编者按:场外期权作为资本市场中的重要金融工具,为诸多市场主体与投资者提供了灵活的风险管理和收益增强手段,也正是因为其灵活性与复杂性,导致大众缺乏对场外期权的基础认知。中证报价投教基地推出“场外期权基础知识”专栏,邀请交易商深入浅出地介绍场外期权的基本概念、风险管理和定价机制,希望能够帮助大家更加全面地了解这一复杂而高效的金融工具。
作者:东方财富证券证券投资总部
▍有限差分法
在数学上,有限差分法常用来求解偏微分方程,从这个角度理解,期权定价的有限差分法,实际上就是偏微分方程(PDE)法。在整个流程中,使用有限差分法求解偏微分方程实际上是个数学问题,真正与期权定价思想有关的,反而是BS偏微分方程的来源。
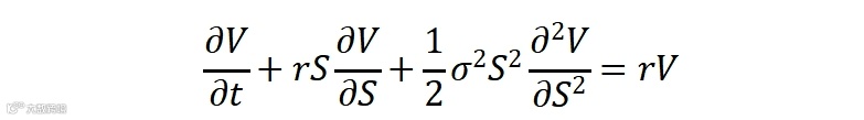
“期权定价公式”一章中,我们在介绍BS公式时曾经提到过这个偏微分方程:
上述方程中的变量是时间t、t时刻标的价格S和t时刻价格的期权价值V,其余都是参数。对于远离高等数学的普通投资者来说,这个方程还是比较抽象的,因此我们一直没有展开来讲。但这并不意味着它不重要——事实上,在期权定价当中,BS偏微分方程有着不亚于BS公式的地位,因为它是无套利思想的直接结果。当然,使用风险中性的假设也可以推出这个偏微分方程,这一过程被归结为费曼卡茨(Feynman-Kac)公式。
这样的表达式,这在数学上是偏导数的符号,其意义就是代表了期权价值对时间(标的价格)的敏感程度。对于解方程来讲,我们的目标是求出各个时间点和标的价格下的期权价值V,而不关心
这样的偏导数是什么。因此,根据偏导数的意义,我们可以将其写成差分的形式,例如
——这就是有限差分中“差分”的由来。
差分的意义在于将相邻时间、价格节点的期权价值建立了联系,从而我们可以依据已知节点推得未知节点的期权价值。如下图所示,到期日的期权价值是已知的,可以据此逐步前推,求出期初的期权价值。
对于相同的节点,不同的差分方式可能需要不同位置的已知节点,上图中是三个下一时刻的节点,这种差分方式被称为显式差分。另外还有可能用到相同时间不同价格的节点,这种情况下,在求解过程中,除了需要从到期时间往前推之外,还需要从两边的价格往里推,如下图(隐式差分)所示。
对于上图的隐式差分法来说,还需注意的一点是,完整的价格范围理论上是无限的,我们需要将其截断之后再开始向内迭代——这就是“有限”的由来。
▍数值积分法
顾名思义,数值积分法,在数学上就是求解定积分的一种方式。关于期权定价与定积分之间的关系,我们在“期权定价的解析解”一章中已经有所介绍。不熟悉高等数学的普通投资者甚至不需要理解定积分是什么,下图表达的含义已经足够直观:无非是把每个点的支付和概率相乘,然后全部加和。
这也恰恰是求取定积分数值解的一种思路。我们可以把价格区间切分成有限段,每段内的“概率×支付”在一定误差范围内相等,如下图所示,只需计算这些“概率×支付”,然后全部加和。
上述这个方法相对比较简单和直观,但是误差也比较大,一个改进方法是在每一段内使用容易求解定积分的函数去拟合;期权定价的数值积分法普遍使用的辛普森法则,就是沿着这个方向去改进的。
点击下方图片查看征稿详情↓
【免责声明】本文信息仅用于投资者教育之目的,不构成对投资者的任何投资建议,投资者不应当以该等信息取代其独立判断或仅根据该等信息作出决策。本文信息力求准确可靠,但对这些信息的准确性或完整性不作保证,亦不对因使用该等信息而引发或可能引发的损失承担任何责任。


