大数跨境
0
0

【系列随笔17】玻色-爱因斯坦凝聚

【系列随笔17】玻色-爱因斯坦凝聚 邃瞳科学云
2025-03-19
0
玻色-爱因斯坦凝聚

郝维昌


印度物理学家玻色(S N Bose)在1924年提出了一种推导普朗克辐射公式的新方法,将光视为光子气体并采用统计力学处理[1]。爱因斯坦(Albert Einstein)受此启发,将玻色的方法推广到静止质量不为零的原子气体中。他在1924年至1925年间发表论文连续发表了3篇文章[2, 3],指出在极低温条件下,理想气体中的玻色子(遵循玻色-爱因斯坦统计的粒子)会聚集到最低量子态,形成宏观量子现象,即玻色-爱因斯坦凝聚(Bose-Einstein CondensateBEC)。

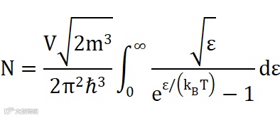
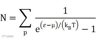
对于三维自由玻色气体,总粒子数N由玻色-受因斯坦分布给出:
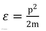
其中 为单粒子动能,μ为化学势,当T趋近于临界温度Tc时,μ→0。态密度与积分近似在三维连续极限下,动量空间态密度g(ε) 为:
将态密度代入后,总粒子数表达式为
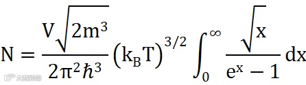
 ,则  ,积分变为
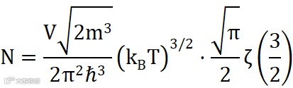
已知积分
其中  为Riemann Zeta函数。代入后得到
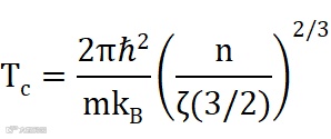
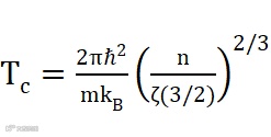
理想情况下所有粒子都聚集到基态,这时基态粒子密度为n=N/V ,因此临界温度Tc
当温度T<Tc时,化学势μ→0 ,此时基态ε=0 开始被宏观占据。事实上粒子不可能全部都产生BEC,因此总粒子数N分为两部分:
N=N0+Nexc
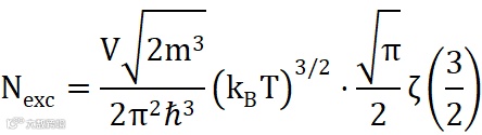
其中N0为基态粒子数,Nexc为激发态粒子数。激发态粒子数由积分给出
因此代入ll临界温度公式  ,可得:
T<Tc时,激发态仅能容纳  个粒子,剩余粒子必须疑聚到基态
因此可推出
这表明当T=Tc,N0=0,无凝聚发生。当T→0K时N0→N,所有粒子都被基态占据。这一理论突破了经典统计力学的框架,揭示了量子效应在宏观尺度上的表现。

最早发现的玻色-爱因斯坦凝聚现象是超导和超流。液氦-4原子是玻色子,在低于临界温度(约2.17 K)时发生BEC,形成宏观量子态[4, 5]。波函数相位相干性导致超流,表现为无粘滞流动和量子涡旋的离散化。超导是由于电子(费米子)通过晶格振动(声子)产生有效吸引力,配对成玻色子实现零电阻电流的宏观量子现象。真正原子气体BEC实验到上世纪末才得以实现。距离爱因斯坦的预言已经过去了70年。利用激光冷却技术,1995 6 5 日,科罗拉多大学博尔德分校 NIST-JILA 实验室的 Eric Cornell  Carl Wieman 等人在冷却至170 纳开尔文 nK) 的原子气体中产生了第一种原子气体的玻色-爱因斯坦凝聚[6]。此后不久,麻省理工学院的 Wolfgang Ketterle 原子气体中产生了玻色-爱因斯坦凝聚态[7]。康奈尔、威曼和凯特尔因实验验证了玻色-爱因斯坦凝聚现象获得了 2001 诺贝尔物理学奖

图1 铷原子气体的中玻色-爱因斯坦凝聚,垂直方向表示原子密度,从左到右三张图中温度分百年为400 nK,200 nK, 50 nK。(图片来自维基百科


玻色-爱因斯坦凝聚是量子统计的宏观展现,标志着大量玻色子在极低温下坍缩至同一量子基态,形成高度相干的物质态。其意义在于验证了量子理论预言,并揭示了宏观尺度下量子效应的涌现,为探索量子与经典物理边界提供了独特平台。基于BEC的原子干涉仪具有超高精度测量重力、磁场的能力,助力地质勘探与导航技术;BEC为量子存储、信息处理提供理想载体,推动了量子计算与通信的发展;BEC也为研究超流、量子涡旋及宇宙学提供了模拟平台,深化了物理学家对对称性破缺与相变的理解。BEC正在多学科交叉中催生颠覆性技术,成为未来量子科技的推动力之一。

参考文献

[1] S. N. Bose, Zeitschrift für Physik 1924, 26:178-181

[2] Albert Einstein Physikalisch-mathematischen Klasse 1924, 261-267

[3] Albert Einstein Physikalisch-mathematischen Klasse 1925, 3-14; 18-25

[4] P. Kapitza, Nature. 1938, 141: 74

[5] J. F. Allen, A. D. Misener, 1938,142: 643

[6] M. H. Anderson, J. R. Ensher, et al., Science. 1995, 269: 198201

[7] PK. B. Davis, M. O. Mewes, et al., Physical Review Letters. 1995, 75: 39693973.

声明

本文仅用于学术分享,如有侵权,请联系后台小编删除
欢迎关注我们,订阅更多最新消息

“邃瞳科学云”直播服务


“邃瞳科学云”推出专业的自然科学直播服务啦!不仅直播团队专业,直播画面出色,而且传播渠道多,宣传效果佳。
“邃瞳科学云"平台正在收集、整理各类学术会议信息,欢迎学会、期刊、会议组织方择优在邃瞳平台上进行线上直播,希望藉此帮助广大科研人员跨越时空的限制,实现自由、畅通地交流互动。欢迎老师同学们提供会议信息(会有礼品赠送),学会、期刊、会议组织方商谈合作,均请联系18612651915(微信同)。


投稿、荐稿、爆料:Editor@scisight.cn

扫描二维码下载

邃瞳科学云APP

点分享
点收藏
点点赞
点在看

【声明】内容源于网络
0
0
邃瞳科学云
邃瞳科学云是一个百家争鸣的个性化学术传播平台。依托新媒体矩阵,小程序及APP等完整产品线,在开展专业性的学术活动的同时,还致力于科普教育和科学传播,更自由、重分享。 格物致知,光被遐荒。Meet Your Science!
内容 8582
粉丝 0
邃瞳科学云 邃瞳科学云是一个百家争鸣的个性化学术传播平台。依托新媒体矩阵,小程序及APP等完整产品线,在开展专业性的学术活动的同时,还致力于科普教育和科学传播,更自由、重分享。 格物致知,光被遐荒。Meet Your Science!
总阅读2.0k
粉丝0
内容8.6k