

第一作者:王鹏棠
通讯作者:乔世璋院士,郑尧教授
通讯单位:阿德莱德大学化工学院
论文DOI:10.1038/s41467-025-57798-3
尿素电氧化能有效地替代水氧化以实现节能制氢。但在实际应用中,其受到高昂尿素价格和缓慢反应动力学的限制。在本研究中,我们设计了一种高效的尿液电解节能制氢系统,可以用零成本的尿液作为原料。该系统利用了铂催化剂(Pt/C)上新发现的氯介导尿素氧化(Cl-UOR)机制,其中Pt表面的Cl吸附物种(Clads)可以直接与尿素吸附物进行结合,形成N-氯脲中间体,随后通过分子间的N–N偶联转化为N2。这一快速的Cl-UOR过程显著提升了尿液电解的活性和稳定性,降低了反应所需的电位,同时避免了氯引发的腐蚀,使系统能够在较低的电位下稳定运行超过200小时。得益于此,在300 mA cm-2电流密度下,我们尿液电解系统消耗的电能显著降低,仅为 4.05 kWh Nm-3,优于传统尿素电解(5.62 kWh Nm-3)和水电解(4.70–5.00 kWh Nm-3),展现了优异的节能制氢性能,凸显了尿液电解在节能制氢与尿液资源化利用中的潜力。
降低电力消耗以减少运行成本是实现电解水制氢的关键。为此,用其他热力学有利的氧化反应取代阳极析氧反应(OER)是一种重要且有效的策略。尿素作为一种氢载体,其分解所需能量低于水,使得尿素氧化反应(UOR)成为替代OER实现节能制氢的方案。但是,基于尿素市场价格与电压需求的技术经济分析(TEA,图1a),使用纯尿素进行UOR在经济性上无法与电解水制氢相竞争。尿液作为零成本、富含尿素的原料,是唯一可行的实现UOR节能制氢的途径。然而,尿液中成分复杂,特别是浓度较高的Cl⁻(~40−224 mM)在大电流下会触发析氯反应(ClER),导致电极和电解槽腐蚀(图1b)。因此,开发新体系以克服这些挑战、提升尿液电解的节能潜力至关重要。得益于Cl-/Cl2较低的热力学平衡电位,尿液电解在酸性条件下可通过Cl2辅助氧化尿素(6Cl–g 3Cl2+ 6e–;3Cl2 + CO(NH2)2 + H2Og CO2+ N2 + 6HCl),从理论上降低制氢所需电位(图1c)。然而,由于受到Cl2传质的限制,这一过程的动力学缓慢(图1d),且形成的Cl2仍会导致腐蚀,使得反应活性和稳定性受限(<50 mA cm-2,图1e),难以应用于实际工业场景,亟需优化改善。
图1. 尿素电解制氢的现状
1. 提出了一种动力学有利的Cl介导尿素氧化路径。不同于Cl2参与的间接氧化机制,我们发现吸附氯物种(Clads)可在Pt表面直接偶联尿素形成N-氯脲中间体,并在*OH作用下通过N–N偶联转化为N2,避免了Cl2的生成,从而增强尿液电解性能。
2. 评估并优化了尿液电解系统。不同于以往UOR研究依赖于添加纯尿素作为反应物,我们直接利用模拟尿液或原始尿液作为电解的原料,系统地评估尿液的各种参数(杂质离子、pH、尿素浓度和储存条件)对Cl-UOR的影响,为尿液电解及转化利用提供了新的见解。
3. 实现了尿液电解节能制氢。在300 mA cm-2的操作条件下,相比于Ni基尿素电解(5.62 kWh Nm-3)和水电解(碱性4.98 kWh Nm-3,酸性4.70 kWh Nm-3),我们的尿液电解系统在优化后能耗仅为4.05 kWh Nm-3,显著降低了制氢的电力成本。

