
第一作者:李佩璇,高蕾
通讯作者:杜世萱研究员,张艳芳副研究员
通讯单位:中国科学院物理研究所,中国科学院大学
论文DOI:https://doi.org/10.1021/acscatal.4c07453
本文通过第一性原理计算,系统研究了二维(2D)钪/钇硫族卤化物(Scandium/Yttrium Chalcohalides)单层材料的结构稳定性、电子和光学性质,并筛选出八种具有合适带隙和带边位置的α相单层材料(ScSI、ScTeI、ScSeZ和YTeZ;Z = Cl、Br、I),作为可见光驱动的全水分解光催化剂的潜在候选材料。研究表明,这些材料不仅具有较高的可见光吸收能力,还展现出低激子束缚能、高载流子迁移率和长热载流子冷却时间等优异特性,因此在光催化领域具有广阔的应用前景。
光催化技术作为一种利用可再生能源解决全球能源危机的方法,近年来引起了人们广泛的研究兴趣。其中,可见光驱动的光催化水分解因其环境友好性和可持续性而备受关注。二维材料由于其高比表面积和超薄特性,在光催化领域展现出巨大潜力。以往的研究工作已经深入探索了多种二维光催化剂,但在优化可见光吸收能力和提高光催化效率方面仍面临诸多挑战。
材料筛选与设计:通过第一性原理计算,系统研究了钪/钇硫族卤化物单层材料的结构稳定性和电子光学性质,筛选出八种具有合适带隙和带边位置的α相单层材料作为潜在的光催化候选材料。
光学吸收性能:研究发现,α-ScTeI单层材料在可见光区域的吸收强度可达15%(PBE水平,高于同结构类型已合成的光催化材料BiOI(10%))和20%(G0W0-BSE水平),且随着层数增加,吸收强度显著增强,七层结构的吸收强度可达45%(PBE水平)。
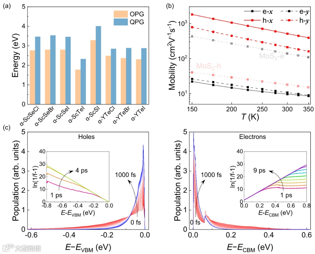
载流子动力学特性:α-ScTeI单层材料展现出低激子束缚能(0.55 eV,与单层光催化材料MoS2(0.54 eV)相当,比单层常见光催化材料CdS(0.87 eV)低),高载流子迁移率(300 K 时电子迁移率约10 cm2 V-1 s-1,空穴迁移率约500 cm2 V-1 s-1,高于BiOI(<10 cm2 V-1 s-1))以及长热载流子冷却时间(约1 ps,优于单层MoS2(<0.6 ps),电子和空穴的完全弛豫时间约为9 ps和4 ps),这些特性有助于提高光催化效率。
从单层到体相的性能演变:随着层数增加,α-ScTeI光学吸收强度逐渐增加,但增长率呈指数衰减趋势。体相材料也保持了较强的可见光吸收能力、较低的激子束缚能、较高的载流子迁移率和较长的热载流子冷却时间。
图1:钪/钇硫族卤化物单层材料的几何结构和电子性质
该图展示了钪/钇硫族卤化物单层材料(MXZ;M = Sc, Y;X = O, S, Se, Te;Z = F, Cl, Br, I)的几何结构和电子性质。图中详细描述了这些材料的原子构型(包括α、β和γ三种相),并总结了它们的带边位置和带隙分布。研究发现,α相是大部分材料中最稳定的结构,且部分材料(如α-ScTeI)展现出合适的带隙和带边位置,使其能够满足全水分解的要求。此外,图中还展示了不同材料的直接带隙(蓝色)和间接带隙(绿色),并用粉色阴影标出了适合光催化水分解的材料(共8种)。这些结果为筛选潜在的光催化候选材料提供了重要依据。
该图重点研究了α-ScTeI单层材料的光学吸收特性和水分解行为。图中展示了α-ScTeI的顶视图(a),并分析了其在不同方向上的光学吸收特性(b)。结果显示,α-ScTeI在可见光区域的吸收强度约20%(G0W0-BSE水平),且在y方向上的吸收能力优于x方向。此外,图中还展示了水分子在α-ScTeI表面的吸附和分解过程(c),表明该材料对水分子的吸附是能量有利的,但水分解过程需要一定的反应能量(1.504 eV)。这些结果表明α-ScTeI具有优异的光吸收能力和潜在的光催化水分解性能。
