
第一作者:王新超,肖婷婷
通讯作者:赵凤玉研究员、张弨教授
通讯单位:中国科学院长春应用化学研究所,中国科学技术大学;东北师范大学
论文DOI:https://doi.org/10.1021/acscatal.4c04196
C-O键的高效氢解是生物质含氧化合物转化利用中的关键步骤之一。然而C-O键的裂解常受困于高的反应能耗,低温低压下催化活性较低,且有效催化体系报道较少。本工作利用富含缺陷位点的Pt/TiO2-D催化剂,在温和条件下实现了木质素含氧小分子的加氢脱氧转化。TiO2-D中的缺陷在H2解离中起关键作用,并促进活性H在TiO2-D表面、亚表面和体相内迁移,导致在Pt活性位点附近形成“H池”,提高反应体系中H物种浓度。研究结果表明,Pt/TiO2-D在极低氢浓度(1 atm 10% H2/Ar)展现出高的C-O键裂解活性。Pt位点均裂产生的H迅速扩散至载体转变成质子和负氢物种,从而进一步在催化剂表面溢流以及向体相迁移。迁移至TiO2-D亚表面及体相的H-物种诱导载体结构变化形成TiHxOy富氢层及Ti3O5晶相,及更丰富的缺陷位点,进一步促进了H2分子的活化、Pt-H物种和储氢层的形成。氧化物缺陷驱动下的H2分子、底物分子的高效活化和催化剂的结构重构促成了温和条件Pt/TiO2-D催化剂的高反应活性。
芳香族化合物广泛应用于石油化工和塑料工业,用于合成药物、染料和其他各种产品。木质素是唯一含有芳香环结构的可再生资源,成为可替代化石资源生产芳香化学品的有效选择。C−O键的裂解对木质素和木质素含氧小分子的转化至关重要,由于芳香醚和酚类具有较高的C−O键能,多数反应在高温高压(气相反应≥300 ºC,液相反应≥240 ºC,氢压≥3 MPa)下进行。低温低氢压下C−O键的催化解离成为研究人员不懈的追求,目前仅少数催化体系有见报道,难点在于:(1)提高反应体系中的活性H浓度;(2)强化催化剂与含氧小分子的相互作用。构建匹配的催化体系应当满足三个条件:(1)有效解离氢气分子;(2)在活性位点之间维持足量活性氢并加速转移效率;(3)有效吸附活化醚/酚中的氧原子和C-O键。
1. 本工作设计了富含缺点位点的TiO2-D载体,缺陷位点能够稳定Ptδ+物种,促进H2分子解离和活性H溢流;
2. TiO2-D表面缺陷位点有效促进含氧反应物的吸附和活化;
3. 反应过程中Pt/TiO2-D催化剂产生结构重构,H-物种持续向催化剂亚表面及体相迁移,造成体相晶格扭曲,诱导产生新的缺点位点及进一步促进H2活化;
4. Pt/TiO2-D催化剂可在低温低压(150 °C,常压10% H2/Ar)条件下展现出高反应活性。
本工作利用TiCl3作为钛基前驱体制备系列缺陷型氧化钛载体TiO2-D和Pt/TiO2-D催化剂。Pt/TiO2-D-300催化剂中Pt平均粒径为1.9 nm, (111)和(200)为优势晶面,TiO2-D载体呈锐钛矿和金红石混相结构,以锐钛矿相为主。除∼0.34 nm锐钛矿TiO2 (101)晶面外,可观察到0.36 nm晶格间距,表明存在晶格膨胀,且该催化剂中存在空位、晶界、位错等缺陷(图1)。

图1 Pt/TiO2-D-300催化剂形貌表征
EPR、Raman等表征结果证实Pt/TiO2-D-300催化剂中存在大量氧空位缺陷(图2a/b);氧化物缺陷进一步影响了Pt的电子性质,形成Ptδ+−O−Ti界面位点;CO-DRIFTS结果进一步证实Pt/TiO2-D-300中Pt物种以高度配位不饱和形式存在(图2d)。

图2 Pt基催化剂缺陷及电子状态表征
图3a揭示了缺陷含量与模型分子愈创木酚的加氢脱氧转化率的关联,缺陷含量与催化活性存在明显正相关关系。采用常压10%H2/Ar作为氢源进行催化测试,Pt/TiO2-D-300(以下标注为Pt/TiO2-D)反应速率可达Pt/TiO2-P25的1.5倍,Pt/SiO2的99.5倍。以Pt/TiO2-D作为催化剂,反应产物分布以苯酚、苯甲醚等芳香族化合物为主,选择性超过90%(图3b)。