通过配置模拟尿液(图2a),以Ni泡沫(NF)和Pt/C作为催化剂,首先评估了纯尿素与模拟尿液在碱性和酸性电解质中的电解性能差异(图2b)。NF在含1M KOH的纯尿素溶液中展现良好的UOR活性,而在模拟尿液中活性显著下降。相比之下,Pt/C在0.5M H2SO4中表现出相反趋势,在模拟尿液后电流明显增加,可达118.9 mA cm-2(@2V),约为纯尿素的13倍(图2c)。通过评估模拟尿液中各离子对Pt/C电解的影响,发现Cl⁻在UOR促进中起决定性作用(图2d)。除此以外,尿液酶解和储存实验进一步证实,酸化的尿液可以防止尿素在储存过程中降解,维持稳定的尿素浓度,确保高活性,凸显了酸性电解的优势(图2e, f)。
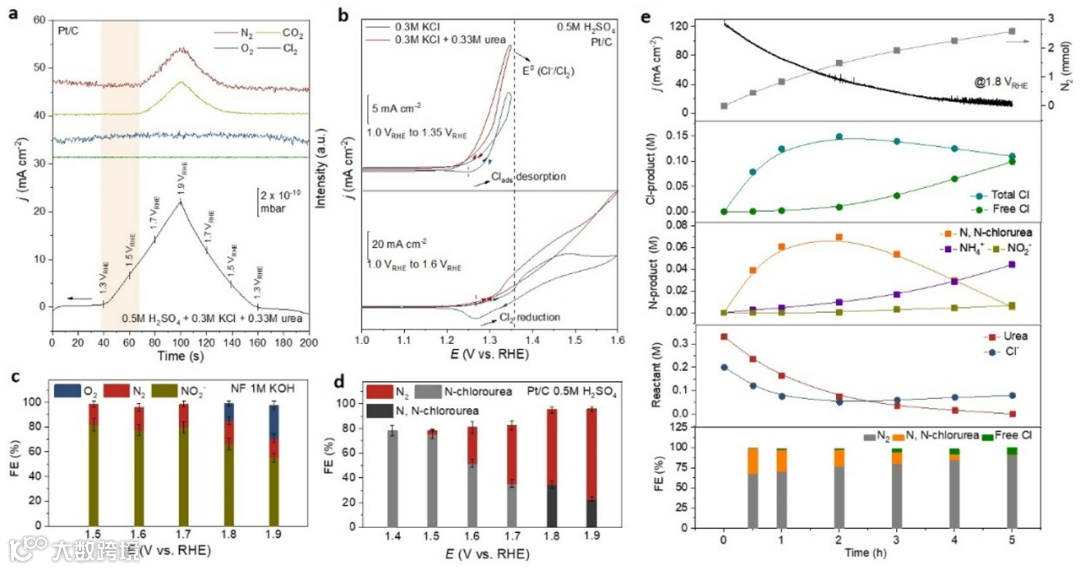
利用电化学差分质谱(DEMS)探究Pt催化尿液电解的发生途径(图3a),结果表明,相较于不加尿素情况下主要形成Cl2,加入尿素后,Cl2生成减少,N2和CO2信号增强,表明尿素通过Cl-UOR机制被氧化。同时,循环伏安(CV)测试显示,添加尿素后,除了Cl2还原峰外,Clads解吸峰也消失(图3b),表明Clads是Cl-UOR中关键的中间物质。结合紫外-可见(UV-vis)和核磁等表征证实,N-氯脲、N,N'-二氯脲以及N2在Cl-UOR过程中生成并与施加电位相关。Pt催化的酸性Cl-UOR的N2法拉第效率(FE)在1.9 VRHE远高于碱性UOR,证实Pt催化的酸性Cl-UOR有利于将尿素转化为N2(图3c, d)。长时间的Cl-UOR产物分析表明,长期电解后溶液中的游离Cl(free Cl)浓度增加,尤其当尿素浓度降至~0.074 M时,游离Cl明显上升,表明ClER逐渐占主导(图3e)。因此,长期电解可采取适当策略(如及时补充或更换尿液)以抑制ClER,维持Cl-UOR效率。

图4. Cl-UOR催化剂性能评估及反应动力学研究
进一步对比了酸性下Pt/C和RuO2在Cl-UOR和ClER中的表现(图4a),其中Pt/C在Cl-UOR表现出更高的活性,而RuO2在ClER中活性较高。动力学研究表明,RuO2上Cl-UOR的动力学特性与ClER相似(图4b),遵循Cl2介导的氧化过程,而Pt/C上的Cl-UOR动力学则有所不同。特别是,当电解液中Cl⁻浓度高于0.5M时,此时Pt/C的Cl-UOR活性不依赖于Cl⁻浓度(图4c)。这一变化表明,在Pt/C上,Cl-UOR的速率控制步骤(RDS)不涉及Cl2的生成。由此推测,尿素可能是与Pt表面吸附的Clads直接结合,加速了Cl-UOR反应。进一步的CV吸脱附实验以及Cl 2p X射线光电子能谱(XPS)表征表明(图4d, e),尿素和Cl-能够被活化吸附在Pt表面并直接耦合形成含氯有机物(氯脲)(图4f),进一步验证了我们的推测,Pt/C上Cl-UOR具有独特的反应路径。
图5. Cl-UOR催化转化尿素形成N2的机理研究