图3详细分析了α-ScTeI单层材料的激发态性质,包括准粒子带隙(QPG)、光学带隙(OPG)和激子束缚能(EBE)。通过G0W0近似和Bethe-Salpeter方程计算,得到α-ScTeI的EBE约为0.55 eV,与单层MoS2相当,但低于其他一些材料。此外,图中还展示了α-ScTeI的载流子迁移率(b),表明其空穴迁移率优于MoS2。最后研究了热载流子冷却过程(c),发现电子和空穴的弛豫时间分别为9 ps和4 ps,远长于单层MoS₂。这些结果表明α-ScTeI具有低激子束缚能、高载流子迁移率和长热载流子冷却时间,使其成为光催化应用的理想材料。
图4研究了α-ScTeI材料从单层到多层的光学吸收特性变化。图中展示了七层α-ScTeI的几何结构(a),并分析了随着层数增加,材料在x和y方向上的光学吸收强度变化(b、c)。结果显示,光学吸收强度随着层数增加而显著增强,从单层的15%增加到七层的45%(PBE水平)。此外,图中还展示了吸收强度的增长与层数的关系(e),表明光学吸收增长率呈现指数衰减行为。随着层数进一步增加,吸收强度逐渐接近体相材料的水平。这些结果表明,α-ScTeI的光学吸收能力可以通过调节层数进行优化,为其在光催化领域的应用提供了更多可能性。
本文通过系统的第一性原理计算,深入研究了钪/钇硫族卤化物单层材料的结构、电子和光学性质,并成功筛选出八种具有优异光催化性能的候选材料。这些材料不仅在单层状态下展现出高可见光吸收能力、低激子束缚能和高载流子迁移率等特性,而且在层数增加时,其光学吸收能力进一步增强。特别是α-ScTeI,无论在单层还是体相状态下,都表现出优秀的光催化潜力。这些发现为实验研究提供了重要的理论支持,有望推动二维材料在光催化水分解领域的应用。未来的研究可以进一步探索这些材料的实验合成方法、表面修饰以及与其他材料的复合结构,以进一步提高其光催化性能和稳定性。
Li, P.; Gao, L.; Tao, L.; Pan, J.; Lim, F. H.; Zhang, Y.-F.; Du, S. Semiconducting Scandium/Yttrium Chalcohalides: Promising Visible-Light-Driven Photocatalysts for Overall Water Splitting. ACS Catal. 2025, 0, 4533–4540.
李佩璇,中国科学院物理研究所杜世萱研究员课题组博士研究生。
高蕾,昆明理工大学副教授,云南省兴滇英才支持计划青年人才,云南省基础研究计划优秀青年基金获得者,博士毕业于中国科学院物理研究所杜世萱研究员课题组。从事低维纳米材料新奇物性及纳电子器件构造机制的理论计算研究工作,主持国家级、省部级项目5项,以第一(含共一)、通讯(含共通讯)作者发表SCI论文40余篇。
张艳芳,中国科学院大学E系列副研究员,博士毕业于中国科学院物理研究所杜世萱研究员课题组。研究方向为功能材料结构及物态的高通量计算,发表文章50余篇,被引超1000次。
杜世萱,中国科学院物理研究所研究员。在固体表面功能分子组装/活化机制、低维结构及表界面物理化学特性的第一性原理计算研究中取得原创性成果。发表了包括Science 和 Nature 系列刊物在内的 340 多篇 SCI 文章,相关成果入选中国科学院十大重大创新成果、中国十大科技进展新闻等。是“国家杰出青年基金”获得者,获得了“中国青年女科学家奖”、北京市科学技术奖、“谢希德”物理奖等。
课题组网页:https://n11.iphy.ac.cn/
欢迎关注我们,订阅更多最新消息
“邃瞳科学云”推出专业的自然科学直播服务啦!不仅直播团队专业,直播画面出色,而且传播渠道多,宣传效果佳。
“邃瞳科学云"平台正在收集、整理各类学术会议信息,欢迎学会、期刊、会议组织方择优在邃瞳平台上进行线上直播,希望藉此帮助广大科研人员跨越时空的限制,实现自由、畅通地交流互动。欢迎老师同学们提供会议信息(会有礼品赠送),学会、期刊、会议组织方商谈合作,均请联系18612651915(微信同)。
投稿、荐稿、爆料:Editor@scisight.cn