
第一作者:丁峻,李文怡,张恒
通讯作者:李文怡,张海民
通讯单位:中国科学院合肥物质科学研究院固体物理研究所,中国科学技术大学
论文DOI:10.1002/adfm.202410768
可再生能源(如太阳能、风能等)驱动的电化学氮气(N2)还原合成氨(eNRR)工艺提供了一条可持续、环境友好和可分布式生产的产氨途径,但N2分子难以活化和反应过程中析氢反应(HER)的剧烈竞争都严重制约了其选择性和活性。针对这些问题,本研究利用搭建的小型射流等离子体装置和构筑的氮掺杂碳纳米管负载的PdNi双位点(PdNi/N-CNTs)模型催化剂,构建了等离子体空气氧化耦合电催化NO2-还原合成氨(pN2-eNO2-RR)体系,可有效突破单一eNRR的技术瓶颈,显著提高固氮合成氨性能。其中所建立的射流等离子体空气氧化系统,最优NO2⁻产率可达30.46 mmol h⁻¹,能耗低至2.66 kWh molN⁻¹。所设计的PdNi/N-CNTs催化剂具有丰富的Ni和Pd双金属活性位点,可分别有效吸附和活化NO2-,同时持续提供H*参与氢化反应,协同促进合成氨。在-0.38 V和0.02 V(vs RHE)电位下,可分别实现最优氨产率34.96 mg h⁻¹ mgcat.⁻¹,最优法拉第效率98.21%。进一步地,搭建了级联模式下的pN2-eNO2⁻RR连续运行装置,通过巧妙设计的双功能流通式电解槽,展示了从空气中直接合成和原位回收克级硫酸铵产品的完整过程。
氨(NH3)作为化肥的重要原料和无碳能源载体的重要性不言而喻,与传统能耗密集型哈伯-博施(Habor-Bosch)工艺相比,可再生能源(如太阳能、风能等)驱动的电化学氮气(N2)还原(eNRR)工艺提供了一条可持续、环境友好和可分布式生产的产氨途径。然而,目前eNRR技术面临巨大挑战:惰性极高的N2分子难以活化和剧烈的析氢竞争反应(HER),都严重制约了其选择性和活性。将难以活化的N2转化成反应性更强的中间体是克服上述eNRR局限性的一种有效方式。低温等离子体放电产生激发态的高能粒子可以有效活化空气中的N2形成活性更高的氮氧化物(NOx),相较于传统Haber-Bosch工艺和热等离子体Birkeland-Eyde工艺,具有较低的能耗和宽松的反应条件。将低温等离子体技术可高效活化N≡N三键应用至电催化体系中,发展等离子体氧化耦合电催化还原合成氨(pN2-eNOx-RR)这一技术路线,主要基于以下关键两点:(1)低温等离子体技术对气体的高效转化能力,可在较低能耗下将空气中的N2和O2转化为NOx气体;(2)电催化技术可以在较低电位下将反应活性更强的氮氧负离子(NOx-)高效还原为氨,相比于eNRR,显著提高合成氨的产率和选择性。由此可见,等离子体放电形式的选择和高效电催化剂的构筑对实现在较低能耗下提高中间体NOx及产物NH3产率十分关键。此外,目前大部分研究中等离子体放电与电催化还原是分步进行的,反应并不连续。这种分步方式不可避免地存在着如NOx利用率低、反应步骤长、无法实现空气到溶液中氨的实时转化等弊端。因此,如何通过反应系统的优化升级实现两步反应的连续运行、解决NOx利用不充分等问题仍有待进一步研究。
1. 利用搭建的小型射流等离子体装置和构筑的氮掺杂碳纳米管负载的PdNi双位点(PdNi/N-CNTs)模型催化剂,构建了等离子体空气氧化耦合电催化NO2-还原合成氨(pN2-eNO2-RR)体系:
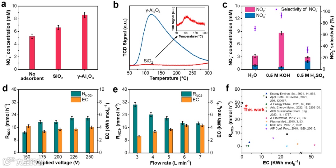
I)基于射流等离子体放电形式具有气体重整能力强、能耗低等优势,且装置简单,易与其他装置集成化,建立了小型的射流等离子体空气氧化系统。在出气口末端配备填充γ-Al2O3吸附剂的纳米起泡器,能够有效提高溶液中NOx的吸收量。通过系统的工艺参数优化,最优NO2⁻产率可达30.46 mmol h⁻¹,且能耗低至2.66 kWh molN⁻¹。
II)通过合金化策略在氮掺杂碳纳米管基底上精准构筑了PdNi双金属纳米颗粒催化剂(PdNi/N-CNTs),用于高效eNO2-RR合成氨。在-0.38 V和0.02 V(vs RHE)电位下,可分别实现最优氨产率34.96 mg h⁻¹ mgcat.⁻¹,最优法拉第效率98.21%。密度泛函理论(DFT)计算结合多种原位表征技术表明,PdNi合金化调节了Ni的电子结构,使得Ni位点能够更有效地吸附和活化NO2-。同时引入的Pd位点可以有效分解水,为Ni位点持续提供H*参与含氮中间体的氢化反应,从而促进NH3的形成。
2. 为了提高NOx、NO2-利用率及合成氨转化率,搭建了级联模式下的pN2-eNO2⁻RR连续运行装置。在最优等离子体工艺参数和安培级还原电流下,可实现平均氨产率25.56 mmol h⁻¹,法拉第效率>85%,NOx到NH3转化率44.62%。此外,通过巧妙设计的双功能流通式电解槽,展示了从空气中直接合成并原位回收克级硫酸铵产品的完整过程。

