

第一作者:刘奇,乔盼哲
通讯作者:王蕾研究员,付宏刚教授
通讯单位:黑龙江大学
论文DOI:10.1039/D4EE05508J
本工作利用两步电化学沉积在蠕虫状的聚吡咯管上锚定Fe单原子和团簇共存的电催化剂(FeSA/FeAC@PPy/CC)。这种独特的三维结构可以提供更多的活性位点,大大缩短传质扩散路径。此外,Fe单原子位点降低了ORR和OER的速率决定步骤(RDS)的能量势垒,而Fe团簇平均了含氧中间体的能量势垒。Fe单原子位点和Fe团簇之间的协同作用使金属的d带中心更接近费米能级,从而有效地提高了双功能氧反应活性。以FeSA/FeAC@PPy/CC作为空气阴极组装的水系ZAB在10 mA cm-2的电流密度下,具有0.77 V的初始充放电电位差,并且可以稳定运行437小时。更重要的是,将乙二醇(EG)引入聚丙烯酰胺(PAM)中,开发了一种用于构建柔性锌空气电池(FZABs)的新型PAM/EG凝胶聚合物电解质(GPEs)。该FZAB可以在-40 °C~+40 °C的宽温度范围稳定工作。该工作证明了非贵金属基电催化剂在宽温FZABs中的巨大应用潜力。
随着碳中和发展理念的提出,研究人员的目光已经转向环保型能量存储装置。锌空气电池(ZABs)因其高能量密度、锌储量丰富以及环保等优点而备受关注,然而,其空气阴极迟滞的反应动力学过程仍是提升电池性能的关键瓶颈。过渡金属基单原子催化剂(SACs)始终位于氧还原反应(ORR)火山图的活性最佳位置。特别是Fe−N−C催化剂,由于在*O到*OOH转变过程中最低的动力学势垒和较低的自由能变化,保证了它具有优异的ORR性能。在Sabatier原理的指导下,Fe基SACs在火山图左侧表现出强大的表面键合能力,增强了对反应活性物种的吸附,有利于ORR过程。然而,过强的吸附作用可能使析氧反应(OER)产生较高的解吸势垒,从而影响ZABs的性能。之前的工作,我们发现SACs在电化学反应过程中会发生重构现象,形成特定的团簇结构,这进一步增强了催化活性。此外,团簇不仅可以提供高电化学活性比表面积和稳定的电化学稳定性,还可以对组成和结构进行调节。从理论上讲,单原子和团簇的共存打破了传统Fe SACs典型的对称电荷分布,从而能够有效地调控金属中心的配位环境。因此,设计兼具单原子位点和团簇的Fe基催化剂能够有效调节ORR/OER的反应势垒,有可能提高电催化活性。电化学沉积是合成结构稳定催化剂的有效方法,高分子导电聚合物(如聚吡咯和聚苯胺等)含有大量的含氮物种,可以作为锚定金属的位点。因此,利用高分子导电聚合物作为载体,通过配位策略来锚定金属物种是值得尝试的。
此外,柔性锌空气电池(FZABs)面临的一个关键问题是凝胶聚合物电解质(GPEs)对温度的敏感性。传统的GPEs单体在低于0 °C的条件下往往仅仅能工作几小时,因此需要对其进行改性来提高其低温耐受性。具有强极性官能团的有机分子,如−OH、−COOH、−SO3和−NH2等,可以与H2O分子形成更强的氢键网络,这可以有效缓解水分子在0 ℃以下冻结,从而提高FZABs的低温性能。因此,设计高效的具有双功能ORR/OER活性的催化剂以及增强GPEs的低温耐受性是实现锌空气电池规模化应用的重要保障。
1. 采用两步电化学沉积法相结合在蠕虫状的高导电聚吡咯纳米管上负载Fe单原子和Fe团簇复合的结构。这种独特的三维结构含有丰富的活性位点来加速电子转移,从而提高电催化活性。电化学沉积法保证了催化剂生长的均一性好,结构稳定,同时自支撑电极避免了导电剂和粘结剂的使用,可以直接作为空气阴极,显著提高了锌空气电池的稳定性。
2. 通过细化CV电沉积的电位区间,在+0.2 V~−0.6 V的电位范围内,每0.1 V在PPy/CC基底上进行了Fe物种的恒电位电化学沉积生长,通过XAFS表征,清晰地揭示了Fe单原子和Fe团簇的生长机制。
3. 通过DFT理论计算,揭示了Fe单原子和Fe团簇的协同作用,共同促进双功能ORR/OER反应活性。
4. 通过将乙二醇引入到聚丙烯酰胺中,得到了一种新型的PAM/EG凝胶聚合物电解质,该电解质具有针状的多孔隙结构,保证了优异的吸水性和保水性,同时也具有优异的机械性能。以该电解质组装的柔性锌空气电池可以-40 °C~+40 °C的宽温度范围稳定工作。

