
第一作者:陈莲芬
通讯作者:陈逸凡,陈成侠,马胜前
通讯单位:肇庆学院、海南大学、中山大学、北德克萨斯大学
论文DOI:10.1021/acscatal.4c07398
肇庆学院陈莲芬团队通过分步组装(SSA)策略,成功制备了一系列含 CdS 纳米粒子和分子钴中心的金属-有机框架复合材料 CdS-x/UiO-66-IPy (Co)。该系列材料在可见光驱动的胺氧化反应中展现出优异的催化性能,为光催化有机合成提供了新的思路和方法。
在有机化学中,亚胺是构建众多生物活性含氮化合物、精细化学品和药物的关键基石,其合成备受关注。传统的胺-羰基缩合合成路线存在诸多缺陷,如反应条件严苛、产率低、选择性差以及环境不友好等问题。近年来,光催化氧化胺偶联反应作为一种颇具前景的替代方法崭露头角,该反应在温和条件下即可进行,具有高效、可持续和环保等优势。在光催化领域,金属-有机框架(MOFs)因具有功能可调性、结构多样性和高比表面积等独特性质,在光催化胺氧化研究中受到广泛关注。然而,开发具有出色可见光响应、快速光生电荷载流子分离和迁移能力,以及合适能带隙用于光催化有机转化的 MOF 基光催化复合材料极具挑战性。同时,硫化镉纳米粒子(CdS NPs)虽在光催化中应用广泛,但存在光生电子 - 空穴对复合快和光腐蚀等问题,限制了其应用。
针对上述问题,团队创新性地采用分步组装策略,将 CdS NPs 和分子钴催化剂集成到 MOF 中,制备出 CdS-x/UiO-66-IPy (Co) 复合材料。该策略不仅实现了 CdS NPs在 MOF 上的精确放置和均匀分散,促进了光吸收范围的扩展、光生电荷载流子的高效分离和迁移,还引入了丰富的催化活性位点,有效提升了材料的光催化性能。其中,CdS-20/UiO-66-IPy (Co) 在可见光和环境空气条件下,对胺氧化生成亚胺的反应展现出超高的催化活性,转化率和选择性均超 95%,且具有良好的可回收性和耐久性。此外,团队通过多种实验手段深入探究了其催化机理,为光催化胺氧化反应提供了深入的理论理解。
材料合成与表征:
研究团队设想将 Co 基分子催化剂固定到 CdS/MOF 复合材料中,利用分步组装(SSA)策略,构建一种高效的光催化体系。通过在UiO-66-NH2上引入潜在的金属螯合位点,实现 CdS NPs的精确放置,并固定丰富的活性 Co 位点,期望提升光催化性能。通过一系列实验合成了UiO-66-NH2、UiO-66-IPy、CdS-x/UiO-66-IPy 和 CdS-x/UiO-66-IPy (Co)。利用粉末 X 射线衍射(PXRD)、傅里叶变换红外光谱(FT-IR)等多种表征手段对材料的结构和组成进行了详细分析,结果表明成功合成了目标材料,且各组分之间形成了异质结结构。扫描电子显微镜(SEM)和透射电子显微镜(TEM)图像显示,CdS NPs 均匀分散在 UiO-66-IPy (Co) 表面(图1)。
图1 UiO-66-NH2 (a), CdS (b), CdS-20/UiO-66-IPy (c), CdS-20/UiO-66-IPy(Co) (d)的扫描电镜图; CdS-20/UiO-66-IPy(Co)的透射电镜 (e), 高分辨率透射电镜(f)以及元素映射图像 (g)。