利用原位衰减全反射红外光谱(ATR–IRAS)分析了Cl-UOR过程中不同电位下中间体的吸附行为。结果表明(图5a),在1.3–1.5 VRHE范围内,尿素主要以N端吸附于Pt表面并生成N-氯脲。当电位升至1.5 VRHE,形成的N-氯脲会以O端吸附在Pt表面。这一吸附行为的变化表明Cl-UOR反应路径受高电位诱导的局域环境变化影响。XAS分析显示(图5b),Pt-O的配位数随电位升高而下降,而Pt–Cl的配位数则呈火山型趋势,并在>1.5 VRHE时降至零(图5c)。这一结果表明当电位大于1.5 VRHE时,Pt表面会因氧化导致Clads覆盖度下降,使Clads与尿素的偶联受到抑制。取而代之的是表面*OH与溶液中Cl⁻反应生成HClO作为氧化中间介质,促进尿素向N2转化。15N同位素标记实验表明N2主要经分子间N–N偶联形成(图5d)。此外,尿素类似物的电氧化证明N2和CO2的形成发生于分子间N–N偶联后。基于上述分析,Pt/C上Cl-UOR的反应机制如下(图5f):低电位下,尿素以N端吸附于Pt表面并与Clads结合,快速生成N-氯脲。随电位升高,*OH开始吸附致使Pt表面氧化,导致HClO形成并作为中间介质氧化N-氯脲生成N,N’-二氯脲。随着N,N’-二氯脲在催化剂表面的覆盖率上升,分子间N–N偶联被触发,并在*OH的作用下断裂C–N键,最终生成N2和CO2。
图6. 实际电解槽中Pt催化尿液电解与水电解的性能比较
在商业电解槽中,以模拟尿液作为反应物,评估了电解产氢的性能(图6a-c)。Pt/C催化的模拟尿液电解在25°C下电流密度更高、电压需求更低(图6c)。长时间电解测试显示该系统在10 mA cm-2下可稳定运行超210小时,远超酸性水电解(图6d)。将温度提高至60°C对标实际电解工况,可以发现,在60°C和2 V电压下,Pt/C催化模拟尿液电解的电流密度达341.4 mA cm-2,优于碱性尿素电解以及之前报道的尿液电解体系(图7a)。此外,Pt/C催化系统表现出较高的稳定性以及H2选择性(图7b),明显优于碱性尿素电解。更进一步,对实际尿液进行了电解测试。实验发现,不同批次尿液的Cl–UOR活性有所差异,主要受Cl⁻和尿素浓度影响(取决于饮食,图7c)。实际尿液电解活性可接近模拟尿液水平(图7d,e),进一步验证了尿液系统的实际可行性。最终的经济性分析显示,相比于水电解以及其他尿液电解系统,Pt/C催化的酸性尿液电解在制氢成本上具有显著优势(图7f)。
图7. Pt催化尿液电解制氢与其他电解系统制氢的性能和成本比较
本工作开发了一种酸性尿液电氧化体系,成功实现了节能产氢。不同于传统尿素电氧化过程,该体系利用尿液中的Cl-实现快速介导氧化机制,显著提升了活性和稳定性。电化学与原位光谱研究表明,该过程经由吸附尿素与Clads在Pt表面直接偶联生成N-氯脲,并通过分子间N–N偶联最终释放N2。优化后的尿液电解在高Cl⁻浓度下可实现工业级电流密度(531.7 mA cm-2, 2.0 V),且在300 mA cm-2条件下氢气生产的电耗仅4.05 kWh Nm-3,优于水电解和Ni基尿素电解。该工作有望推动尿液电解制氢及尿素降解在环境治理中的应用。
