
第一作者:冯圣
通讯作者:陈萍研究员 高文波副研究员
通讯单位:中国科学院大连化学物理研究所
论文DOI:10.1002/aenm.202401252
氨分解制氢过程(Ammonia decomposition for H2 generation, ADH)是“氨-氢”能源技术路线中的关键反应之一。近年来,氨分解制氢研究主要集中在开发高活性、低成本的氨分解催化剂。然而,目前很少有催化剂能在500℃以下实现高效氨分解,并且通常依赖贵金属钌。本文报道了一种全新的“碱金属及其氨基化合物”介导的化学链氨分解制氢新过程(Chemical looping ammonia decomposition for hydrogen generation, CLADH),相比于传统催化过程,该方法可在更低的温度下实现氨分解。该CLADH包括两个步骤:1)氨化过程:金属Na或K分别与NH3反应生成NaNH2或KNH2,可在室温下释放三分之一的H2;2)分解过程:NaNH2或KNH2在275℃以上分解为N2和H2,并且再生金属Na或K。此外,CLADH过程中两步反应的焓变差值显著,具有应用于热能存储的潜力。
氨分解制氢是“氨-氢”技术路线的关键环节之一。从热力学上看,氨分解是一个吸热增熵反应,在400℃时NH3的平衡转化率可达99%以上。然而,由于该过程的动力学阻力较大,热催化氨分解(TADH)过程通常需要更高的温度实现NH3的完全分解。例如,使用Ru基催化剂温度需要500℃以上,而非贵金属Ni催化剂则需要600℃以上。尽管研究人员一直致力于设计开发新型高效的氨分解催化剂,但目前很少有热催化剂能够在较低温条件下(≤ 400℃)实现氨的完全转化。因此开发温和条件下的高效氨分解催化剂或新工艺是该领域的研究重点。
化学链合成氨通过解耦合成氨反应,可以使得合成氨反应的温度和压力显著降低。作为合成氨过程的逆反应,是否可以通过化学链过程使氨分解制氢在更温和的反应条件下实施是非常值得研究的课题,然而目前尚未有关于化学链氨分解过程(CLADH)的报道。该课题组前期研究发现,NaNH2和KNH2材料发生分解时主要释放出氢气和氮气,且过渡金属的存在可加速这一过程,此外,文献报道金属Na和K在催化剂的作用下易与NH3反应生成NaNH2和KNH2,这表明通过碱金属和其氨基化物之间的转化可能实现化学链氨分解制氢。
1. 基于碱金属氨基化物和碱金属之间的相互转化,提出了由一种碱金属及其氨基化合物介导的化学链氨分解制氢新方法(如图1所示)。
2. 该过程的第一步为碱金属氨化反应(方程式1),该步可在室温完成并释放出氨中1/3的氢;第二步为碱金属氨基化物分解(方程式2),该步在催化剂的作用下在400 ℃内可实现 99%以上的分解转化率。
3. 该过程的两步反应具有较大的反应焓值,以Na为例,NaNH2的储热密度为3177 kJ kg-1,Na的储热密度为3391 kJ kg-1,约为现有MgH2/Mg和Mg2FeH6/Mg-Fe储热材料体系储热密度的1.5倍,具有应用于储热研究领域的潜力。

图1. 氨基化合物介导化学链氨分解过程示意图。

图2. Na/NaNH2 和 K/KNH2 介导的化学链氨分解过程热力学分析。
从热力学分析结果(图2)可以看出,在NH3和H2压力为1 bar的条件下,K和Na的氨化反应分别在301℃和342℃以下是热力学可行的。此外,在N2和H2都是常压的条件下,KNH2和NaNH2分解生成K和Na的反应分别在温度高于252℃和275℃是热力学可行的。此外,KNH2和NaNH2分解分别在302℃和342℃以上的吉布斯自由能比氨分解反应的吉布斯自由能更低,表明氨基化物分解可能比氨分解在高温具有更大的热力学驱动力。由上述热力学分析可知,通过碱金属-氨基化合物介导的CLADH过程在热力学上是可行的。
A(s) + NH3(g) → ANH2(s) + 1/2 H2(g) 式1
ANH2(s) → A(s) + 1/2 N2 (g)+ H2(g) 式2