(a)使用不同吸附剂时溶液中吸收的NOx-(NO2-和NO3-)浓度。(b)γ-Al2O3和SiO2吸附剂的NO-TPD曲线。(c)不同吸收液中NOx-(NO2-和NO3-)浓度和NO2-选择性。在(d)不同输入电压和(e)不同空气流速下获得的NO2-产率及其对应的能耗。(f)本工作所取得的NOx-产率和能耗与其他已报导的低温等离子体N2活化相关工作的对比情况。

(a)PdNi/N-CNTs样品的制备策略示意图。(b)PdNi/N-CNTs和Ni/N-CNTs的XRD图谱。(c)PdNi/N-CNTs的TEM及相应粒径分布图。(d)PdNi/N-CNTs的HRTEM和相应FFT图。(e)PdNi/N-CNTs的HAADF-STEM和(f-i)相应的元素映射图。(j)PdNi/N-CNTs和Ni/N-CNTs的Ni 2p 高分辨XPS光谱。(k-l)PdNi/N-CNTs的Pd 3d和N 1s 高分辨XPS光谱。
图3:PdNi/N-CNTs催化剂的eNO2−RR性能评估。

(a) PdNi/N-CNTs和Ni/N-CNTs的LSV曲线对比。(b, c) PdNi/N-CNTs和Ni/N-CNTs在不同电位下的氨产率和法拉第效率对比。(d)靛酚蓝显色法和1H NMR法测定的氨产率对比。(e-f)不同NO2−-N浓度下PdNi/N-CNTs和Ni/N-CNTs法拉第效率和氨产率对比。(g)PdNi/N-CNTs和Ni/N-CNTs的电化学阻抗谱对比。(h)PdNi/N-CNTs和Ni/N-CNTs的电化学活性面积对比。(i)PdNi/N-CNTs的10次循环稳定性测试。
图4:PdNi/N-CNTs的eNO2−RR反应机制探究。