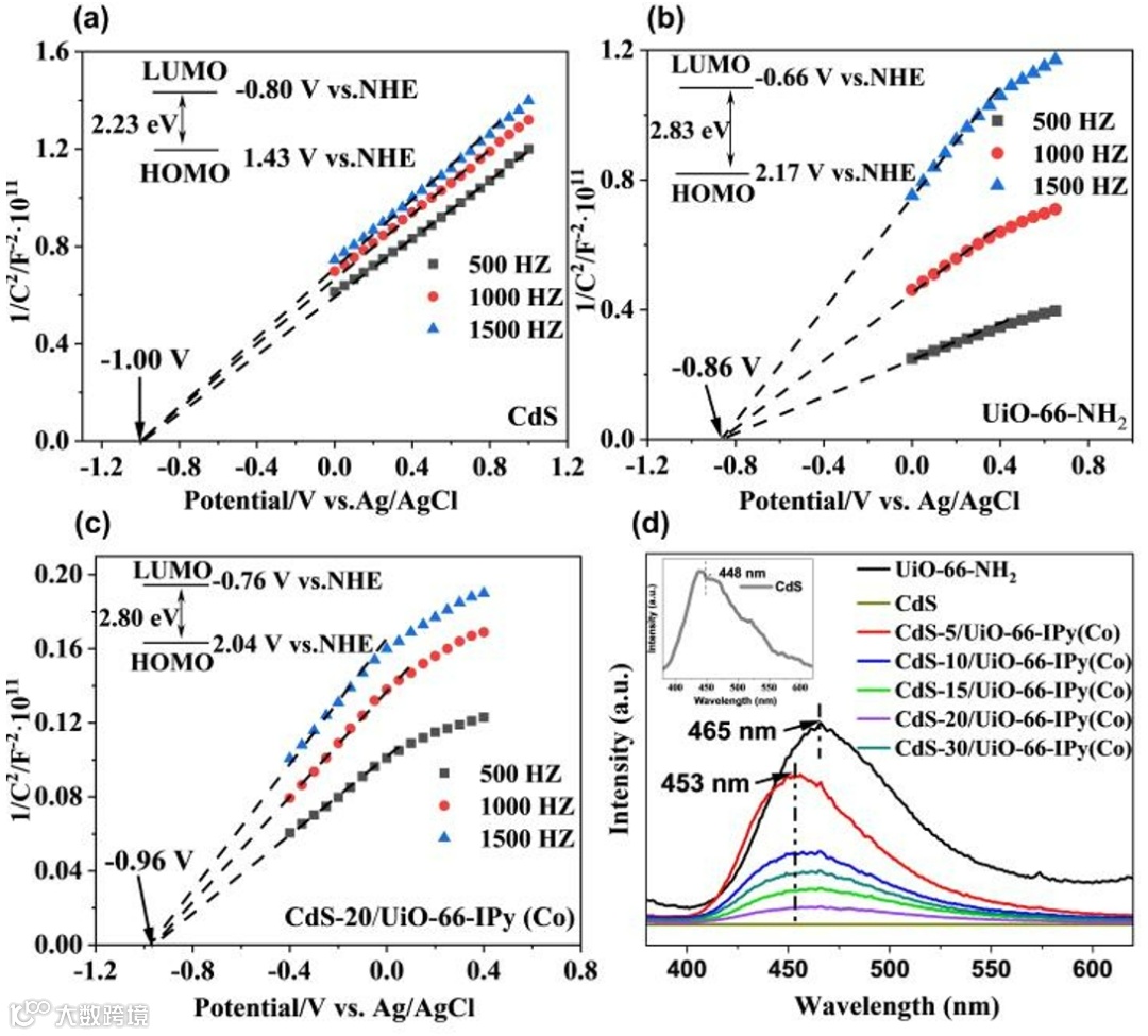
为了探究材料的光电性能,为理解光催化反应机制提供关键信息,对复合材料进行了一系列电化学测试。UiO-66-NH2、CdS 和 CdS-20/UiO-66-Py (Co) 的莫特-肖特基曲线均为正斜率(图2),表明它们都是 n 型半导体。通过计算,得到这些材料的 LUMO 和 HOMO 能级。其中,CdS的 LUMO 比 UiO-66-NH2更负,这有利于电子从 CdS 转移到UiO-66-NH2,形成异质结结构,提高光催化活性。而 CdS-20/UiO-66-Py (Co) 的 HOMO 和 LUMO 能级介于 CdS 和UiO-66-NH2之间,进一步证实了异质结结构的形成,这种结构在光催化反应中对电荷的分离和传输起着重要作用。
图 2.(a-c)CdS、UiO-66-NH2和 CdS-20/UiO-66-IPy (Co) 的莫特-肖特基曲线;(d)UiO-66-NH2和 CdS-x/UiO-IPy (Co) 在 350 nm 激发下的光致发光光谱。
此外,CdS-20/UiO-66-IPy 的光电流强度高于 CdS 和 UiO-66-NH2,这表明该材料在光激发下能够更有效地分离电荷载流子(图3)。当将 Co 离子固定到CdS-20/UiO-66-IPy 中形成 CdS-20/UiO-66-IPy (Co) 后,光电流强度进一步增强,说明其光生电荷载流子的分离效率更高。此外,CdS-20/UiO-66-IPy (Co) 在光照结束后,光电流存在明显的拖尾和衰减现象,这可能是由于电荷从 CdS 转移到 MOF 再到 Co 物种的过程中产生了长寿命电荷。同时,电化学阻抗谱(EIS)测试显示,CdS-20/UiO-66-IPy (Co) 的电荷迁移电阻最小,这得益于不同组分之间的协同效应,尤其是 Co 位点的固定减少了过电位,富集了电子,实现了有效的电荷分离。综合来看,合适的带隙、高光电流强度和小阻抗,保证了 CdS-20/UiO-66-IPy (Co) 在可见光照射下光生电荷载流子的持续流动、高效分离和快速迁移,使其具有出色的光催化潜力。
图 3.(a)CdS、UiO-66-NH2、CdS-20/UiO-66-IPy 和 CdS-20/UiO-66-IPy (Co) 的光电流光谱;(b)CdS、UiO-66-NH2、CdS-20/UiO-66-IPy 和 CdS-20/UiO-66-IPy (Co) 的电化学阻抗谱。
光催化性能测试:
研究团队选用光催化胺氧化反应作为模型反应,在室温下,以 300W 氙灯(λ>400nm)为光源,对其催化活性展开测试。结果显示,CdS-20/UiO-66-IPy (Co) 表现最佳,其转化率和选择性均超过 99%。通过改变反应条件,如溶剂、反应时间等,进一步优化了反应条件。此外,该催化剂对多种不同取代基的苄胺均具有良好的催化活性,展现出广泛的底物适用性。此外,CdS-20/UiO-66-IPy (Co)材料还表现出良好的可回收使用性。
催化机理探究:
为深入了解反应机制,研究团队利用电子顺磁共振(EPR)技术和自由基捕获实验鉴定活性氧物种,并据此提出催化反应机理。分别向反应体系中加入特定的自由基捕获剂,5,5-二甲基-1-吡咯啉-N-氧化物(DMPO)和2,2,6,6-四甲基哌啶(TEMP)。在光照条件下,加入DMPO时,EPR谱图(图4)出现对应超氧自由基(O2•–)的特征四重峰信号(1:2:2:1),这明确表明在光催化反应过程中产生了超氧自由基。加入 TEMP 后,出现了对应单线态氧(1O2)的特征三重峰信号(1:1:1),证实了单线态氧也是反应过程中的活性氧物种。自由基捕获实验也印证了这一结论。加入苯醌作为超氧自由基的捕获剂,或 β-胡萝卜素作为单线态氧的捕获剂时,几乎完全抑制了目标产物的形成。这些实验结果表明,超氧自由基和单线态氧在光催化胺氧化反应中起着关键作用。
图 4. (a) CdS-20/UiO-66-IPy (Co) 在不同条件下光生自由基的电子顺磁共振(EPR)检测谱图;(b) 不同催化剂光生自由基的 EPR 检测谱图;(c) 5,5 -二甲基-1-吡咯啉-N-氧化物(DMPO)捕获 CdS-20/UiO-66-IPy (Co) 上生成的超氧自由基(O2•–)的 EPR 检测谱图;(d) 2,2,6,6-四甲基哌啶 (TEMP)捕获 CdS-20/UiO-66-IPy (Co) 上生成的单线态氧(1O2 )的 EPR 检测谱图。BA:苄胺。
基于 EPR 技术和自由基捕获实验的结果,研究团队提出了可能的催化反应机理。在可见光照射下,CdS作为光捕获中心被激发产生电子,电子从 CdS 的 LUMO 转移到 UiO-66-NH2的 LUMO,实现电子-空穴分离。随后,电子传输到 Co 中心,激活氧气生成超氧自由基和单线态氧。同时,苄胺被 HOMO 位置的空穴氧化为阳离子自由基(PhCH2NH2•+),其与超氧自由基和单线态氧反应形成PhCH = NH中间体,最后经亲核加成反应生成目标产物。此外,由于 CdS NPs 催化活性较差,而 CdS-20/UiO-66-IPy 催化活性较好,不能排除 CdS NPs 的光生电子直接参与氧气活化过程,转化为超氧自由基和单线态氧,进而完成苄胺氧化反应。
本研究成功制备了一系列具有高效光催化胺氧化性能的 CdS-x/UiO-66-IPy (Co) 复合材料,通过分步组装策略实现了各组分的协同作用,有效提升了催化活性、可回收性和耐久性。该研究为设计和构建多功能 MOF 基光催化材料提供了新的策略,有望推动光催化技术在有机合成领域的实际应用。未来,团队将进一步优化材料的制备方法,拓展其在其他光催化反应中的应用,为实现绿色化学合成提供更多可能。
Chen, L., Liu, Z., Kong, D., Tang, Q., Tan, L. -L., Liang, Z. -M., Chen, Y., Chen, C. -X., & Ma, S. (2025). Integration of CdS Nanoparticles and Molecular Cobalt Catalysts into Metal−Organic Frameworks for Highly Efficient Photocatalytic Amine Oxidation. ACS Catalysis
https://doi.org/10.1021/acscatal.4c07398