乔世璋院士现任澳大利亚阿德莱德大学化工学院纳米技术首席教授,能源与催化材料研究中心(Centre for Materials in Energy and Catalysis)主任,澳大利亚研究理事会电池回收培训中心主任。主要从事新能源技术纳米材料领域的研究,包括电催化、电池、光催化等。在国际顶级期刊发表学术论文超过570篇,引用超过14.3万次,H指数为194。乔世璋教授已获得多项重要奖励与荣誉,包括2023年澳大利亚研究理事会工业桂冠学者(ARC Australian Industry Laureate Fellow),2021年南澳年度科学家奖、2017年澳大利亚研究理事会桂冠学者(ARC Australian Laureate Fellow)、2016年埃克森美孚奖、2013年澳大利亚研究理事会杰出研究者奖(DORA)等。乔教授是澳大利亚科学院院士、国际化学工程师学会会士、澳大利亚皇家化学会会士、英国皇家化学会会士。同时,他担任国际刊物英国皇家化学会杂志EES Catalysis的主编,也是科睿唯安(Clarivate Analytics)/ 汤姆森路透(Thomson Reuters)化学、材料科学两个领域的高被引学者。
郑尧,教授,2014年博士毕业于昆士兰大学,目前为阿德莱德大学化工学院教授。主要研究方向为电化学能源转化,包括电炼化(electrocatalytic refinery),水裂解,二氧化碳还原等。目前作为第一作者和通讯作者已在Nature Energy、Nature Communications、Journal of American Chemical Society、Angewandte Chemie-International Edition、Advanced Materials等国际顶级期刊上发表论文190余篇,引用次数超过51,000次,h指数为93。获得澳大利亚研究理事会(ARC)包括Future Fellowship,Discovery Project,DECRA项目共计270余万澳元的资助。他也是科睿唯安(Clarivate Analytics)化学领域的高被引科学家。
王鹏棠,乔世璋团队博士后,目前在阿德莱德大学化工学院从事科研工作,主要研究方向为电炼化,包括电催化含氮小分子转化,二氧化碳还原,尿素氧化等。目前作为第一作者和通讯作者已在Nature Communications、Journal of American Chemical Society、Angewandte Chemie-International Edition、Joule等国际顶级期刊上发表论文50余篇,引用次数超过7800次,h指数为36。获得澳大利亚研究理事会(ARC)DECRA项目资助。
欢迎关注我们,订阅更多最新消息
“邃瞳科学云”推出专业的自然科学直播服务啦!不仅直播团队专业,直播画面出色,而且传播渠道多,宣传效果佳。
“邃瞳科学云"平台正在收集、整理各类学术会议信息,欢迎学会、期刊、会议组织方择优在邃瞳平台上进行线上直播,希望藉此帮助广大科研人员跨越时空的限制,实现自由、畅通地交流互动。欢迎老师同学们提供会议信息(会有礼品赠送),学会、期刊、会议组织方商谈合作,均请联系18612651915(微信同)。
投稿、荐稿、爆料:Editor@scisight.cn