(a)PdNi/N-CNTs和(b)Ni/N-CNTs在不同电解条件下的电子自旋共振谱。(c)Pd位点和Ni位点上H2O的吸附和解离的自由能以及H的吸附自由能对比。(d)PdNi/N-CNTs和(e)Ni/N-CNTs在催化eNO2−RR过程中的原位红外光谱。(f)PdNi/N-CNTs催化eNO2−RR过程中的差分电化学质谱。(g)DFT计算模拟PdNi/N-CNTs和Ni/N-CNTs催化eNO2−RR过程中各个反应步骤的吉布斯自由能图。
图5:级联pN2-eNO2⁻RR模式下连续合成氨测试结果。

级联pN2-eNO2−RR模式下:(a)采用的双功能流通式电解槽示意图及(b)工作原理示意图。(c)氨浓度及随时间的变化其对应的槽电压,(d)相对应的氨产率及法拉第效率。(e)本工作所取得的氨产率和能耗与已报导的不同合成氨体系的对比情况。(f)不同N产物(RNOx/NO2-/NH3)产率及氨转化率。(g)收集的(NH4)2SO4粉末以及其对应的XRD图谱。
本工作针对单一电催化氮气电还原(eNRR)过程中氮气(N2)难以活化、析氢反应(HER)竞争激烈等技术瓶颈所带来的氨产率和选择性低等问题,构建了低温等离子体空气氧化耦合电催化NO2-还原合成氨(pN2-eNO2-RR)体系。在等离子体放电形式的选择上,搭建了小型射流等离子体装置,可实现高效转化惰性的N2为NO2-。在高效电催化剂的构筑方面,所设计的PdNi/N-CNTs催化剂具有丰富的Ni和Pd双金属活性位点,可实现协同促进合成氨。进一步地,为了实现两步反应的连续运行,搭建了级联模式下的pN2-eNO2⁻RR连续运行装置。通过巧妙设计的双功能流通式电解槽,展示了从空气中直接合成并原位回收硫酸铵产品的完整过程。本工作为通过耦合多种先进技术发展新型固氮合成氨技术提供了新的思路。
张海民,中国科学院固体物理研究所研究员,中国科学院“百人计划”支持获得者,博士生导师。2008年获得大连理工大学博士学位,2006-2014期间在澳大利亚格里菲斯大学从事访问学者,博士后,研究员工作研究。主要从事环境能源纳米材料与应用技术的研究工作,包括氢燃料电池电催化剂、膜电极、电催化分解水产氢催化剂和工艺装备的研发;常温、常压电催化高值化学品合成催化剂和工艺研究;针对环境污染水体快速检测/监测传感器以及水净化装备的研发。近年来在Nat. Sustain.、Angew. Chem. Int. Ed.、Adv. Mater.、Energy & Environ. Sci.、Adv. Energy Mater.、Adv. Funct. Mater.、ACS Nano、ACS Energy Lett.、Nano Energy、Nano Res.、National Sci. Rev.、Sci. Bull.等杂志发表学术论文260余篇,论文引用7000余次,H-index为48。其中,发表论文中含多篇ESI高被引论文,封面论文,以及Nature Index期刊论文。
J. Ding, W. Li, H. Zhang, S. Tang, Z. Mao, S. Zhang, M. Jin, Q. Lin, Y. Zhang, G. Wang, H. Zhang, A Cascade Jet Plasma Oxidation─electroreduction System Using Pd-Ni Dual-Site Catalyst for Sustainable Ammonia Production from Air. Adv. Funct. Mater. 2024, 2410768.
https://doi.org/10.1002/adfm.202410768
欢迎关注我们,订阅更多最新消息
“邃瞳科学云”推出专业的自然科学直播服务啦!不仅直播团队专业,直播画面出色,而且传播渠道多,宣传效果佳。
“邃瞳科学云"平台正在收集、整理各类学术会议信息,欢迎学会、期刊、会议组织方择优在邃瞳平台上进行线上直播,希望藉此帮助广大科研人员跨越时空的限制,实现自由、畅通地交流互动。欢迎老师同学们提供会议信息(会有礼品赠送),学会、期刊、会议组织方商谈合作,均请联系潘经理:18612651915(微信同)。
投稿、荐稿、爆料:Editor@scisight.cn