图1 FeSA/FeAC@PPy/CC的形貌表征
如图1所示,首先利用恒电位电化学沉积法在碳布上生长蠕虫状的聚吡咯(PPy/CC),然后使用CV电化学沉积法,以PPy/CC作为工作电极,通过调控电位区间、电解液的浓度和CV循环次数得到FeSA/FeAC@PPy/CC。SEM显示FeSA/FeAC@PPy/CC仍然保持蠕虫状的管状结构,TEM显示没有明显的晶格条纹,表明Fe没有形成纳米颗粒,可能是以原子尺度存在。HAADF-STEM显示在FeSA/FeAC@PPy/CC体系中,可以明显地观察到单个和高浓度的亮点,证实了Fe单原子和Fe团簇的共存。
图2 FeSA/FeAC@PPy/CC的结构表征
如图2所示,Fe 2p谱图证实FeSA/FeAC@PPy/CC中存在Fe0、Fe2+和Fe3+三种价态,Fe0的存在表明FeSA/FeAC@PPy/CC中存在Fe−Fe键,金属的多价态有助于增强ORR/OER反应活性。N 1s谱图中Fe−N的存在证明Fe原子与聚吡咯中的含氮物种进行了配位。FeSA/FeAC@PPy/CC的EXAFS谱呈现两个明显的主峰。在1.5 Å处的峰与FePc中Fe−N的峰位置一致,与Fe2O3中Fe−O的峰位置略有偏移,在2.6 Å处的峰对应于Fe−Fe键。此外,Fe−N和Fe−Fe的配位数分别为3.78和2.76,表明形成的是Fe4−FeN4构型。
图3 FeSA/FeAC@PPy/CC的形成机制研究
如图3所示,为了研究FeSA/FeAC@PPy/CC的形成机制,进一步在+0.2 V~−0.6 V的电位范围内,使用相同的电解液浓度,每0.1 V在PPy/CC基底上进行了Fe物种的恒电位电化学沉积生长,每个电位沉积10分钟。通过XAFS进行表征可以发现,在0.2 V和0.1 V电位下仅检测到Fe−N键,配位数从3增加到4,表明形成的是Fe单原子。当电位降至−0.2 V时,Fe−Fe键开始出现,表明形成了Fe团簇。在−0.3 V~−0.6 V电位范围内,Fe−Fe键和Fe−N键同时存在。根据上述分析,可以推断,在电沉积过程中,首先形成Fe单原子,然后逐渐出现Fe团簇,最终形成既有FeN4构型又有Fe4团簇构型的结构。
图4 FeSA/FeAC@PPy/CC的OER/ORR性能研究
如图4所示,FeSA/FeAC@PPy/CC在碱性条件下分别具有优异的OER和ORR活性及稳定性。对于OER,FeSA/FeAC@PPy/CC在电流密度为20 mA cm-2时的过电位为294 mV,在连续5000次循环伏安测试后电位仅仅降低6 mV。对于ORR,FeSA/FeAC@PPy/CC的起始电位为0.97 V,半波电位为0.83 V,并且在10000次CV循环后没有观察到明显的活性衰减,说明了使用电化学沉积法构建自支撑电极对于提升催化剂稳定性的优势。
图5 OER和ORR过程理论计算分析
如图5所示,通过DFT计算分析得到Fe4−FeN4具有中等O2吸附能有利于ORR/OER反应的平衡。在Fe4−FeN4体系,FeN4位点是ORR和OER的主要活性位点,Fe4位点主要在平均中间体的能垒中起作用,因此,Fe单原子位点和团簇之间的协同作用增强了Fe4−FeN4体系的双功能氧反应活性。同时形成Fe4−FeN4结构后,金属的d带中心更接近费米能级,表明Fe单原子位点与团簇之间的协同作用显著增强了Fe原子的电子占位,促进了电子在外层d轨道上的迁移,从而增强了催化剂的催化能力。
图6 FeSA/FeAC@PPy/CC的水系ZAB性能测试
如图6所示,基于FeSA/FeAC@PPy/CC具有优异的ORR/OER双功能活性,将其直接作为空气阴极组装水系ZAB进行测试。FeSA/FeAC@PPy/CC-基水系ZAB具有1.46 V的开路电压、205.1 mW cm-2的功率密度、758 mAh g-1的比容量和优异的倍率性能。并且在10 mA cm-2的充放电电流密度下,初始充放电电压差为0.77 V,可以稳定循环437小时,展现了出色的循环稳定性。
图7 FeSA/FeAC@PPy/CC的FZAB性能测试
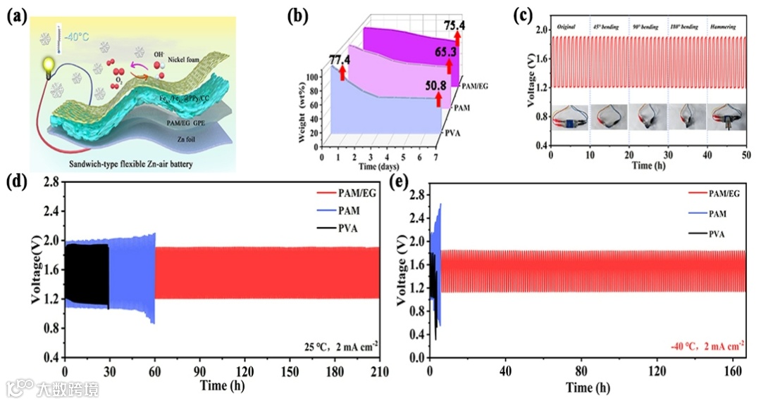