图3 Pt基催化剂的催化反应性能
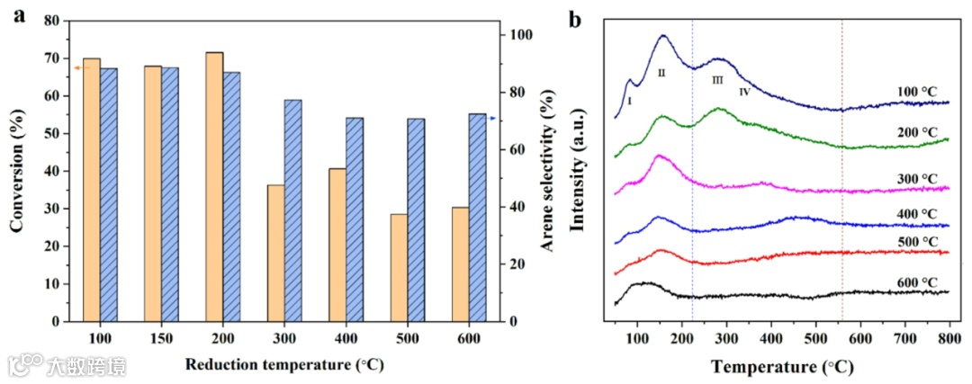
为进一步阐述氢传递过程对于C-O键裂解活性的影响,对Pt/TiO2-D采用不同温度还原处理,以关联氢溢流能力与反应活性。在100、150和200 ºC还原下,Pt/TiO2-D展现出相近的底物分子转化率,但还原温度提升至300 ºC时转化率骤降(图4a)。同样,还原温度提升至300 ºC以上时,Pt-TiO2界面和TiO2表面处溢流氢的脱附量发生骤降,表明低氢压下C-O键裂解活性与催化剂溢流水平强相关(图4b)。

图4 不同还原温度下Pt/TiO2-D的催化反应性能及氢脱附行为
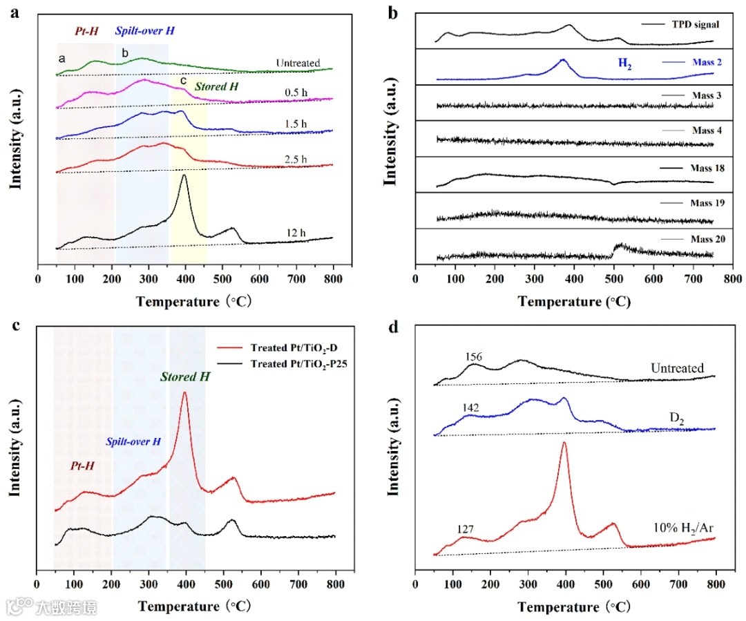
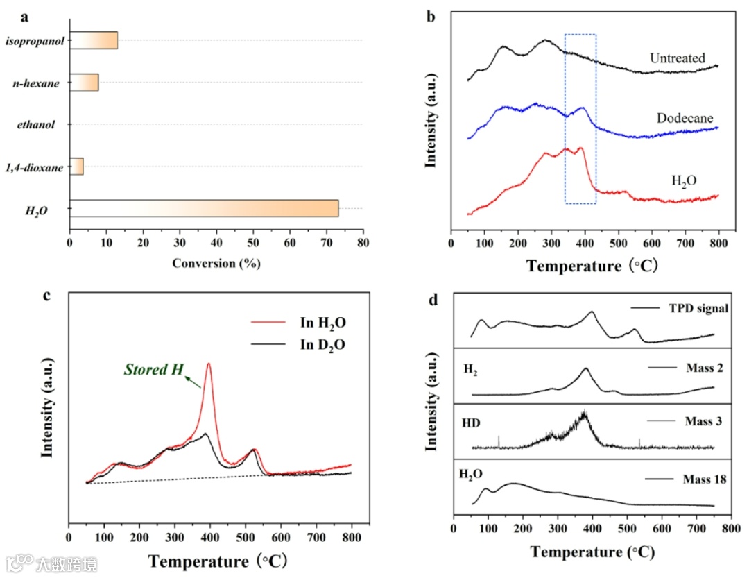
通过在反应条件下原位处理催化剂,以模拟不同反应阶段/时间下催化剂的状态。伴随着处理时间的延长,氢脱附行为有以下几个特征出现:(1)Pt位点氢脱附峰向低温偏移;(2)金属-载体界面及载体表面氢脱附量增大;(3)新的氢脱附峰(400 ºC)出现,且随处理时间脱附量增大(图5a)。TPD-MS结果证明新的脱附峰为TiO2的体相储氢峰(图5b/c/d)。裂解后的H物种可渗透进入氧化物晶格,以间隙H、O-H或与氧空位结合等形式存在,并最终被氧空位捕获形成Hx-Ov复合体。同位素实验证明经过原位处理后的催化剂能够活化裂解水分子,且水分子的存在能够加速储氢(H传递)速度(图6)。