陈莲芬:博士,副教授。2017年毕业于中山大学(导师:苏成勇教授)。2019年7月加入肇庆学院,目前主要从事金属有机多孔材料研究,共发表SCI论文20余篇,主持国家自然科学基金青年基金1项,广东省自然科学基金、广东省青年创新人才项目、中国博士后科学基金面上项目、肇庆市科技创新指导项目等若干。
陈逸凡:博士,副教授。2018年6月毕业于中山大学化学院并获得博士学位,硕博期间师从苏成勇教授。2018年9月以其他类高层次人才引入到海南大学参加工作,主要从事有机-无机功能材料的设计与开发,光催化分解水制氢及碳转化技术的开发与应用,甲壳素等生物质资源的开发与转化。参与并主持国家级/省部级项目7项。迄今为止,在相关领域国际期刊杂志 J. Am. Chem. Soc.、Angew. Chem. Int. Ed.、Applied Catalysis B: Environmental、Journal of Materials Chemistry A、Chinese Chemical Letters、Internation Journal of Molecular Sciences和Nanomaterials等国际知名期刊杂志发表SCI论文20余篇,发表并授权多项发明专利,并主持编写相关研究领域专业性论著。
陈成侠:中山大学副教授。2009年本科毕业于山东师范大学,2012年硕士毕业于山东师范大学,导师:董育斌教授,2017年博士毕业于中山大学,导师:Dieter Fenske/苏成勇教授。2017年-2023年分别在中山大学、美国南佛罗里达大学、北德克萨斯大学从事博士后研究工作,合作导师:潘梅、马胜前教授。2023年01月以“百人计划”引进人才方式加入中山大学化学院,主要从事多孔固体材料的组装方法学与金属光催化研究。主持国家自然科学基金青年、面上项目等国家及省部级项目7项。迄今,在JACS、ACIE、Chem等期刊发表论文40余篇。
马胜前:北德克萨斯大学Welch Foundation终身讲席教授。2003年本科毕业于吉林大学,2008年获美国迈阿密大学博士学位,2008年至2010年在美国阿尔贡国家实验室从事博士后工作,2010-2020年任职南佛罗里达大学化学系并被评为终身教授。2020年加入北德克萨斯大学任 “Welch Foundation” 首席化学家。马胜前教授2014-2023年连续10年被汤森路透/科睿唯安(Thomson Reuters/Clarivate)评为高被引学者;文章被引用49000余次,H因子119。曾获得美国化学会无机化学分会青年化学家奖、国际纯粹与应用化学联合会(IUPAC)青年化学家奖、美国科学基金会CAREER Award以及南佛罗里达大学杰出研究成就奖、杰出教授奖。
欢迎关注我们,订阅更多最新消息
“邃瞳科学云”推出专业的自然科学直播服务啦!不仅直播团队专业,直播画面出色,而且传播渠道多,宣传效果佳。
“邃瞳科学云"平台正在收集、整理各类学术会议信息,欢迎学会、期刊、会议组织方择优在邃瞳平台上进行线上直播,希望藉此帮助广大科研人员跨越时空的限制,实现自由、畅通地交流互动。欢迎老师同学们提供会议信息(会有礼品赠送),学会、期刊、会议组织方商谈合作,均请联系18612651915(微信同)。
投稿、荐稿、爆料:Editor@scisight.cn