医药领域的应用。
作为负责人先后主持国家自然科学基金6项、教育部新世纪优秀人才支持计划、湖北省创新群体、湖北省杰出青年基金、武汉市科技局科技攻关和应用基础前沿项目、湖北省和武汉市国际合作项目等20多项科研项目。在Nat. Commun., J. Am Chem. Soc., Angew. Chem. Int. Ed., ACS Catal., Appl. Catal. B: Environ.等国际著名学术期刊以及国内重要学术刊物上发表SCI检索论文150多篇,收录论文被引用次数达10000多次,H指数50,ESI高被引论文12篇。获国家授权发明专利31件,以第一完成人获省部级科研、教学奖励10余项。培养研究生多人在国内知名高校任教或在国有大中型企业以及世界五百强企业任职。
本文仅用于学术分享,不做盈利使用,如有侵权,请联系后台小编删除
欢迎关注我们,订阅更多最新消息
“邃瞳科学云”推出专业的自然科学直播服务啦!不仅直播团队专业,直播画面出色,而且传播渠道多,宣传效果佳。
“邃瞳科学云"平台正在收集、整理各类学术会议信息,欢迎学会、期刊、会议组织方择优在邃瞳平台上进行线上直播,希望藉此帮助广大科研人员跨越时空的限制,实现自由、畅通地交流互动。欢迎老师同学们提供会议信息(会有礼品赠送),学会、期刊、会议组织方商谈合作,均请联系潘经理:18612651915(微信同)。
投稿、荐稿、爆料:Editor@scisight.cn