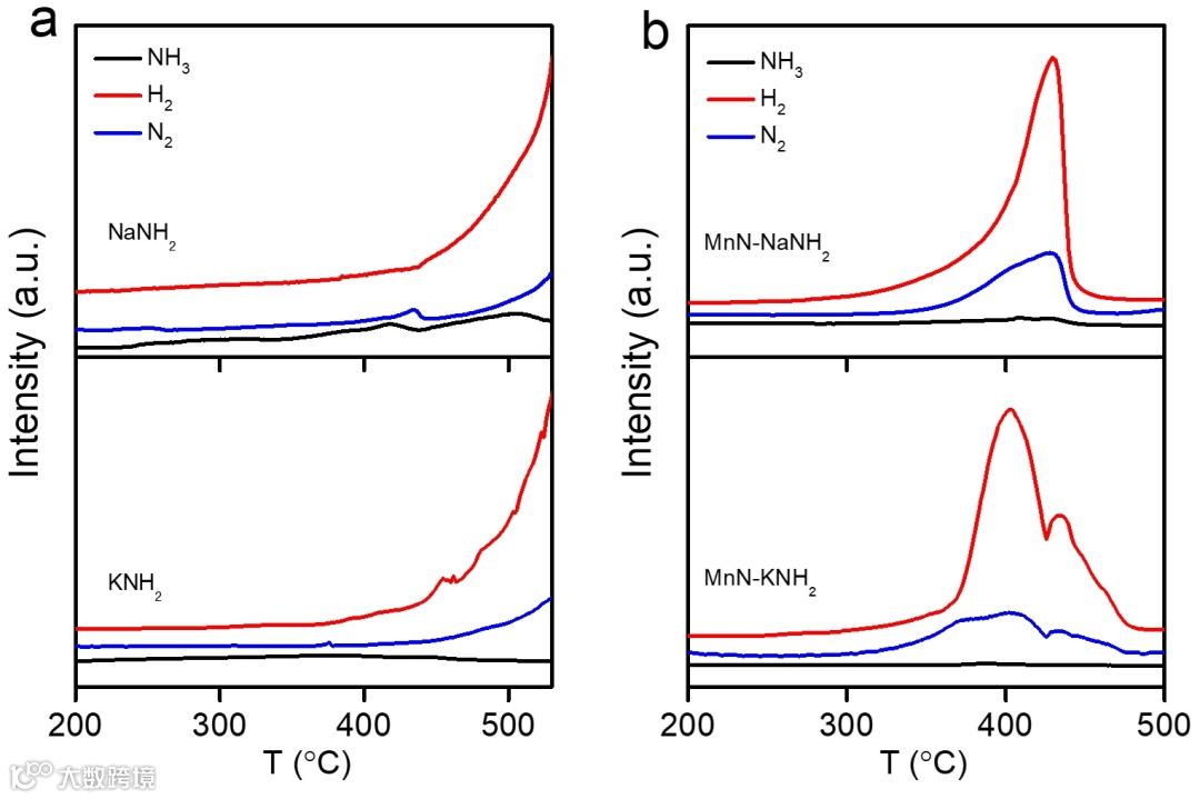
图3. a) NaNH2和KNH2 Ar-TPD-MS测试;b) MnN-NaNH2和MnN-KNH2Ar-TPD-MS测试。
图3a显示的是KNH2和NaNH2的Ar-TPD-MS实验结果,可以看到在400℃以上,NaNH2开始分解,并生成N2和H2,在约425℃之后产生了少量NH3。而KNH2在400℃以上开始分解,气体产物只有N2和H2。需要指出的是氨基化合物实际的分解温度高于热力学所需的温度,说明该过程可能存在一定的动力学阻力。因此,引入催化剂可能改善KNH2和NaNH2分解反应的动力学。如图3b所示,在KNH2和NaNH2中添加MnN作为催化剂,使初始分解温度均降低了近100℃,MnN-KNH2和MnN-NaNH2分别在400℃和430℃处出现放氢峰值。此外, MnN的加入使NaNH2样品中的NH3信号明显降低,表明MnN催化剂抑制产氨副反应发生。
随后对Ar-TPD测试后的KNH2和NaNH2样品进行了FTIR和XRD表征。FTIR谱图显示(图4a),原本属于KNH2和NaNH2样品的N-H振动峰在反应后完全消失了。而且结合XRD谱图可以发现(图4b),在反应后NaNH2和KNH2的衍射峰完全消失,出现了明显的K、Na的信号峰。表明碱金属氨基化物分解生成碱金属并放出氮气和氢气。

图4. a) NaNH2和KNH2样品Ar-TPD测试后的FTIR结果;b) NaNH2和KNH2样品Ar-TPD测试后的XRD结果。
3. 化学链氨分解制氢性能

图5. a) NaNH2、KNH2、MnN-NaH2和MnN-KNH2样品分解产氢速率;b) NaNH2、KNH2、MnN-NaNH2和MnN-KNH2样品的活化能。
从图5a可以看到单独的KNH2和NaNH2在400℃和425℃时的产氢速率仅为0.083和0.031 mmol g-1 min-1。而且图5a显示出了MnN-KNH2和MnN-NaNH2不同温度下的产氢速率,在MnN的催化作用下,相同温度下复合材料的产氢速率均比纯NaNH2和KNH2提升一个数量级以上,最低分别在275℃和300℃下可以测出产氢性能。在400℃时,MnN-和KNH2的产氢率达到0.65 mmol g-1 min-1,是该温度下纯KNH2的59倍。同样地,MnN-NaNH2在425℃下的产氢速率可以达到0.54 mmol g-1 min-1,是该温度下纯NaNH2的54倍。除此之外,图5b分别计算了KNH2、NaNH2、MnN-KNH2、MnN-NaNH2分解制氢过程的表观活化能。可以看到,MnN的引入使得KNH2和NaNH2的表观活化能分别从109.8和118.9 kJ mol-1降低到67.3和75.7 kJ mol-1,活化能的显著降低说明MnN和氨基化合物之间有良好的协同作用。与负载催化剂中KNH2和NaNH2理论含氢量对比,可以算出在400℃和425℃时KNH2和NaNH2的转化率分别达到了99%和98%,接近完全转化。而在相同温度下,MnN-KNH2、MnN-NaNH2在热催化氨分解过程的氨分解转化率仅有7%和13%。
4. 基于化学链氨分解制氢工艺的太阳能储热系统构建