如图7所示,将乙二醇引入到聚丙烯酰胺中,通过热聚合策略得到了一种新型的PAM/EG GPE,理论计算和实验表明EG的引入显著增强了PAM对H2O分子的作用力,从而可以有效地缓解H2O分子在高温下挥发和低温下冻结。PAM/EG GPE呈现出优异的保水能力,即使在7天后,仍然具有75.4 wt%的水分保留率。同时以FeSA/FeAC@PPy/CC作为空气阴极,PAM/EG作为电解质组装成FZAB,这种电池可以在室温25 ℃下稳定循环210小时,在低温-40 ℃下可以稳定循环167小时以及在高温40 ℃下可以稳定循环126小时,展现了出色的宽温耐受性和循环稳定性。
本工作成功地设计了一种Fe单原子和Fe团簇共存的双功能氧反应催化剂(FeSA/FeAC@PPy/CC)。它具有良好的双功能电催化活性,在20 mA cm−2的电流密度下,OER的电位为1.524 V,ORR的半波电位为0.83 V。活性的增强是由于Fe单原子位点降低了RDS的反应能垒,而Fe团簇可以平衡反应中间体的能垒,从而优化整个反应过程。后续以FeSA/FeAC@PPy/CC为空气阴极,构建的新型PAM/EG作为电解质来组装FZABs。这种FZAB在室温25 ℃下具有210小时的超长寿命,在-40 ℃的低温下具有167小时的循环寿命,这是由于EG的引入显著促进了GPE与H2O分子的相互作用,从而显著提高了GPE的保水性和低温耐受性。本研究为构建高效、长效的FZABs提供了新的思路。
Iron clusters and single atom sites cooperatively promote bifunctional oxygen reaction activity in ultra-stable flexible zinc-air battery.
https://doi.org/10.1039/D4EE05508J
王蕾研究员:三级研究员,国家级高层次青年人才,黑龙江大学研究员/博士生导师,省特贴获得者。曾获得黑龙江省优秀青年基金、黑龙江省英才计划、中国博士后科学基金第八批特别资助。现为黑龙江省生物质与矿物质高效化学转化工程技术研究中心主任。担任EcoMat和Chinese Chemical Letters期刊的青年编委。荣获“第25届黑龙江省青年五四奖章”、“第十六届黑龙江省青年科技奖”。主要从事能源器件中电极材料的构筑和原位机制方面的研究工作,在J. Am. Chem. Soc.、Angew. Chem. Int. Ed.、Adv. Mater.、Energy Environ. Sci.等国际期刊发表SCI论文170余篇。论文总引用14000余次,H因子62,有12篇论文入选ESI Top 1%,3篇入选热点论文。获黑龙江省科学技术发明一等奖1项;授权中国发明专利40余项,国际发明专利3项。主持国家自然科学基金项及省部级项目10余项,横向课题项目4项。
付宏刚教授:二级教授,黑龙江大学功能无机材料化学教育部重点实验室主任。曾入选教育部长江学者奖励计划特聘教授,首批“国家万人计划”百千万工程领军人才。现任中国可再生能源学会光化学专业委员会荣誉主任;中国感光学会光催化专业委员会副主任;英国皇家化学会会士,EES Catalysis副主编,连续7年入选科睿唯安全球高被引科学家。主要从事光催化和电催化领域的材料设计合成、结构调控和机制研究。作为通讯作者发表研究论文440余篇,被引用36000余次,60余篇论文为ESI Top 1%高被引论文,8篇论文为ESI Top 0.1%热点论文,H因子97。获省科学技术奖一等奖2项,获授权发明专利50余项(含美国、日本、韩国发明专利各1项)。
课题组网站:http://fuhonggang.cn/
欢迎关注我们,订阅更多最新消息
“邃瞳科学云”推出专业的自然科学直播服务啦!不仅直播团队专业,直播画面出色,而且传播渠道多,宣传效果佳。
“邃瞳科学云"平台正在收集、整理各类学术会议信息,欢迎学会、期刊、会议组织方择优在邃瞳平台上进行线上直播,希望藉此帮助广大科研人员跨越时空的限制,实现自由、畅通地交流互动。欢迎老师同学们提供会议信息(会有礼品赠送),学会、期刊、会议组织方商谈合作,均请联系18612651915(微信同)。
投稿、荐稿、爆料:Editor@scisight.cn