
第一作者:徐冰
通讯作者:刘岳峰
通讯单位:中国科学院大连化学物理研究所
论文DOI:10.1021/acscatal.4c07162(文末附招聘信息)
碳化钼(MoCx)作为典型的过渡金属碳化物,具有类似贵金属Pt的特性,在烷烃脱氢中显示出巨大的应用潜力。微米级MoCx由于活性位点暴露有限,加之其强酸特性削弱了烷烃分子中C-H键活化能力,限制了进一步应用。基于此,中国科学院大连化学物理研究所刘岳峰研究员团队合成了高分散碳化钼纳米粒子用于丙烷直接脱氢和氧化脱氢中。性能测试结果表明嵌入Silicalite-1分子筛孔道中的MoCx NPs在CO2-ODHP反应速率为172.8 μmol g-1cat min-1,是bulk β-Mo2C的4倍,且C3H6选择性达到了94%。准原位XPS以及程序升温实验结果表明丰富的MoCxOy位点对丙烷中C-H键断裂至关重要;微米级bulk β-Mo2C在PDH反应中活性较差,而在CO2-ODHP反应中遵循还原-氧化(Redox)机制。MoCx/Si-1催化剂具有大量的MoCxOy活性位点、适宜的酸强度和微孔环境,表现出适中的丙烷吸附和产物解吸能力;丙烷在PDH反应中可以直接脱氢,在反应中引入CO2可提高丙烯选择性并减轻积碳。
丙烯是重要的基础有机化工原料,近年来在国内外市场的需求量持续增长。二氧化碳氧化丙烷脱氢是近年来发展迅速的丙烯生产技术。在诸多丙烷脱氢催化体系中,碳化钼(MoCx)作为典型的过渡金属碳化物,表现出与Pt相似的C-H键活化行为。然而,微米级碳化钼由于活性位点暴露有限和强酸特性,难以在丙烷脱氢反应中获得较高的反应活性和产物选择性;同时,碳化钼基催化剂在烷烃脱氢中反应机制尚不明确。基于此,作者合成了微米级bulk β-Mo2C和纯硅分子筛Silicalite-1限域MoCx纳米粒子催化剂(MoCx/Si-1),详细探究了两种催化剂的结构特性及在丙烷氧化脱氢中的活化机制,为碳化物在烷烃脱氢中的应用提供了指导。
(1) 合成了Silicalite-1分子筛限域的碳化钼纳米粒子用于CO2氧化丙烷脱氢反应,显著提升了反应活性及丙烯选择性;
(2) MoCx/Si-1催化剂具有丰富的MoCxOy活性位点,Si-1分子筛微孔环境增强了丙烷吸附以及丙烯和氢气的解吸和溢出;
(3) β-Mo2C在PDH反应中表现出较差的活性,而在CO2-ODHP反应中遵循Redox途径;MoCx/Si-1可以发生直接脱氢,引入CO2可以进一步提高丙烯选择性并缓解积碳。
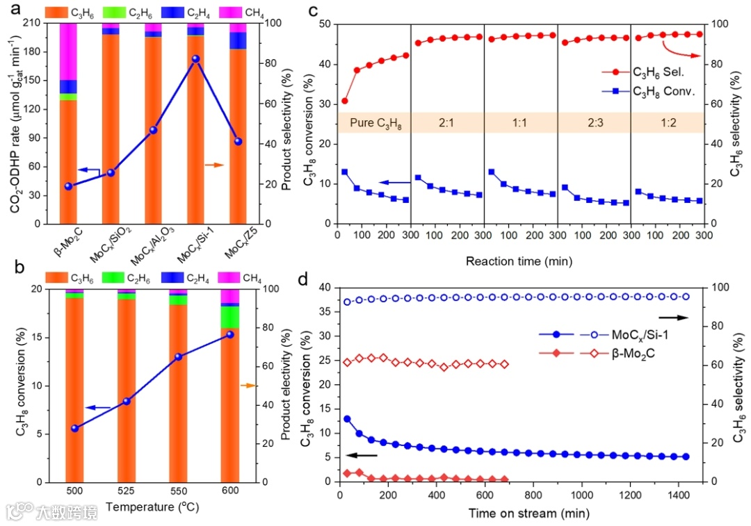
扫描电镜结果表明微米β-Mo2C由不规则块体组成,高分辨透射及球差扫描透射电镜结果表明碳化钼纳米粒子/团簇限域在Si-1微孔孔道中。MoCx/Si-1中的Mo和C元素均匀分布在分子筛内部。
图2. β-Mo2C和MoCx/Si-1的准原位XPS光谱和XAS表征结果
准原位XPS结果表明MoCx/Si-1催化剂中MoCxOy物种含量显著高于β-Mo2C。且Mo K边X射线吸收近边结构结果显示MoCx/Si-1中的Mo平均价态高于β-Mo2C,这是由于前者表面MoCxOy或MoOx物种的相对含量较高。FT-EXAFS拟合结果和小波变换结果表明,MoCx/Si-1表现出更强的Mo-O散射,这与材料中MoCxOy相对含量更高的组成相一致。
催化剂性能测试结果表明,MoCx/Si-1具有最高的反应速率(172.8 μmol g-1cat min-1)和丙烯选择性(94%)。过高的反应温度会导致丙烷裂解,降低丙烯的选择性;CO2共进料缓解了催化剂的失活。当C3H8:CO2=1:1(体积比)时具有更高的丙烯选择性。同时,MoCx/Si-1催化剂具有良好的稳定性,运行1400分钟后表现出较高和稳定的丙烷转化率,丙烯选择性超过95%。
图4. 不同催化剂的活化能以及CO2分压对反应速率的影响
动力学结果表明,MoCx/Si-1催化剂的表观活化能(66.7 kJ mol-1)是该系列催化剂中的最低值。两种催化剂上CO2分压对反应速率有显著的影响,当原料气中C3H8:CO2≤1时,β-Mo2C催化剂上反应速率强烈依赖于CO2分压,而MoCx/Si-1上反应耗率似乎几乎不受CO2分压的影响;在C3H8:CO2≥1的情况下,反应速率在两种催化剂上均开始下降,这可能是原料气竞争吸附导致的。
