
第一作者:谢远名
通讯作者:张颖、林明月
通讯单位:江南大学、华东理工大学
论文DOI:10.1021/acscatal.4c06490
CO2与C-C单键的电羧化是一种可持续的策略,可合成在聚合物和医药领域有潜在应用的二羧酸。然而,CO2与C-C键均具有热力学和动力学稳定性,反应活性低。本工作合成了一系列不同结晶度的Nb2O5,以未活化的环丙烷衍生物为模型底物进行CO2电催化羧化反应。其中,具有高维结构的Nb2O5-HD表现出约94%的二羧化产率,以及88%的克级实验产率,在连续电解100小时后仍旧保持着原有结构和性能,体现出长期稳定性。对照实验与原位光谱揭示了反应的关键中间体:CO2自由基阴离子(CO2•−)。研究结果表明,相对于其他结晶度的Nb2O5,Nb2O5-HD表现出特殊的高维结构和丰富的晶体缺陷,促使其暴露出更多的酸性位点,有利于高活性的亲核CO2•−的生成和稳定,促进了CO2的电还原羧化反应。
自工业革命以来,伴随着化石能源的燃烧和工业化进展,二氧化碳排放量逐年攀升,引发了全球气候变暖、海平面上升和荒漠化等生态环境问题。二氧化碳尽管是主要的温室气体,但同时也是丰富、经济、无毒且可再生的碳源。以二氧化碳作为C1合成子与有机底物的电羧化,被认为是获取高价值羧酸和固定二氧化碳的有效途径。然后,目前二氧化碳电羧化相关研究大多使用铂片、铁片、碳棒、石墨毡以及泡沫镍等传统商用大块材料作为工作电极,反应面积和活性位点有限。Nb2O5的结构以八面体铌(NbO6)为基础,通过不同程度畸变的共享角或共享边连接。NbO6单元违反了Pauling的静电价规则,导致Nb2O5化合物的八面体出现较大的结构畸变。这些扭曲促进了晶体剪切、晶格缺陷和氧空位,最终导致更多催化活性位点的产生。Nb2O5是潜在的二氧化碳还原催化剂,近期Nb2O5光催化二氧化碳还原为一氧化碳、甲烷和乙酸等燃料与化学品均有报道,但在电催化二氧化碳还原的研究尚未披露。晶体工程是一种通过增加活性位点的数量或催化剂的内在活性来改善电催化剂的战略方法,允许精确优化催化剂性能以实现有效的二氧化碳转化。为此,我们合成了不同结晶度的Nb2O5样品,用于电催化二氧化碳与环丙烷衍生物开环二羧化。
(1) 本文合成了一系列不同结晶度的纳米级催化剂,其中具有高维结构的Nb2O5-HD拥有优异的CO2电羧化性能,弥补了传统电极材料反应面积和活性位点有限的缺陷。
(2) 通过原位光谱和对照实验研究了CO2与环丙烷衍生物电催化开环二羧化的反应过程和关键中间体,揭示了工作电极催化剂与反应体系之间的构效关系。
(3) 证明了铌氧化物作为高效CO2还原电催化剂的潜力,突显了在纳米尺度上定制材料特性的重要性,为推进有机电合成中CO2转化策略开辟了新的路径。

图1 电羧化反应条件和产率。(a) C-C单键与CO2的电还原二羧基化;(b)不同阴极材料的二羧酸产率。
以草酸铌铵为原料,水热法合成了正交Nb2O5(T-Nb2O5)和纳米晶高维Nb2O5 (Nb2O5-HD)。以铌酸(Nb2O5•nH2O)为前驱体,煅烧得到无定形Nb2O5(Nb2O5-A)。四丁基四氟硼酸铵为电解质,无水N-甲基吡咯烷酮为溶剂,泡沫镍(NF)或者Nb2O5/NF作为工作电极,Zn箔作为对电极,在-15 mA恒流条件下进行电羧化反应。泡沫镍电极仅表现出7.3%的低产率,而所有的Nb2O5/NF均表现出超过85%的二羧化产率,其中Nb2O5-HD达到约94%的优异羧化性能。