图6. CLADH工艺在制氢和太阳能储能中的应用场景。
在CLADH过程中,第一步氨基化合物的分解是吸热反应,而第二步碱金属的氨化是放热反应,利用这两步反应的吸热和放热特性可用于热能的存储。由于采用相对原子质量较小的碱金属元素,CLADH在储热密度方面具有优势,其中NaNH2的储热密度为3177 kJ kg-1,基于Na的储热密度为3391 kJ kg-1,约为MgH2/Mg和Mg2FeH6/Mg-Fe体系的1.5倍。因此,我们提出了一种基于CLADH工艺在太阳能储热过程中的应用场景。如图6所示,首先在可再生能源驱动的合成氨工厂生产得到绿氨。接着将绿氨运输至CLADH中的氨化反应器,碱金属氨化反应生成碱金属氨基化合物,并释放出NH3中三分之一的氢作为H2燃料。随后,对碱金属氨基化合物进行分解,释放出剩余的H2,并且再生碱金属。碱金属氨基化合物的分解是强吸热过程,可以在白天利用太阳光聚热进行。而碱金属氨化是放热过程,因此可以在夜间进行,将释放出的热能提供给周边用户供热、发电或作为碱金属氨基化合物分解反应的部分热源。该构想为可再生能源驱动的分布式、小型化“氨-氢”能源模式提供了一条可能的技术路线。
综上所述,作者基于碱金属及其氨基化合物间的化学转化,设计并实现了一种由碱金属(K和Na)和碱金属氨基化合物(KNH2和NaNH2)介导的新型CLADH过程,该过程可在400℃内基本实现氨的完全转化(转化率≥99%)。本工作不仅报道了一种温和条件下实现高效氨分解的新方法,并且展示了化学链工艺在热能存储领域的应用潜力。
高文波,大连化物所副研究员,硕士生导师,中国科学院青年创新促进会会员及化材分会理事。致力于温和条件下的合成氨及氨分解研究,主要包括低温热催化、化学链及电化学合成氨及氨分解制氢等。在Nature Energy、Nature Chemistry、Nature Catalysis等期刊发表论文30余篇,申请专利10余项。获得辽宁省自然科学一等奖(排名第3)、大连化物所“优秀青年博士人才”、中科院院长优秀奖、卢嘉锡优秀研究生奖中科院百篇优秀博士学位论文等荣誉。
陈萍,研究员,博士生导师,杰青,万人,大连化物所氢化物能源化学研究中心主任(DNL1901组群)。致力于氢化物化学这一学科领域,深入研究氢化物的设计合成、物性及功能,探索其在能源存储及化学转化中的作用,主要研究方向包括化学储氢、催化、氮气的活化与转化、离子传导等。在Nature、Nature Materials、Nature Chemistry、Nature Energy、Nature Catalysis等期刊上发表研究论文260余篇,撰写专著一部。获得中国青年女科学奖、首届全球清洁能源“创新使命领军者(Mission Innovation Champions)”称号和辽宁省自然科学一等奖等奖项。担任国际氢能联合会顾问委员会委员,金属氢体系研讨会国际筹划委员会委员、能源化学(Journal of Energy Chemistry) 副主编、国际能源署氢能技术框架执委会(Executive Committee of IEA Hydrogen TCP)执委会委员和中方代表,Chem(Cell Press)顾问委员会委员及多个国际杂志副主编、编委等。
课题组主页:http://www.imide.dicp.ac.cn/
欢迎关注我们,订阅更多最新消息
“邃瞳科学云”推出专业的自然科学直播服务啦!不仅直播团队专业,直播画面出色,而且传播渠道多,宣传效果佳。
“邃瞳科学云"平台正在收集、整理各类学术会议信息,欢迎学会、期刊、会议组织方择优在邃瞳平台上进行线上直播,希望藉此帮助广大科研人员跨越时空的限制,实现自由、畅通地交流互动。欢迎老师同学们提供会议信息(会有礼品赠送),学会、期刊、会议组织方商谈合作,均请联系18612651915(微信同)。
投稿、荐稿、爆料:Editor@scisight.cn