C3H8-TPD结果表明β-Mo2C会导致丙烷强吸附,MoCx/Z5和MoCx/Si-1催化剂在低温下丙烷吸附量显著增大。MoCx/SiO2的晶粒尺寸和酸性质虽与MoCx/Si-1相似,但丙烷吸附能力却相差很多,这是由于Si-1沸石的微孔环境带来的吸附差异,分子筛的微孔环境有利于丙烷吸附。同时,C3H6-TPD和H2-D2同位素交换实验表明MoCx/Si-1催化剂上丙烯容易解吸并且解离的活性氢也相对容易溢出。因此即使没有CO2共进料时,丙烷直接脱氢反应也可顺利进行。C3H8和CO2循环脉冲实验结果表明β-Mo2C经CO2活化之后丙烷脱氢能力显著增强,综合以上分析可得丙烷首先在MoCxOy位点还原为丙烯,同时CO2将MoCx位点氧化为MoCxOy活性位,进行随后的脱氢反应。因此,丙烷在β-Mo2C上的氧化脱氢路径遵循(Redox)机制,如下式所示:
CO2 + MoCx → MoCxOy + CO
C3H8 + MoCxOy → C3H6 + H2O + MoCx
此外,脉冲结果还表明MoCx/Si-1具备丙烷直接脱氢能力,这主要归因于丰富的MoCxOy活性位以及Si-1分子筛微孔环境;CO2处理MoCx/Si-1催化剂后丙烯信号与水信号增加,表明CO2-ODHP机制替代PDH机制在发挥作用。
图6. β-Mo2C和MoCx/Si-1上CO2-ODHP反应路径
本文采用程序升温碳化法合成了嵌入式碳化钼纳米粒子用于CO2氧化丙烷脱氢反应。反应性能测试结果表明MoCx/Si-1催化剂在CO2-ODHP反应速率达172.8 μmol g-1cat min-1,是bulk β-Mo2C的4倍,且C3H6选择性达到94%,显著提升了反应活性及丙烯选择性,同时保持了较好的稳定性。一系列表征结果表明,MoCx/Si-1具有丰富的MoCxOy活性位以及Si-1分子筛微孔结构,有利于丙烷吸附及产物的解吸/溢出;同时揭示了bulk β-Mo2C和MoCx/Si-1在丙烷脱氢反应中的作用机制,为设计高性能烷烃脱氢过渡金属碳化物催化剂提供了参考。
(1) Cao, S.; Guan, Z.; Ma, Y.; Xu, B.; Ma, J.; Chu, W.; Zhang, R.; Giambastiani, G.; Liu, Y. Synergizing Mon clusters and Mo2C nanoparticles on oxidized carbon nanotubes boosting the CO2 reduction activity. ACS Catal. 2024, 14, 10939-10950.
(2) Kang, H.; Ma, J.; Perathoner, S.; Chu, W.; Centi, G.; Liu, Y. Understanding the complexity in bridging thermal and electrocatalytic methanation of CO2. Chem. Soc. Rev. 2023, 52 (11), 3627-3662.
(3) Sun, X.; Yu, J.; Cao, S.; Zimina, A.; Sarma, B. B.; Grunwaldt, J. D.; Xu, H.; Li, S.; Liu, Y.; Sun, J. In situ investigations on structural evolutions during the facile synthesis of cubic alpha-MoC1‑x Catalysts.J. Am. Chem. Soc. 2022, 144 (49), 22589-22598.
(4) Ma, Y.; Ren, Y.; Zhou, Y.; Liu, W.; Baaziz, W.; Ersen, O.; Pham-Huu, C.; Greiner, M.; Chu, W.; Wang, A.; Zhang, T.; Liu, Y. High-density and thermally stable palladium single-atom catalysts for chemoselective hydrogenations. Angew. Chem., Int. Ed. 2020, 59 (48), 993 21613-21619.