图2 T-Nb2O5、Nb2O5-A和 Nb2O5-HD表征。(a) T-Nb2O5、(b) Nb2O5-A 和 (c) Nb2O5-HD的 TEM 图像(a和c部分的插图为相应的 HRTEM 图像);(d) T-Nb2O5、(e) Nb2O5-A和 (f) Nb2O5-HD 的 SAED 图样;(g) Nb2O5-HD 的 HAADF-STEM 图像;(h) T-Nb2O5、Nb2O5-A 和 Nb2O5-HD的 XRD 图样;(i) (001) 和 (002) 晶面的 XRD 局部放大图。
为了阐明不同Nb2O5材料优异催化性能的来源,必须对其微观结构进行详细表征。采集透射电子显微镜(TEM)和高分辨率透射电子显微镜(HRTEM)图像以进一步研究Nb2O5的形貌和纳米结构。TEM和HRTEM分析表明,T-Nb2O5和Nb2O5-HD的纳米棒状结构以及Nb2O5-A的无定形结构(图2a-c)。选区电子衍射(SAED)图证实了Nb2O5催化剂的不同结晶度。T-Nb2O5具有高结晶度(图2d)。Nb2O5-A显示出非晶特征(图2e)。而Nb2O5-HD的衍射环表明其低结晶度(图2f)。此外,Nb2O5-HD的高角度环形暗场扫描透射电子显微镜(HAADF-STEM)图像揭示了其环形微孔的存在(图2g)。由纳米尺度的棒状颗粒聚集和微孔的存在导致的颗粒间介观空隙有助于反应面积的扩大和活性位点的暴露。在以前的报道中,具有这些结构的Nb2O5被称为高维结构的Nb2O5。X射线衍射图(图2h)进一步证实了3种Nb2O5的正交型、无定形和纳米晶的晶型,与T-Nb2O5相比,Nb2O5−HD中(001)和(002)晶面的2θ值更高,峰宽更宽,表明其更多的晶格缺陷,更低的结晶度(图2i)。

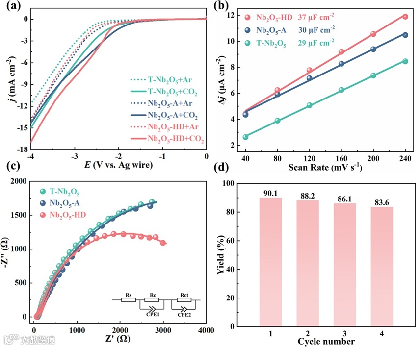
图3 电化学测试。(a) T-Nb2O5、Nb2O5-A和 Nb2O5-HD 在氩气或二氧化碳气氛下的线性扫描伏安曲线;(b) T-Nb2O5、Nb2O5-A和 Nb2O5-HD 的双电层电容;(c) 电化学阻抗谱。;(d) Nb2O5-HD/NF电极在循环测试中的二酸产量。
所有Nb2O5 样品在线性扫描伏安(LSV)曲线(图3a)都显示,在二氧化碳饱和电解液中记录到的电流密度明显高于在氩气饱和电解液中记录到的电流密度,这表明了二氧化碳还原反应的发生。使用 Nb2O5-HD 为阴极催化剂时,二氧化碳饱和电解液中的电流密度最高,这说明 Nb2O5-HD 在进行二氧化碳电羧化反应时具有最佳的性能。如图3b所示,得益于其高维结构,Nb2O5-HD有着最大的电化学活性面积(ECSA)。通过进行电化学阻抗谱(EIS)测试进一步探讨了 Nb2O5-HD 的电荷传输特性,其更多的晶格缺陷,加快了电荷传输,减小了阻抗。如图3d所示。在使用Nb2O5−HD/ NF作为工作电极进行四次循环电解后,只观察到二酸产率的轻微下降,表明其稳定性。

图4 克级反应、对照实验与原位光谱。(a) 克级反应;(b) 对照实验,用Ar 代替 CO2;(c) CO2自由基阴离子的形成研究;(d) 在 Nb2O5-HD上记录的原位 ATR-SEIRAS 和 (e) 原位Raman光谱。
为了进一步说明这种纳米晶 Nb2O5-HD 在 CO2与环丙烷的电还原二羧化反应中的实用性,进行了克级反应,生成了 1.1 克 2a,收率为 88%(图 4a)。这表明了该体系是实用和可放大的。96 小时长时间放大反应的优良产率进一步突出了 Nb2O5-HD的稳定性。为了深入研究可能反应机理,在Ar气氛下进行电化学还原反应,得到的还原产物 2b(戊二酸二乙酯)的产率为 48.2%(图 4b)。这说明底物可以在没有二氧化碳的情况下发生开环加氢反应,但产率低于开环二羧化反应。因此,在这个反应中,CO2不仅作为羧化试剂,而且还起到促进剂的作用。我们还检测了CO2条件下的水相产物,显示出甲酸的存在(图4c),这可能是通过CO2•−的进一步还原形成的。随后的原位衰减全反射表面增强红外光谱和原位拉曼光谱揭示了CO2•−的存在,羧化产物的生成和开环反应的发生(图4d和e)。