图5 不同处理时间下Pt基催化剂的氢脱附行为

图6 水分子对反应性能及储氢行为的影响
伴随着H的传递,催化剂的电子状态随之演变。在反应过程中,表面氧空位Ti3+-Ov-Ti3+被H-物种迅速占据,形成类氢化物结构Tiδ+-H--Tiδ+并造成电子重新排布(图7 a/b),形成富氢钛氧层TiHxOy,并引发形成更多晶格缺陷(图7c/d)。H-向体相持续迁移,创造点缺陷,且诱导形成晶体剪切面,导致形成玛格奈利相Ti3O5(图7e/f)。结构演变由缺陷位点引发和促进,并最终造成更多缺陷的形成,反映在催化性能上,即促进氢气分子的活化、H的迁移和反应物分子的吸附活化。H2-DRIFTS结果证实经处理后的催化剂对于氢气的活化进一步增强(图8)。

图7 电子状态与相结构演变

图8 H2-DRIFTS结果
理论计算表明,氢气分子在Pt位点处发生均裂,随后在载体界面位点形成Ti-Hδ-和O-Hδ+(图9),从而进一步在表面及体相迁移,反应物分子的红外吸附结果证明,在反应过程中含氧底物分子吸附于TiO2-D表面缺陷位点处,与溢流至缺点位的H+和H-发生反应,完成C-O键的裂解过程(图10)。在此过程中,氢气分子的活化裂解、H物种的转移传递、底物分子的吸附活化均对反应速率有着很大影响,Pt/TiO2-D的本征性质和结构演变对上述三个过程均有促进作用。

图9 氢气裂解和活性氢扩散的DFT结果

图10 反应物分子的DRIFTS结果
本工作构建了一种富含缺陷的Pt/TiO2-D催化剂,该催化剂在低温低压下具备较高的C-O键裂解活性。Pt/TiO2-D具备大量缺点位点及Ptδ+−O−Ti界面位点,能够有效促进H2的解离和活性H的迁移。缺陷位点作为H的储藏库,促进其在TiO2-D表面的溢流和向体相的迁移。水分子能够加速上述过程的进行,最终诱导形成更多缺陷位和Ti3O5相结构。模型分子愈创木酚优先吸附于TiO2-D表面缺陷,与H+/H−反应生成芳香产物。该研究工作强调了氧化物缺陷对于活性金属电子状态、催化剂结构重构、反应物分子活化和活性氢物种传递的重要影响。
课题组主页http://fyzhao.ciac.jl.cn/
欢迎关注我们,订阅更多最新消息
“邃瞳科学云”推出专业的自然科学直播服务啦!不仅直播团队专业,直播画面出色,而且传播渠道多,宣传效果佳。
“邃瞳科学云"平台正在收集、整理各类学术会议信息,欢迎学会、期刊、会议组织方择优在邃瞳平台上进行线上直播,希望藉此帮助广大科研人员跨越时空的限制,实现自由、畅通地交流互动。欢迎老师同学们提供会议信息(会有礼品赠送),学会、期刊、会议组织方商谈合作,均请联系18612651915(微信同)。
投稿、荐稿、爆料:Editor@scisight.cn