(5) Ma, Y.; Guo, Z.; Jiang, Q.; Wu, K.-H.; Gong, H.; Liu, Y. Molybdenum carbide clusters for thermal conversion of CO2 to CO via reverse water-gas shift reaction. J. Energy Chem. 2020, 50, 37-43.
徐冰,博士毕业于中国科学院山西煤炭化学研究所,2022年加入中国科学院大连化学物理研究所刘岳峰研究团队开展博士后研究,主要从事贵金属和过渡金属碳化物催化剂的设计开发及催化低碳烷烃脱氢等研究。2025年入职榆林中科洁净能源创新研究院,目前主要聚焦于低碳烃催化转化和C1能源小分子加氢过程与工艺的研究工作。相关成果以第一/(共同)通讯作者发表在ACS Catal., ACS Sustainable Chem. Eng.和ChemCatChem等国际学术期刊。
研究团队与欧洲催化研究所(ERIC)联合发布招聘博士后启事,团队介绍及招聘信息如下:
大连化物所合作导师简介
刘岳峰,研究员、博士生导师。长期致力于CO/CO2等工业基础小分子催化材料的设计及其微观结构(原位)解析工作。开发的碳基精脱硫剂在宝武集团宝山基地、中南钢铁股份有限公司焦炉煤气系统精脱硫改造工程中成功应用,焦炉煤气处理量达20万立方/时。先后主持国家自然科学基金委重大研究计划(培育)、面上项目等5项以及企业合作项目等10余项。以第一/(共同)通讯作者在Nature Catal., J. Am. Chem. Soc., Angew. Chem. Int. Ed., Nature Commun., Chem. Rev., Chem. Soc. Rev.等国际顶级学术期刊发表论文80余篇;SCI引用超过9000次,H因子51 (google scholar)。入选中国科学院青年青促会(2018), 辽宁省“兴辽英才”青年拔尖人才计划(2019),获中国颗粒学会“青年颗粒学奖”(2022)等荣誉。连续入选全球前2%顶尖科学家榜单(2022-2024年度);担任中国颗粒学会青年理事,J. Energy Chem.、Chem. Synth.、Carbon Future和低碳化学与化工等期刊青年编委/客座编辑等学术兼职。
欧洲催化研究所(ERIC)导师简介
Gabriele Centi教授是意大利墨西拿大学教授和欧洲催化研究所主任,曾担任国际催化理事会(IACS)主席和材料科学和技术大学联盟副主席。长期致力于能源化工催化领域的战略性的研究,在纳米碳材料、工业催化、可持续化工等方向有着深厚的学术积累,是欧洲能源化工领域最杰出的科学家之一。主持过20多项欧洲联合项目,承担多项国际企业横向课题。发表SCI论文500余篇,引用次数超过2.9万次,H因子86;担任ChemSusChem等学术期刊编委,J. Energy Chem.共同主编。
研究方向及招聘人数
|
|
|
|
|
|
|
CO、CO2等一碳化学分子加氢转化催化剂开发及催化剂放大工艺优化。
|
|
|
|
熟练掌握纳米催化剂的原位表征方法;有透射电镜相关设备操作与数据分析方法经验者优先。
|
|
|
|
新型碳纳米催化材料和碳化物材料制备和多相催化应用研究。
|
招聘要求:博士学位,工业催化、物理化学或化学化工相关专业,有较强的专业英文阅读和写作能力,发表过一定数量的英文科技论文,并具有良好的科研素质和团队合作精神;需承担大连化物所和欧洲催化研究所双方共同关注的研究课题。
待遇保障:研究团队为博士后提供充足的科研条件支持以及优良的工作和生活环境,给予具有竞争力的薪酬,支持申请所内优秀博士后计划及多项外部支持等项目、基金,详情可见http://www.zp.dicp.ac.cn/info/1056/6717.htm。
应聘方式:有意向的申请人请将申请材料(个人简历,代表性论文)发送至以下邮箱:刘岳峰研究员: yuefeng.liu@dicp.ac.cn;Gabriele Centi教授: gabriele.centi@unime.it(接收英文简历)
欢迎关注我们,订阅更多最新消息
“邃瞳科学云”推出专业的自然科学直播服务啦!不仅直播团队专业,直播画面出色,而且传播渠道多,宣传效果佳。
“邃瞳科学云"平台正在收集、整理各类学术会议信息,欢迎学会、期刊、会议组织方择优在邃瞳平台上进行线上直播,希望藉此帮助广大科研人员跨越时空的限制,实现自由、畅通地交流互动。欢迎老师同学们提供会议信息(会有礼品赠送),学会、期刊、会议组织方商谈合作,均请联系18612651915(微信同)。
投稿、荐稿、爆料:Editor@scisight.cn