图5 底物吸附、酸性位点调控和反应机理。(a) T-Nb2O5、Nb2O5-A和 Nb2O5-HD 在 nBu4NBF4/NMP 中注入 1a前后的 OCP 曲线;(b) 不同阴极材料的二羧酸产率;(c)1a 与 CO2发生电化学二羧化反应的机理图。
了解了反应途径和关键中间体后,进一步研究了Nb2O5与反应的构效关系。开路电位(OCP)反映了吸附物在亥姆霍兹层中的变化,这有助于评估1a在催化剂上的吸附行为。在注入环烷烃后,所有Nb2O5电极的OCP仅下降了几毫伏,其中Nb2O5−HD电极的OCP变化最弱(图5a)。这表明开环二羧基化的产率与底物吸附相关性不大。此外,与CO2大气下的开环二羧基化反应相比,无CO2条件下1a开环加氢反应的产率较低,这表明CO2还原为CO2•−及其与环烷烃的后续反应明显比环烷烃的直接还原更为重要。Nb2O5是一种广为人知的固体酸催化剂,其众多的酸性位点可能有助于高活性的亲核CO2•−的生成与稳定。Brønsted酸性位点是由高度极化的Nb−O键和草酸铌铵前驱体的NH4+在煅烧过程中形成的,Lewis酸性位点则来源于缺电子金属离子的暴露。由于Nb2O5−HD的高维结构和更多的晶体缺陷,其具备更高的酸性位点密度。为了进一步验证酸性位点与电羧化性能的关系,我们通过碱处理减少Brønsted酸性位点以及氢气还原增加Lewis酸性位点,并测试处理后的催化性能,发现羧化产率与酸性位点数量呈正比(图5b)。基于实验结果和之前的文献报道,我们提出了一个可能的电子转移-自由基加成-电子转移-自由基加成机理(图5c)。尽管可能存在少部分的底物还原(路径B),环烷烃与CO2在Nb2O5−HD上的二羧化主要由CO2还原生成CO2•−,CO2•−再与底物发生反应(路径A)。
综上所述,我们成功地设计了一种具有高维结构的纳米晶Nb2O5,用于二氧化碳与环烷烃的电还原二羧基化,在温和条件下达到了约94%的优良产率以及88%的克级反应产率。机理研究揭示了最终羧基化产物形成的两种可能途径,其中主要途径是通过单电子转移将CO2还原为CO2•−。Nb2O5-HD的纳米晶和高维结构导致了晶格缺陷和酸位的增加,纳米晶Nb2O5的高浓度酸位点促进了电羧化过程的关键中间体CO2•−的生成和稳定。此外,Nb2O5−HD即使在电解100 h后仍保持其结构稳定性,表明其长期稳定性和耐久性。纳米晶Nb2O5−HD的催化活性不仅证明了铌氧化物作为高效CO2还原电催化剂的潜力,而且为推进有机电合成中CO2转化策略开辟了新的路径。这项工作突显了在纳米尺度上定制材料特性的重要性,以开展可持续化学转化的解决方案。
Xie, Y.; Wang, X.; Mao, J.; Zhang, C.; Song, Q.; Murayama, T.; Lin, M.; Zhang, J.; Lou, Y.; Pan, C.; Zhang, Y.; Zhu, Y., Nanocrystalline High-Dimensional Nb2O5 for Efficient Electroreductive Dicarboxylation of CO2 with Cycloalkane. ACS Catal. 2024, 18624-18632.
DOI:10.1021/acscatal.4c06490
张颖:2015年6月于北京化工大学应用化学系本科毕业,导师孙晓明教授;2019年2月于澳大利亚Monash University获得理学博士学位,导师Jie Zhang以及Alan M. Bond教授;2019年6月加入江南大学化学与材料工程学院朱永法教授课题组任副教授。研究方向为新型电催化材料的制备与合成;电催化二氧化碳性能与器件制备;电催化机理探究。在Angew. Chem., ACS Catal., Appl. Catal. B等期刊发表论文70余篇。
林明月:2017年7月于中国科学院大学获工学博士学位,随后加入日本东京都立大学Masatake Haruta教授课题组任助理教授,2021年获上海市海外高层次人才引进计划。现为华东理工大学资源与环境工程学院副教授、反应安全研究中心副主任。研究方向为新型热/电催化材料制备与合成;催化剂机理探究。在Nat. Commun.、ACS Catal.等期刊发表论文40余篇。
谢远名:江南大学朱永法教授课题组2022级硕士研究生,研究方向为CO2电催化羧化。
欢迎关注我们,订阅更多最新消息
“邃瞳科学云”推出专业的自然科学直播服务啦!不仅直播团队专业,直播画面出色,而且传播渠道多,宣传效果佳。
“邃瞳科学云"平台正在收集、整理各类学术会议信息,欢迎学会、期刊、会议组织方择优在邃瞳平台上进行线上直播,希望藉此帮助广大科研人员跨越时空的限制,实现自由、畅通地交流互动。欢迎老师同学们提供会议信息(会有礼品赠送),学会、期刊、会议组织方商谈合作,均请联系18612651915(微信同)。
投稿、荐稿、爆料:Editor@scisight.cn